Propiedades psicométricas de la Escala Observacional de la Marcha del Sujeto con Amputación de la Extremidad Inferior
DOI:
https://doi.org/10.23938/ASSN.1152Palabras clave:
Amputación de miembro inferior, Cambio Mínimo Detectable, Escala Observacional de la Marcha, Fiabilidad, Validez de constructoResumen
Fundamento. El objetivo es analizar las propiedades psicométricas de la Escala Observacional de la Marcha del Sujeto con Amputación de la Extremidad Inferior (OMSAEI): fiabilidad intra e interobservador, cambio mínimo detectable (CMD95) y validez de constructo.
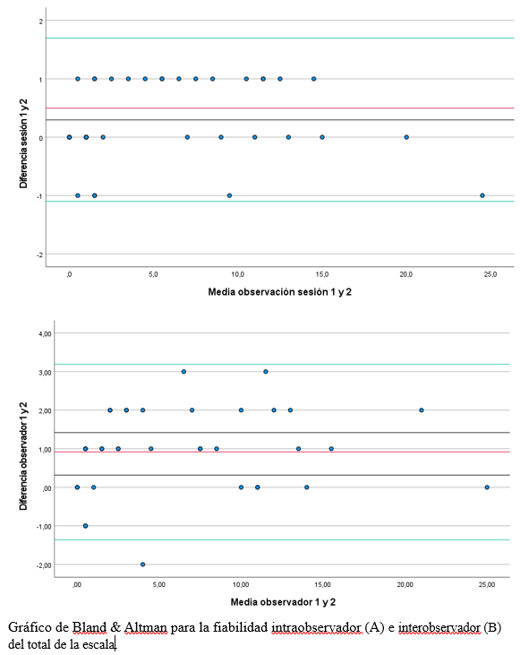
Metodología. Se realizó un estudio observacional con personas con amputación del miembro inferior (AMI) unilateral. Las grabaciones de la marcha se realizaron en condiciones controladas y fueron evaluadas por dos profesionales que aplicaron la escala OMSAEI organizada en dos secciones: 1- evaluación de patrones cinemáticos, centrados en el análisis de la movilidad articular, y 2- evaluación de parámetros espaciotemporales. Se analizaron el coeficiente de correlación intraclase (CCI), los gráficos de Bland-Altman y la correlación de Pearson con la escala de Houghton.
Resultados. Participaron 37 personas, 56,8%, mujeres y edad 45,6 años (DE=13,8). La fiabilidad intraobservador fue excelente (CCI total=0,996; sección 1=0,988; sección 2=0,995), con un CMD95 de 0,12 puntos. La fiabilidad interobservador también fue excelente (CCI total=0,987; sección 1=0,966; sección 2=0,986), con un CMD95 de 0,36 puntos. Los gráficos de Bland-Altman mostraron límites de acuerdo estrechos: ±1,4 puntos (intra) y ±2,28 puntos (inter). La validez de constructo fue alta y significativa (r= -0,773; p<0,001), indicando una fuerte correlación inversa con la escala de Houghton.
Conclusiones. La escala OMSAEI es una herramienta fiable y válida para realizar una evaluación objetiva y estructurada del patrón de marcha en personas con AMI unilateral. Su diseño específico y sus excelentes propiedades psicométricas la convierten en un instrumento útil tanto en contextos clínicos como de investigación.
