Efectividad de la inmunización con nirsevimab en neonatos para prevenir hospitalizaciones por virus respiratorio sincitial durante dos temporadas en Navarra

Autores/as

  • Noelia Vera-Punzano Instituto de Investigación Sanitaria de Navarra https://orcid.org/0009-0000-8950-4560
  • Ana Navascués Servicio Navarro de Salud-Osasunbidea. Hospital Universitario de Navarra. Servicio de Microbiología Clínica. Pamplona
  • Leticia Armendáriz Servicio Navarro de Salud-Osasunbidea. Hospital Universitario de Navarra. Servicio de Microbiología Clínica. Pamplona
  • Natividad Viguria Servicio Navarro de Salud-Osasunbidea. Hospital Universitario de Navarra. Servicio de Pediatría. Pamplona https://orcid.org/0000-0003-0920-5072
  • Mercedes Herranz-Aguirre Servicio Navarro de Salud-Osasunbidea. Hospital Universitario de Navarra. Servicio de Pediatría. Pamplona, Navarra. España   
  • Manuel García Cenoz Instituto de Salud Pública y Laboral de Navarra. Pamplona, Navarra. España  https://orcid.org/0000-0001-7316-9104
  • Camino Trobajo-Sanmartín Instituto de Salud Pública y Laboral de Navarra. Pamplona, Navarra. España  https://orcid.org/0000-0001-5105-252X
  • Aitziber Echeverria Instituto de Salud Pública y Laboral de Navarra. Pamplona, Navarra. España https://orcid.org/0009-0002-2822-819X
  • Iván Martínez-Baz Instituto de Salud Pública y Laboral de Navarra. Pamplona, Navarra. España https://orcid.org/0000-0002-3405-2277
  • Carmen Ezpeleta Servicio Navarro de Salud-Osasunbidea. Hospital Universitario de Navarra. Servicio de Microbiología Clínica. Pamplona, Navarra. España
  • Guillermo Ezpeleta Instituto de Salud Pública y Laboral de Navarra. Pamplona, Navarra. España
  • Jesús Castilla Instituto de Salud Pública y Laboral de Navarra. Pamplona, Navarra. España https://orcid.org/0000-0002-6396-7265

DOI:

https://doi.org/10.23938/ASSN.1133

Palabras clave:

Virus respiratorio sincitial, Prevención, Nirsevimab, Hospitalización, Efectividad

Resumen

Fundamento. La infección por el virus respiratorio sincitial (VRS) es la principal causa de hospitalización en lactantes. En 2022 se autorizó el nirsevimab en la Unión Europea para prevenir la enfermedad respiratoria grave por VRS durante el primer año de vida. Evaluamos la efectividad de la inmunoprofilaxis con nirsevimab en recién nacidos para prevenir hospitalizaciones por VRS en Navarra durante las dos primeras temporadas de implementación.

Métodos. Se ofreció nirsevimab a las cohortes de recién nacidos de octubre a diciembre de 2023 y de septiembre a diciembre de 2024, que se siguieron hasta febrero del año siguiente. Se consideraron casos a las hospitalizaciones por VRS confirmadas por PCR. Mediante regresión de Cox se estimó la razón de riesgos de hospitalización por VRS de inmunizados frente a no inmunizados.

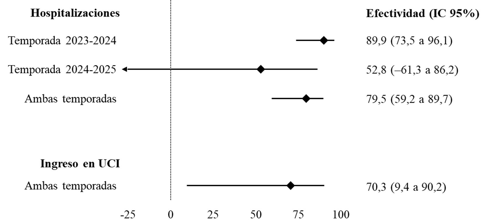
Resultados. Se ofreció nirsevimab a 2.699 recién nacidos, y 2.541 lo recibieron (94,1%). Se registraron 17 hospitalizaciones por VRS en la temporada 2023-2024 y 24 en la 2024-2025. El riesgo promedio de hospitalización por VRS fue 7,6% en no inmunizados y 1,1% en inmunizados. La efectividad promedio del nirsevimab para prevenir hospitalizaciones por VRS fue 79,5% (IC95%: 59,2-89,7), 89,9% en la temporada 2023-2024 y 52,8% en la 2024-2025, sin diferencias significativas entre ambas (p=0,055). La inmunoprofilaxis previno en promedio una hospitalización por VRS por cada 22,6 inmunizados.

