The social base and career development of Spanish mayors
DOI:
https://doi.org/10.21308/recp.46.02Palabras clave:
Gobierno local, democracia local, alcaldes, reclutamiento político, líderes políticos, España.Resumen
La literatura sobre élites políticas en España ha tendido a centrarse en el estudio de los parlamentos y de los gobiernos nacionales y autonómicos, en lugar del nivel de gobierno municipal. Pese a ello, es precisamente en el entorno local donde los políticos adquieren sus habilidades y experiencia política, donde desarrollan sus nociones de democracia y donde en muchas ocasiones inician sus carreras políticas. El estudio de los patrones de reclutamiento en las democracias locales españolas nos permite comprobar si algunos de los hallazgos que ofrecen las investigaciones en la materia se confirman a nivel municipal en España, mejorando así nuestro conocimiento acerca de quiénes gobiernan nuestras ciudades. Este artículo analiza los perfiles sociales de los alcaldes y alcaldesas españoles, sus patrones de profesionalización y sus ambiciones políticas, intentando abordar cuestiones como: ¿Comparten los líderes locales antecedentes comunes? ¿Son amateurs o políticos profesionales? ¿Es el nivel municipal un primer paso en una carrera política identificable de los representantes españoles? Para responder a estas preguntas el trabajo se apoya en información procedente de una encuesta a una muestra representativa de 303 alcaldes de municipios de más de 10 000 habitantes. Los resultados confirman que los alcaldes y alcaldesas españoles comparten los patrones identificados por la literatura sobre élites políticas, particularmente la referida a gobiernos locales en otros países europeos, si bien se identifican algunas especificidades propias.Descargas
Citas
Aars, Jacob, Audun Offerdal and Dan Rysavy. 2012. “The Careers of European Local Councillors: A Cross-National Comparison1”, Lex localis, 10 (1): 63.
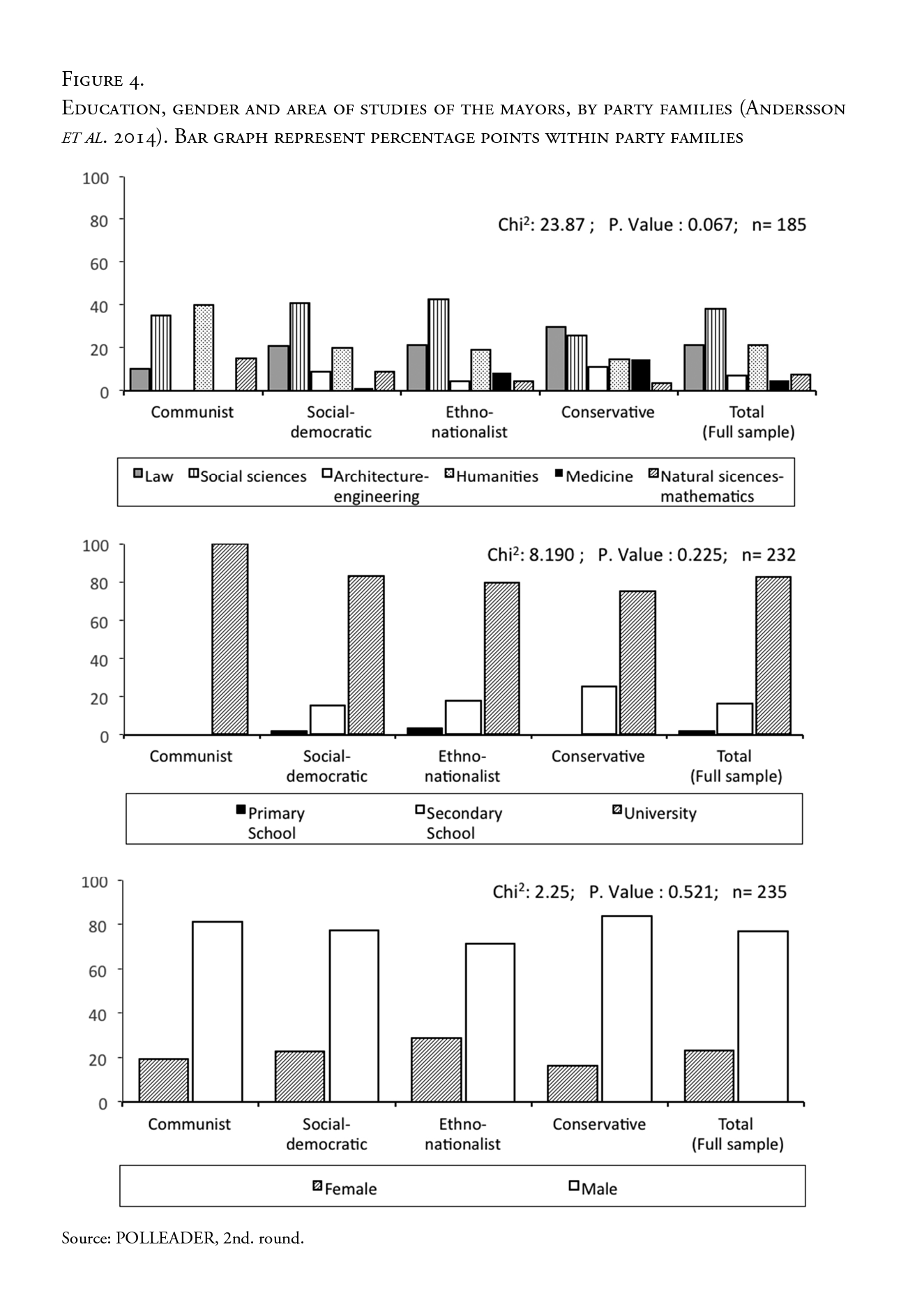
Andersson, Staffan, Torbjörn Bergman and Ersson Svante. 2014. “The European Representative Democracy Data Archive, Release 3”. Main sponsor: Riksbankens Jubileumsfond (In2007-0149:1-E).