Descargas
Citas
1. GAILEY RS, GAUNAURD IA, KIRK-SANCHEZ NJ, GARD SA, KRISTAL A. The development and reliability testing of the Functional Lower-Limb Amputee Gait Assessment. Clin Rehabil 2023;37(12):1656-1669. https://doi.org/10.1177/02692155231185950
2. DARTER BJ, WILKEN JM. Energetic consequences of using a prosthesis with adaptive ankle motion during slope walking in persons with a transtibial amputation. Prosthet Orthot Int 2014;38(1):5-11. https://doi.org/10.1177/0309364613481489
3. FONT-JIMENEZ I, LLAURADÓ-SERRA M, PALLARÉS-MARTÍ À, GARCÍA-HEDRERA F. Factores psicosociales implicados en la amputación. Revisión sistemática de la literatura. Aten Primaria 2016;48(3):207-210. https://doi.org/10.1016/j.aprim.2015.04.009
4. VAN VELZEN JM, VAN BENNEKOM CA, POLOMSKI W, SLOOTMAN JR, VAN DER WOUDE LH, HOUDIJK H. Physical capacity and walking ability after lower limb amputation: a systematic review. Clin Rehabil 2006;20(11):999-1016. https://doi.org/10.1177/0269215506070700
5. DEVLIN M, SINCLAIR LB, COLMAN D, PARSONS J, NIZIO H, CAMPBELL JE. Patient preference and gait efficiency in a geriatric population with transfemoral amputation using a free-swinging versus a locked prosthetic knee joint. Arch Phys Med Rehabil 2002;83(2):246-249. https://doi.org/10.1053/apmr.2002.27464
6. HIGHSMITH MJ, ANDREWS CR, MILLIKAN KW, KAHLE JT, KLENOW TD, LEWIS KL et al. Gait training interventions for lower extremity amputees: a systematic literature review. Technol Innov 2016;18(2–3):149-155. https://doi.org/10.21300/18.2-3.2016.149
7. MOLINA-RUEDA F, GARRIDO-BALAGUER M, CORTÉS-RODRÍGUEZ A, CARRATALÁ-TEJADA M, CUESTA-GÓMEZ A, FERNÁNDEZ-GONZÁLEZ P et al. Escala observacional de la marcha del sujeto con amputación de la extremidad inferior: diseño y validez de contenido. Rehabilitación (Madr) 2020;54(2):79-86. https://doi.org/10.1016/j.rh.2019.12.002
8. ESQUENAZI A, DIGIACOMO R. Rehabilitation after amputation. J Am Podiatr Med Assoc 2001;91(1):13-22. https://doi.org/10.7547/87507315-91-1-13
9. MOLERO-SÁNCHEZ A, ALGUACIL-DIEGO IM, MOLINA-RUEDA F. La marcha en las enfermedades articulares y en el individuo con amputación. En: Molina-Rueda F, Carratalá-Tejada M (eds). La marcha humana: biomecánica, evaluación y patología. 1ª ed. Madrid: Médica Panamericana, 2020; 149-156.
10. FERRARELLO F, BIANCHI VA, BACCINI M, RUBBIERI G, MOSSELLO E, CAVALLINI MC et al. Tools for observational gait analysis in patients with stroke: a systematic review. Phys Ther 2013;93(12):1673-1685. https://doi.org/10.2522/ptj.20120344
11. LORD SE, HALLIGAN PW, WADE DT. Visual gait analysis: the development of a clinical assessment and scale. Clin Rehabil 1998;12(2):107-119. https://doi.org/10.1191/026921598666182531
12. DALY JJ, NETHERY J, MCCABE JP, BRENNER I, ROGERS JM, GANSEN J et al. Development and testing of the Gait Assessment and Intervention Tool (GAIT): A measure of coordinated gait components. J Neurosci Methods 2009;178(2):334-339. https://doi.org/10.1016/j.jneumeth.2008.12.016
13. BURII O. Repeatability and validity of the Prosthetic Observational Gait Scale in patients with bilateral lower limb amputations. Arch Phys Med Rehabil 2025;106(4):e11. https://doi.org/10.1016/j.apmr.2025.01.029
14. WONG CK, GIBBS W, CHEN ES. Use of the Houghton Scale to classify community and household walking ability in people with lower-limb amputation: criterion-related validity. Arch Phys Med Rehabil 2016;97(7):1130-1136. https://doi.org/10.1016/j.apmr.2016.01.022
15. DEVLIN M, PAULEY T, HEAD K, GARFINKEL S. Houghton Scale of prosthetic use in people with lower-extremity amputations: reliability, validity, and responsiveness to change. Arch Phys Med Rehabil 2004;85(8):1339-1344. https://doi.org/10.1016/j.apmr.2003.09.025
16. WALTER SD, ELIASZIW M, DONNER A. Sample size and optimal designs for reliability studies. Stat Med 1998;17(1):101-110. https://doi.org/10.1002/(sici)1097-0258(19980115)17:1<101::aid-sim727>3.0.co;2-e
17. GOR-GARCÍA-FOGEDA MD, TOMÉ-REDONDO S, SIMÓN-HIDALGO C, DALY JJ, MOLINA-RUEDA F, CANO-DE-LA-CUERDA R. Reliability and minimal detectable change in the Gait Assessment and Intervention Tool in patients with multiple sclerosis. PM&R 2020;12(7):685-691. https://doi.org/10.1002/pmrj.12264
18. PORTNEY LG, WATKINS MP. Foundations of Clinical Research: Applications to Practice. 3rd ed. Upper Saddle River: Pearson/Prentice Hall, 2015.