Conclusiones. La inmunoprofilaxis con nirsevimab resultó efectiva para prevenir hospitalizaciones por VRS y alivió la sobrecarga de ingresos pediátricos. Ante la posibilidad de casos en inmunizados, debe complementarse con otras medidas preventivas.

Descargas

Los datos de descargas todavía no están disponibles.

Biografía del autor/a

Noelia Vera-Punzano, Instituto de Investigación Sanitaria de Navarra

1 Instituto de Salud Pública y Laboral de Navarra. Pamplona, Navarra. España     https://ror.org/000ep5m48

2Instituto de Investigación Sanitaria de Navarra (IdiSNA). Pamplona, Navarra. España             https://ror.org/023d5h353

3CIBER de Epidemiología y Salud Pública. España            https://ror.org/050q0kv47

Ana Navascués, Servicio Navarro de Salud-Osasunbidea. Hospital Universitario de Navarra. Servicio de Microbiología Clínica. Pamplona

Servicio Navarro de Salud-Osasunbidea. Hospital Universitario de Navarra. Servicio de Microbiología Clínica. Pamplona, Navarra. España https://ror.org/005dknr06

Instituto de Investigación Sanitaria de Navarra (IdiSNA). Pamplona, Navarra. España             https://ror.org/023d5h353

Leticia Armendáriz, Servicio Navarro de Salud-Osasunbidea. Hospital Universitario de Navarra. Servicio de Microbiología Clínica. Pamplona

Servicio Navarro de Salud-Osasunbidea. Hospital Universitario de Navarra. Servicio de Microbiología Clínica. Pamplona, Navarra. España https://ror.org/005dknr06

Instituto de Investigación Sanitaria de Navarra (IdiSNA). Pamplona, Navarra. España             https://ror.org/023d5h353

Natividad Viguria, Servicio Navarro de Salud-Osasunbidea. Hospital Universitario de Navarra. Servicio de Pediatría. Pamplona

Servicio Navarro de Salud-Osasunbidea. Hospital Universitario de Navarra. Servicio de Pediatría. Pamplona, Navarra. España         https://ror.org/005dknr06

Instituto de Investigación Sanitaria de Navarra (IdiSNA). Pamplona, Navarra. España             https://ror.org/023d5h353

Mercedes Herranz-Aguirre, Servicio Navarro de Salud-Osasunbidea. Hospital Universitario de Navarra. Servicio de Pediatría. Pamplona, Navarra. España   

Servicio Navarro de Salud-Osasunbidea. Hospital Universitario de Navarra. Servicio de Pediatría. Pamplona, Navarra. España         https://ror.org/005dknr06

Instituto de Investigación Sanitaria de Navarra (IdiSNA). Pamplona, Navarra. España             https://ror.org/023d5h353

Manuel García Cenoz, Instituto de Salud Pública y Laboral de Navarra. Pamplona, Navarra. España 

1 Instituto de Salud Pública y Laboral de Navarra. Pamplona, Navarra. España     https://ror.org/000ep5m48

2Instituto de Investigación Sanitaria de Navarra (IdiSNA). Pamplona, Navarra. España             https://ror.org/023d5h353

3CIBER de Epidemiología y Salud Pública. España            https://ror.org/050q0kv47

Camino Trobajo-Sanmartín, Instituto de Salud Pública y Laboral de Navarra. Pamplona, Navarra. España 

1 Instituto de Salud Pública y Laboral de Navarra. Pamplona, Navarra. España     https://ror.org/000ep5m48

2Instituto de Investigación Sanitaria de Navarra (IdiSNA). Pamplona, Navarra. España             https://ror.org/023d5h353

3CIBER de Epidemiología y Salud Pública. España            https://ror.org/050q0kv47

Aitziber Echeverria, Instituto de Salud Pública y Laboral de Navarra. Pamplona, Navarra. España

1 Instituto de Salud Pública y Laboral de Navarra. Pamplona, Navarra. España     https://ror.org/000ep5m48

2Instituto de Investigación Sanitaria de Navarra (IdiSNA). Pamplona, Navarra. España             https://ror.org/023d5h353

3CIBER de Epidemiología y Salud Pública. España            https://ror.org/050q0kv47