Bäck, Henry, Hubert Heinelt and Annick Magnier (eds.). 2006. The European Mayor. Wiesbaden : VS Verlag für Sozialwissenshaften.
Capo, Jordi, Montserrat Baras, Joan Botella and Gabriel Colomé. 1988. “La formación de una élite política local”. Revista de Estudios Políticos, (59): 199-224.
Coller, Xavier, Helder Ferreira do Vale and Chris Meissner. 2008. Political elites in federalized countries: The case of Spain (1980-2005). Barcelona: Institut de Ciències Polítiques i Socials.
Coller, Xavier, Antonio Jaime and Fabiola Mota. 2016. El poder político en España: parlamentarios y ciudadanía. Madrid: Centro de Investigaciones Sociológicas.
Cotta, Maurizio and Heinrich Best. 2000. “Between Professionalization and Democratization: A Synoptic View on the Making of the European Representative”, in Maurizio Cotta and Heinrich Best (eds.), Parliamentary representatives in Europe, 1848-2000: legislative recruitment and careers in eleven European countries. Oxford. Oxford University Press.
Dahlerup, Drude and Monique Leyenaar. 2013. Breaking male dominance in old democracies. Oxford: Oxford University Press.
Denters, Bas and Lawrence E. Rose. 2005. Comparing Local Governance. Trends and Developments. Basingstoke, UK : Palgrave Macmillan.
Duverger, Maurice. 1955. The Political Role of Women. Paris: Unesco.
Eulau, Heinz and Kenneth Prewitt. 1973. Labyrinths of Democracy: Adaptations, Linkages, Representation, and Policies in Urban Politics. Indianapolis: Bobbs-Merrill.
Franceschet, Susan, Mona L. Krook and Jennifer M. Piscopo. 2013. The impact of Gender Quotas. Oxford: Oxford University Press.
Guérin, Élodie and Eric Kerrouche. 2008. “From amateurs to professionals: The changing face of local elected representatives in Europe”, Local Government Studies, 34 (2), 179-201.
Heinelt, Hubert, Annick Magnier, Marcello Cabria and Herwig Reynaert (eds.). 2018. Political Leaders and Changing Local Democracy. The European Mayor. Cham, Switzerland: Palgrave Macmillan.
Instituto de la Mujer y para la Igualdad de Oportunidades. (s. f.). Mujeres en Cifras. Poder y Toma de Decisiones. Administración Local. Available at: www.inmujer.gob.es [Last accessed February 2017]
Iversen, Torben and Frances Rosenbluth. 2008. “Work and power: The connection between female labor force participation and political representation”, Annual Review of Political Science, 11: 479-495.
Kjær, Ulrik. 2006. “The mayor’s political career”, in Henry Bäck, Hubert Heinelt and Annick Magnier (eds.), The European Mayor. Wiesbaden : VS Verlag für Sozialwissenschaften.
Kittilson, Miki C. 2013. “Party Politics”, in Georgina Waylen, Karen Celis, Johana Kantola and Laurel Weldon (eds.), The Oxford Handbook of Gender and Politics. Oxford: Oxford University Press.
Kittilson, Miki C. 2006. Challenging Parties, Changing Parliaments: Women and Elected Office in Contemporary Western Europe. Columbus, OH: Ohio State University Press.
Krook, Mona L. and Leslie Schwindt-Bayer. 2013. “Electoral Institutions”, in Georgina Waylen, Karen Celis, Johanna Kantola and Laurel Weldon, (eds.), The Oxford Handbook of Gender and Politics. Oxford: Oxford University Press.
Lawless, Jennifer and Richard L. Fox. 2010. It Still takes a Candidate: Why Women Don’t Run for Office. New York: Cambridge University Press.
Liñeira, Robert and Jordi Muñoz. 2016. “Profesionalización y trayectorias parlamentarias”, in Xavier Coller, Antonio Jaime and Fabiola Mota (eds.), El poder político en España: parlamentarios y ciudadanía Madrid: Centro de Investigaciones Sociológicas.
Mouritzen, Poul E. and Svara James H. 2002. Leadership at the Apex: Politicians and administrators in Western local governments. Pittsburgh: University of Pittsburgh Press.
