Exogenous and endogenous determinants of Spanish mayors’ notions of democracy: a multilevel regression analysis
DOI:
https://doi.org/10.21308/recp.46.03Palabras clave:
nociones de democracia, alcaldes, élites, ideología, carrera.Resumen
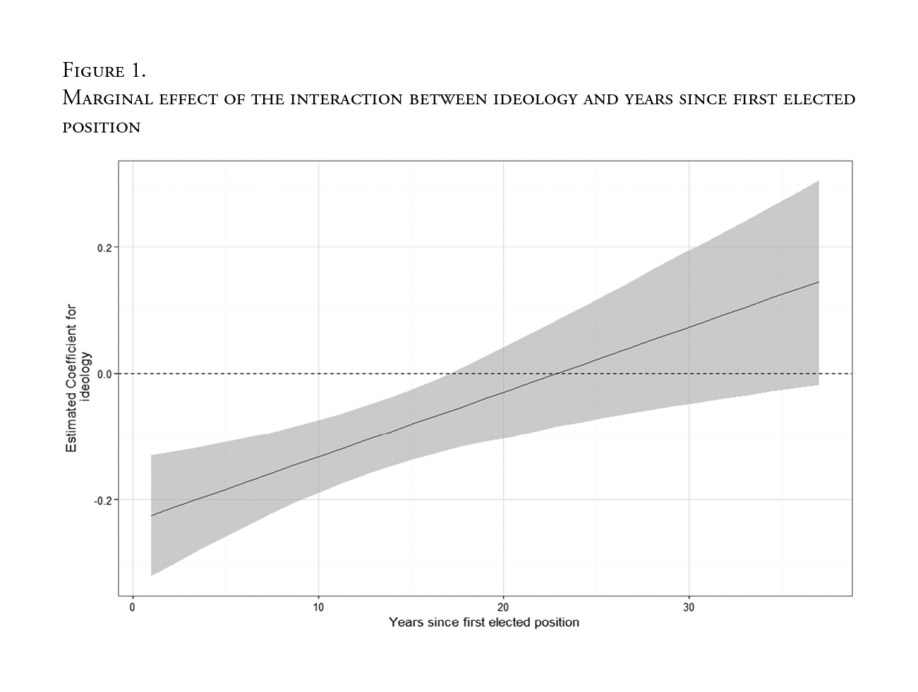
Existe acuerdo en la literatura sobre las nociones de democracia sostenidas por la elite acerca de (1) que las nociones de democracia pueden ser representadas adecuadamente mediante una dimensión representativa-participativa, y (2) que el modo en que los líderes conciben la democracia es relevante para comprender su comportamiento. Desde una perspectiva institucionalista, el modelo más común combina el origen endógeno y exógeno de las nociones de democracia de los líderes políticos. La teoría asume que tanto los aspectos institucionales como las características individuales tienen un impacto sobre la manera en que los líderes perciben la democracia y actúan. Sin embargo, aunque existe evidencia para apoyar el aspecto exógeno de esta teoría (la ideología de los líderes influye en su visión sobre la democracia), el impacto del diseño institucional local sobre las nociones de democracia ha recibido menor apoyo empírico. En este trabajo se proporciona un modelo de factores endógenos y exógenos de las nociones de democracia la elite política municipal. En particular, mostramos que la experiencia política endogeniza el efecto de la ideología sobre las nociones de democracia y el apoyo a reformas institucionales democráticas. Ponemos a prueba nuestro modelo mediante datos de encuesta sobre una muestra de alcaldes de municipios españoles y encontramos apoyo empírico para el mismo. Uno de los principales hallazgos es que el efecto de la ideología sobre el apoyo de los alcaldes a ciertas visiones concretas de la democracia decrece con la experiencia política.Descargas
Citas
Bäck, Henry, Hubert Heinelt and Annick Magnier (eds.). 2006. The European Mayor: Political Leaders in the Changing Context of Local Democracy. Heidelberg: VS Verlag für Sozialwissenschaften. Available at: https://doi.org/10.1007/978-3-531-90005-6.
Bäck, Henry. 2006. “Does recruitment matter? Selecting path and role definition”, in Henry Bäck, Hubert Heinelt and Annick Magnier (eds.), The Eurpean Mayor. Political Leaders in the Changing Context of Local Democracy (pp. 123-150). Heidelberg: VS Verlag für Sozialwissenschaften. Available at: https://doi.org/10.1007/978-3-531-90005-6_6.
Barber, Benjamin. 2003. Strong Democracy: Participatory Politics for a New Age. Berkeley: University of California Press.