Iván Martínez-Baz, Instituto de Salud Pública y Laboral de Navarra. Pamplona, Navarra. España

1 Instituto de Salud Pública y Laboral de Navarra. Pamplona, Navarra. España     https://ror.org/000ep5m48

2Instituto de Investigación Sanitaria de Navarra (IdiSNA). Pamplona, Navarra. España             https://ror.org/023d5h353

3CIBER de Epidemiología y Salud Pública. España            https://ror.org/050q0kv47

Carmen Ezpeleta, Servicio Navarro de Salud-Osasunbidea. Hospital Universitario de Navarra. Servicio de Microbiología Clínica. Pamplona, Navarra. España

Servicio Navarro de Salud-Osasunbidea. Hospital Universitario de Navarra. Servicio de Microbiología Clínica. Pamplona, Navarra. España https://ror.org/005dknr06

Instituto de Investigación Sanitaria de Navarra (IdiSNA). Pamplona, Navarra. España             https://ror.org/023d5h353

Guillermo Ezpeleta, Instituto de Salud Pública y Laboral de Navarra. Pamplona, Navarra. España

1 Instituto de Salud Pública y Laboral de Navarra. Pamplona, Navarra. España     https://ror.org/000ep5m48

2Instituto de Investigación Sanitaria de Navarra (IdiSNA). Pamplona, Navarra. España             https://ror.org/023d5h353

3CIBER de Epidemiología y Salud Pública. España            https://ror.org/050q0kv47

Jesús Castilla, Instituto de Salud Pública y Laboral de Navarra. Pamplona, Navarra. España

1 Instituto de Salud Pública y Laboral de Navarra. Pamplona, Navarra. España     https://ror.org/000ep5m48

2Instituto de Investigación Sanitaria de Navarra (IdiSNA). Pamplona, Navarra. España             https://ror.org/023d5h353

3CIBER de Epidemiología y Salud Pública. España            https://ror.org/050q0kv47

Citas

1. HALL CB, WEINBERG GA, IWANE MK, BLUMKIN AK, EDWARDS KM, STAAT MA et al. The burden of respiratory syncytial virus infection in young children. N Engl J Med 2009; 360(6): 588-598. https://doi.org/10.1056/NEJMoa0804877

2. LI Y, WANG X, BLAU DM, CABALLERO MT, FEIKIN DR, GILL CJ et al. Global, regional, and national disease burden estimates of acute lower respiratory infections due to respiratory syncytial virus in children younger than 5 years in 2019: a systematic analysis. Lancet 2022; 399(10340): 2047-2064. https://doi.org/10.1016/S0140-6736(22)00478-0

3. Temporada de virus respiratorios 2022-2023 en Navarra. (Septiembre de 2023). Boletín de Salud Pública de Navarra Nº 126. https://www.navarra.es/NR/rdonlyres/AECCD760-AB2A-4841-818A-FA53478FD6DC/488194/BOL126INT1.pdf

4. LANGLEY GF, ANDERSON LJ. Epidemiology and prevention of respiratory syncytial virus infections among infants and young children. Pediatr Infect Dis J 2011; 30(6): 510-517. https://doi.org/10.1097/INF.0b013e3182184ae7

5. VIGURIA N, MARTÍNEZ-BAZ I, MORENO-GALARRAGA L, SIERRASESÚMAGA L, SALCEDO B, CASTILLA J. Respiratory syncytial virus hospitalization in children in northern Spain. PLoS One 2018; 13(11): e0206474. https://doi.org/10.1371/journal.pone.0206474

6. European Medicines Agency (EMA). Beyfortus®. Consultado el 19 de febrero de 2025. https://www.ema.europa.eu/en/medicines/human/EPAR/beyfortus

7. European Medicines Agency (EMA). Product Information Beyfortus® (Nirsevimab). https://www.ema.europa.eu/en/documents/product-information/beyfortus-epar-product-information_en.pdf

8. European Medicines Agency (EMA). Product Information Synagis® (Palivizumab). https://www.ema.europa.eu/en/documents/product-information/synagis-epar-product-information_en.pdf

9. MULLER WJ, MADHI SA, SEOANE NUÑEZ B, BACA COTS M, BOSHEVA M, DAGAN R et al. Nirsevimab for prevention of RSV in term and late-preterm infants. N Engl J Med 2023; 388(16): 1533-1534. https://doi.org/10.1056/NEJMc2214773

