Efecto de la incorporación de leonardita en el nivel de materia orgánica y micronutrientes en un suelo inceptisol dedicado a viña (Vitis vinifera L.)
Palabras clave:
leonardita, lineal, modelo, Tempranillo, varianzaResumen
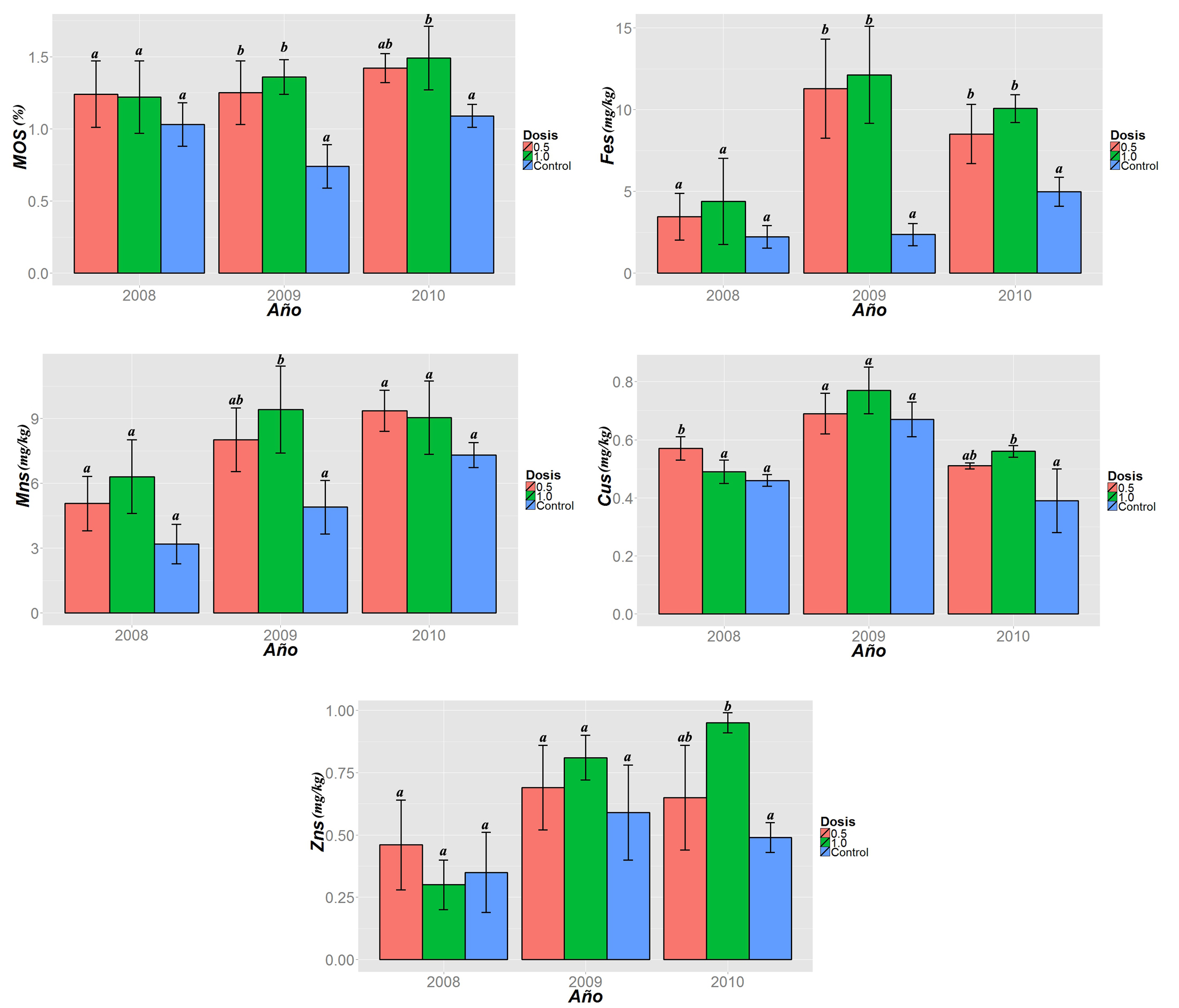
La materia orgánica del suelo, es un componente esencial del suelo, influyendo en el estado y el funcionamiento de otras propiedades del suelo. El principal objetivo de este trabajo, ha sido desarrollar un modelo predictivo para la recomendación de enmiendas orgánicas en suelos básicos de viñedo. Una leonardita, la Humita-40®, ha sido empleada a dos dosis: 500 y1000 kg ha-1. Cinco propiedades del suelo, a saber, materia orgánica del suelo, así como las concentraciones de hierro, manganeso, cobre y zinc han sido monitoreadas en dos profundidades del suelo (0-30 y 30-60 cm) durante tres años. La asociación entre las propiedades del suelo ha sido investigada mediante el análisis de la matriz de correlaciones. De acuerdo a los resultados del ANOVA factorial, la materia orgánica del suelo está condicionada por la dosis de Humita-40®. No obstante, el efecto dosis no ha sido modulado por la profundidad del suelo. En consecuencia, ha sido propuesto un modelo lineal para realizar recomendaciones de aplicación de leonardita en suelos básicos de viñedo.Archivos adicionales
Publicado
2015-01-26
Cómo citar
OLEGO MORÁN, M. ÁNGEL. (2015). Efecto de la incorporación de leonardita en el nivel de materia orgánica y micronutrientes en un suelo inceptisol dedicado a viña (Vitis vinifera L.). ITEA-Información Técnica Económica Agraria, 111(3). Recuperado a partir de https://recyt.fecyt.es/index.php/ITEA/article/view/21736
Número
Sección
Producción Vegetal
Licencia
Los artículos publicados en ITEA estarán sujetos a una licencia de Creative Commons licencia de Creative Commons - Reconocimiento, No Comercial, Sin Obra Derivada - 4.0 (CC BY-NC-SA 4.0 Internacional). Esta licencia permite a otros copiar y redistribuir el material en cualquier medio o formato, así como remezclar, transformar y construir a partir del material, siempre que sea reconocida la autoría y la publicación inicial en esta revista, además, debe indicar si se han realizado cambios. Nunca puede hacer uso de esta publicación para fines comerciales y si remezcla, transforma o crea a partir del material, debe distribuir su contribución bajo la misma licencia del original.