Navarro, Carmen. 2012. “Si la reducción de los concejales fuera la respuesta ¿cuáles son las preguntas? Cómo son y qué se espera de los líderes políticos locales”, Anuario de Derecho Municipal, 6, 165-181.
Navarro, Carmen and Francisco Velasco. 2016. “‘In wealth and in poverty?’ The changing role of Spanish municipalities in implementing childcare policies”, International Review of Administrative Sciences, 82 (2), 315-334.
Navarro, Carmen and Lluis Medir. 2016. “Patterns of Gender Representation in Councils at the Second Tier of Local Government. Assessing the Gender Gap in an Unexplored Institutional Setting”, in Xavier Bertrana, Björn Egner and Hubert Heinelt (eds.), Policy Making at the Second Tier of Local Government. What Is Happening in Provinces, Counties, Départements and Landkreise in the On-going Re-scaling of Statehood. Abingdon, Oxon : Routledge.
Norris, Pippa and Joni Lovenduski. 1995. Political recruitment: Gender, race and class in the British Parliament. Cambridge: Cambridge University Press.
Oñate, Pablo. (2014). “The effectiveness of quotas: vertical and horizontal discrimination in Spain”, Representation, 50 (3): 351-364.
Paxton, Pamela and Melanie M. Hughes. 2013. Women, Politics, and Power: A Global Perspective. Los Angeles: Sage.
Pitkin, Hanna F. 1967. The Concept of Representation. Berkeley: University of California Press.
Reynaert, Herwig. 2012. “The Social Base of Political Recruitment. A Comparative Study of Local Councillors in Europe”, Lex Localis. Journal of Local Self-Government, 10 (1): 19-36.
Rodríguez Teruel, Juan. 2011. Los ministros de la España democrática: reclutamiento político y carrera ministerial de Suárez a Zapatero, 1976-2011. Madrid: Centro de Estudios Políticos y Constitucionales.
Rosenbluth Frances, Rob Salmond and Michael F. Thies. 2006. “Welfare works: Explaining female legislative representation”, Politics and Gender 2 (2): 165-192.
Santana, Andrés, Xavier Coller and Susana Aguilar. 2015. “Women MPs in Spanish Regional Parliaments: Critical Mass, Parliamentary Experience and Political Influence”, Revista Española de Investigaciones Sociológicas, 149: 111-130.
Bermúdez, Sandra and Inmaculada Serrano. 2016. “¿Cómo son los parlamentarios?”, in Xavier Coller, Antonio Jaime and Fabiola Mota (eds.), El poder político en España: parlamentarios y ciudadanía. Madrid: Centro de Investigaciones Sociológicas.
Schlesinger, Joseph A. 1966. Ambition and Politics: Political Careers in the United States. Chicago: Rand McNally.
Steyvers, Kristof and Herwig Reynaert. 2006.”‘From the Few are Chosen the Few...’. On the Social Background of European Mayors”, in Henry Bäck, Hubert Heinelt and Annick Magnier, (eds.), The European Mayor. Wiesbaden : VS Verlag für Sozialwissenschaften.
Steyvers, Kristof and Lluís Medir. 2018. “From the Few Are Still Chosen the Few? Continuity and Change in the Social Background of European Mayors”, in Political Leaders and Changing Local Democracy: the European mayor. Cham, Switzerland: Palgrave Macmillan.
Sundström, Aksel. 2013. Women’s Political Representation within 30 European Countries. QoG Working Paper Series, 2013 (18).
Verge, Tània, Maria A. Novo, Isabel, Diz and Marta I. Lois. 2016. “Género y Parlamento: impacto de la presencia política de las mujeres”, in Xavier Coller, Antonio Jaime and Fabiola Mota, (eds.), El poder político en España: parlamentarios y ciudadanía Madrid: Centro de Investigaciones Sociológicas.
Verge, Tània and Aurélia Troupel. 2011. “Unequals among equals: Party strategic discrimination and quota laws”, French Politics, 9 (3): 260-281.
Verhelst, Tom, Herwig Reynaert and Kristof Steyvers. 2013. “Political recruitment and career development of local councillors in Europe”, in Björn Egner, David Sweeting and Pieter-Jan Klok (eds.), Local Councillors in Europe. Wiesbaden: Springer.
Vetter, Angelika and Norbert Kersting. 2003. “Democracy versus efficiency? Comparing local government reforms across Europe”, in Norbert Kersting and Angelika Vetter, Reforming local government in Europe: closing the gap between democracy and efficiency. Opladen : Leske and Budrich.
Wängnerud, Lena . 2009. “Women in parliaments: Descriptive and substantive representation”, Annual Review of Political Science, 12: 51-69.
Descargas
Archivos adicionales
Publicado
Cómo citar
Número
Sección
Licencia
Derechos de autor 2018 Carmen Navarro, Alberto Sanz

Esta obra está bajo una licencia internacional Creative Commons Atribución-NoComercial-SinDerivadas 4.0.