10. ARES-GÓMEZ S, MALLAH N, SANTIAGO-PÉREZ MI, PARDO-SECO J, PÉREZ-MARTÍNEZ O, OTERO-BARRÓS MT et al. Effectiveness and impact of universal prophylaxis with nirsevimab in infants against hospitalisation for respiratory syncytial virus in Galicia, Spain: initial results of a population-based longitudinal study. Lancet Infect Dis 2024; 24(8): 817-828. https://doi.org/10.1016/S1473-3099(24)00215-9

11. ERNST C, BEJKO D, GAASCH L, HANNELAS E, KAHN I, PIERRON C et al. Impact of nirsevimab prophylaxis on paediatric respiratory syncytial virus (RSV)-related hospitalisations during the initial 2023/24 season in Luxembourg. Euro Surveill 2024; 29(4): 2400033. https://doi.org/10.2807/1560-7917.ES.2024.29.4.2400033

12. EZPELETA G, NAVASCUÉS A, VIGURIA N, HERRANZ-AGUIRRE M, JUAN BELLOC SE, GIMENO BALLESTER J et al. Effectiveness of nirsevimab immunoprophylaxis administered at birth to prevent infant hospitalisation for respiratory syncytial virus infection: A population-based cohort study. Vaccines (Basel) 2024; 12(4): 383. https://doi.org/10.3390/vaccines12040383

13. CONSOLATI A, FARINELLI M, SERRAVALLE P, ROLLANDIN C, APPRATO L, ESPOSITO S et al. Safety and efficacy of nirsevimab in a universal prevention program of respiratory syncytial virus bronchiolitis in newborns and infants in the first year of life in the Valle d'Aosta region, Italy, in the 2023-2024 epidemic season. Vaccines (Basel) 2024; 12(5): 549. https://doi.org/10.3390/vaccines12050549

14. Temporada de virus respiratorios 2023-2024 en Navarra. (Noviembre de 2024). Boletín de Salud Pública de Navarra Nº133. https://www.navarra.es/NR/rdonlyres/AECCD760-AB2A-4841-818A-FA53478FD6DC/491846/BOL133INT1.pdf

15. Instituto de Salud Pública y Laboral de Navarra. Informe Semanal 14/2025. https://www.navarra.es/NR/rdonlyres/3855C06B-B6A2-4E05-BA57-034AB7947A04/492621/InformeEpidemiologicoSemanal14_2025.pdf

16. DRYSDALE SB, CATHIE K, FLAMEIN F, KNUF M, COLLINS AM, HILL HC et al. Nirsevimab for Prevention of Hospitalizations Due to RSV in Infants. N Engl J Med 2023; 389(26): 2425-2435. https://doi.org/10.1056/NEJMoa2309189

17. LÓPEZ-LACORT M, MUÑOZ-QUILES C, MIRA-IGLESIAS A, LÓPEZ-LABRADOR FX, MENGUAL-CHULIÁ B, FERNÁNDEZ-GARCÍA C et al. Early estimates of nirsevimab immunoprophylaxis effectiveness against hospital admission for respiratory syncytial virus lower respiratory tract infections in infants, Spain, October 2023 to January 2024. Euro Surveill 2024; 29(6): 2400046. https://doi.org/10.2807/1560-7917.ES.2024.29.6.2400046

18. COMA E, MARTINEZ-MARCOS M, HERMOSILLA E, MENDIOROZ J, REÑÉ A, FINA F et al. Effectiveness of nirsevimab immunoprophylaxis against respiratory syncytial virus-related outcomes in hospital and primary care settings: a retrospective cohort study in infants in Catalonia (Spain). Arch Dis Child 2024; 109(9): 736-741. https://doi.org/10.1136/archdischild-2024-327153

19. ESTRELLA-PORTER P, BLANCO-CALVO C, LAMEIRAS-AZEVEDO AS, JUANEDA J, FERNÁNDEZ-MARTÍNEZ S, GÓMEZ-PAJARES F et al. Effectiveness of nirsevimab introduction against respiratory syncytial virus in the Valencian Community: A preliminary assessment. Vaccine 2024; 42(22): 126030. https://doi.org/10.1016/j.vaccine.2024.05.078