19. BLAND JM, ALTMAN DG. Statistical methods for assessing agreement between two methods of clinical measurement. Lancet 1986;1(8476):307-310. https://doi.org/10.1016/S0140-6736(86)90837-8
20. MUKAKA MM. A guide to appropriate use of correlation coefficient in medical research. Malawi Med J 2012;24(3):69-71. PMID: 23638278
21. Haley SM, Fragala-Pinkham MA. Interpreting change scores of tests and measures used in physical therapy. Phys Ther 2006;86(5):735-743. https://doi.org/10.1093/ptj/86.5.735
22. MELDRUM D, SHOULDICE C, CONROY R, JONES K, FORWARd M. Test-retest reliability of three-dimensional gait analysis: including a novel approach to visualising agreement of gait cycle waveforms with Bland and Altman plots. Gait Posture 2014;39(1):265-271. https://doi.org/10.1016/j.gaitpost.2013.07.130
23. FERNÁNDEZ-GONZÁLEZ P, KOUTSOU A, CUESTA-GÓMEZ A, CARRATALÁ-TEJADA M, MIANGOLARRA-PAGE JC, MOLINA-RUEDA F. Reliability of Kinovea® software and agreement with a three-dimensional motion system for gait analysis in healthy subjects. Sensors (Basel) 2020;20(11):3154. https://doi.org/10.3390/s20113154
24. MOLINA-RUEDA F, ALGUACIL-DIEGO IM, CUESTA-GÓMEZ A, IGLESIAS-GIMÉNEZ J, MARTÍN-VIVALDI A, MIANGOLARRA-PAGE JC. Thorax, pelvis and hip pattern in the frontal plane during walking in unilateral transtibial amputees: biomechanical analysis. Braz J Phys Ther 2014;18(3):252-258. https://doi.org/10.1590/bjpt-rbf.2014.0032
25. MOLINA RUEDA F, ALGUACIL DIEGO IM, MOLERO SÁNCHEZ A, CARRATALÁ TEJADA M, RIVAS MONTERO FM, MIANGOLARRA PAGE JC. Knee and hip internal moments and upper-body kinematics in the frontal plane in unilateral transtibial amputees. Gait Posture 2013;37(3):436-439. https://doi.org/10.1016/j.gaitpost.2012.08.019
26. RESNIK L, BORGIA M. Reliability of outcome measures for people with lower-limb amputations: distinguishing true change from statistical error. Phys Ther 2011;91(4):555-565. https://doi.org/10.2522/ptj.20100287
27. GAILEY RS, ROACH KE, APPLEGATE EB, CHO B, CUNNIFFE B, LICHT S et al. The Amputee Mobility Predictor: an instrument to assess determinants of the lower-limb amputee’s ability to ambulate. Arch Phys Med Rehabil 2002;83(5):613-627. https://doi.org/10.1053/apmr.2002.32309
28. DEATHE AB, MILLER WC. The L test of functional mobility: measurement properties of a modified version of the timed "up & go" test designed for people with lower-limb amputations. Phys Ther. 2005;85(7):626-635. https://doi.org/10.1093/ptj/85.7.626
29. SCHACK J, MIRTAHERI P, STEEN H, GJØVAAG T. Assessing mobility for persons with lower limb amputation: the Figure-of-Eight Walk Test with the inclusion of two novel conditions. Disabil Rehabil. 2021;43(9):1323-1332. https://doi.org/10.1080/09638288.2019.1662495
30. HILLMAN SJ, DONALD SC, HERMAN J, MCCURRACH E, MCGARRY A, RICHARDSON AM et al. Repeatability of a new observational gait score for unilateral lower limb amputees. Gait Posture. 2010;32(1):39-45. https://doi.org/10.1016/j.gaitpost.2010.03.007
Descargas
Publicado
Cómo citar
Número
Sección
Licencia
Derechos de autor 2026 Anales del Sistema Sanitario de Navarra

Esta obra está bajo una licencia internacional Creative Commons Atribución-CompartirIgual 4.0.
La revista Anales del Sistema Sanitario de Navarra es publicada por el Departamento de Salud del Gobierno de Navarra (España), quien conserva los derechos patrimoniales (copyright ) sobre el artículo publicado y favorece y permite la difusión del mismo bajo licencia Creative Commons Reconocimiento-CompartirIgual 4.0 Internacional (CC BY-SA 4.0). Esta licencia permite copiar, usar, difundir, transmitir y exponer públicamente el artículo, siempre que siempre que se cite la autoría y la publicación inicial en Anales del Sistema Sanitario de Navarra, y se distinga la existencia de esta licencia de uso.