20. BARBAS DEL BUEY JF, ÍÑIGO MARTÍNEZ J, GUTIÉRREZ RODRÍGUEZ MÁ, ALONSO GARCÍA M, SÁNCHEZ-GÓMEZ A, LASHERAS CARBAJO MD et al. The effectiveness of nirsevimab in reducing the burden of disease due to respiratory syncytial virus (RSV) infection over time in the Madrid region (Spain): a prospective population-based cohort study. Front Public Health 2024; 12: 1441786. https://doi.org/10.3389/fpubh.2024.1441786

21. PAIREAU J, DURAND C, RAIMBAULT S, CAZAUBON J, MORTAMET G, VIRIOT D et al. Nirsevimab effectiveness against cases of respiratory syncytial virus bronchiolitis hospitalised in paediatric intensive care units in France, September 2023-January 2024. Influenza Other Respir Viruses 2024; 18(6): e13311. https://doi.org/10.1111/irv.13311

22. ASSAD Z, ROMAIN AS, AUPIAIS C, SHUM M, SCHRIMPF C, LORROT M et al. Nirsevimab and hospitalization for RSV bronchiolitis. N Engl J Med 2024; 391(2): 144-154. https://doi.org/10.1056/NEJMoa2314885

23. XU H, APARICIO C, WATS A, ARAUJO BL, PITZER VE, WARREN JL et al. Estimated Effectiveness of nirsevimab against respiratory syncytial virus. JAMA Netw Open 2025; 8(3): e250380. https://doi.org/10.1001/jamanetworkopen.2025.0380

24. MOLINE HL, TANNIS A, TOEPFER AP, WILLIAMS JV, BOOM JA, ENGLUND JA et al. Early estimate of nirsevimab effectiveness for prevention of respiratory syncytial virus-associated hospitalization among infants entering their first respiratory syncytial virus season - New Vaccine Surveillance Network, October 2023-February 2024. Morb Mortal Wkly Rep 2024; 73(9): 209-214. https://doi.org/10.15585/mmwr.mm7309a4

25. NÚÑEZ O, OLMEDO C, MORENO-PEREZ D, LORUSSO N, FERNÁNDEZ MARTÍNEZ S, PASTOR VILLALBA PE et al. Effectiveness of catch-up and at-birth nirsevimab immunisation against RSV hospital admission in the first year of life: a population-based case-control study, Spain, 2023/24 season. Euro Surveill 2025; 30(5): 2400596. https://doi.org/10.2807/1560-7917.ES.2025.30.5.2400596

26. GALA CL, HALL CB, SCHNABEL KC, PINCUS PH, BLOSSOM P, HILDRETH SW et al. The use of eye-nose goggles to control nosocomial respiratory syncytial virus infection. JAMA 1986; 256(19): 2706-2708.

27. JIANG ML, XU YP, WU H, ZHU RN, SUN Y, CHEN DM et al. Changes in endemic patterns of respiratory syncytial virus infection in pediatric patients under the pressure of nonpharmaceutical interventions for COVID-19 in Beijing, China. J Med Virol 2023; 95(1): e28411. https://doi.org/10.1002/jmv.28411

28. PASTOR-BARRIUSO R, NÚÑEZ O, MONGE S, the Nirsevimab Effectiveness Study Collaborators. Infants needed to immunise with nirsevimab to prevent one RSV hospitalisation, Spain, 2023/24 season. Euro Surveill 2025; 30(6): 2500040. https://doi.org/10.2807/1560-7917.ES.2025.30.6.2500040

Descargas

Publicado

29-08-2025

Cómo citar

1.
Vera-Punzano N, Navascués A, Armendáriz L, Viguria N, Herranz-Aguirre M, García Cenoz M, et al. Efectividad de la inmunización con nirsevimab en neonatos para prevenir hospitalizaciones por virus respiratorio sincitial durante dos temporadas en Navarra. An Sist Sanit Navar [Internet]. 29 de agosto de 2025 [citado 17 de noviembre de 2025];48(2):e1133. Disponible en: https://recyt.fecyt.es/index.php/ASSN/article/view/115632

Número

Sección

Artículos originales

Datos de los fondos

Artículos más leídos del mismo autor/a

Artículos similares

<< < 1 2 3 4 5 6 7 8 9 10 > >> 

También puede Iniciar una búsqueda de similitud avanzada para este artículo.