Bledsoe, Thimoty. 1993. Careers in City Politics. The Case for Urban Democracy. Pittsburgh and London: University of Pittsburgh Press,.
Borraz, Olivier and Peter John. 2004. “The transformation of urban political leadership in western Europe”, International Journal of Urban and Regional Research, 28 (1):107-120. Available at: https://doi.org/10.1111/j.0309-1317.2004.00505.x.
Cohen, Joshua. 2007. “Deliberative democracy”, en S. R. Rosenberg (ed.), Deliberation, Participation and Democracy. Can the People Govern? (pp. 219-236). New York: Palgrave Macmillan, Houndsmill. Available at: https://doi.org/10.1057/9780230591080_10.
Denters, Bas and Pieter-Jan Klok. 2013. “Citizen democracy and the responsiveness of councillors: The effects of democratic institutionalisation on the role orientations and role behaviour of councilors”, Local Government Studies, 39 (5): 661-680. Available at: https://doi.org/10.1080/03003930.2012.670747.
Eldersveld, Samuel J., Lars Strömberg and Wim Derksen. 1995. Local Elites in Western Democracies: A Comparative Analysis of Urban Political Leaders in the U.S., Sweden, and the Netherlands. Boulder: Westview Press.
Gelman, Andrew and Jeniifer Hill. 2007. Data Analysis Using Regression and Multilevel/Hierarchical Models. Cambridge, MA: Cambridge University Press.
Genieys, William, Xavier Ballart and Pierre Valarié. 2004. “From ‘great’ leaders to building networks: The emergence of a new urban leadership in southern Europe?”, International Journal of Urban and Regional Research, 28 (1):183-199. Available at: https://doi.org/10.1111/j.0309-1317.2004.00510.x.
Goldsmith, Mike and Helge Larsen. 2004. “Local political leadership: Nordic style”, International Journal of Urban and Regional Research, 28 (1):121-133. Available at: https://doi.org/10.1111/j.0309-1317.2004.00506.x.
Haus, Michael and David Sweeting. 2006a. “Local democracy and political leadership: Drawing a map”, Political Studies, 54: 267-288. Available at: https://doi.org/10.1111/j.1467-9248.2006.00605.x.
Haus, Michael and David Sweeting. 2006b. “Mayors, citizens and local democracy” en Henry Bäck, Henry, Hubert Heinelt and Annick Magnier (eds.), The European Mayor: Political Leaders in the Changing Context of Local Democracy (pp. 151-176). Heidelberg: VS Verlag für Sozialwissenschaften. Available at: https://doi.org/10.1007/978-3-531-90005-6_7.
Heinelt, Hubert and Nikolaos K. Hlepas. 2006. “Typologies of local government systems”, en Henry Bäck, Hubert Heinelt and Annick Magnier (eds.), The European Mayor. Political Leaders in the Changing Context of Local Democracy (pp. 21-42). Heidelberg: VS Verlag für Sozialwissenschaften. Available at: https://doi.org/10.1007/978-3-531-90005-6_2.
Heinelt, Hubert. 2013a. “Councillors’ notions of democracy, and their role perception and behaviour in the changing context of local democracy”, Local Government Studies, 39 (5): 640-660. Available at: https://doi.org/10.1080/03003930.2012.670746.
Heinelt, Hubert. 2013b. “Introduction: The role perception and behaviour of municipal councillors in the changing context of local democracy”, Local Government Studies, 39 (5): 633-639. Available at: https://doi.org/10.1080/03003930.2012.670745.
Karlsson, David. 2013. “The hidden constitutions: How informal political institutions affect the representation style of local councils”, Local Government Studies, 39 (5): 681-702. Available at: https://doi.org/10.1080/03003930.2012.670748.
Kersting, Norbert and Angelika Vetter (eds.). 2003. Reforming Local government in Europe. Closing the gap between democracy and efficiency. Oplanden: Leske und Budrich. Available at: https://doi.org/10.1007/978-3-663-11258-7.
Kœr, Ulrik. 2006. “The mayor’s political career”, en Henry Bäck, Hubert Heinelt and Annick Magnier (eds.), The European Mayor. Political Leaders in the Changing Context of Local Democracy (pp. 75-98). Heidelberg. VS Verlag für Sozialwissenschaften.
Leach, Steve and David Wilson. 2004. “Urban elites in England: New models of executive governance”, International Journal of Urban and Regional Research, 28 (1): 134-149. Available at: https://doi.org/10.1111/j.0309-1317.2004.00507.x.
Manin, Bernard, Adam Przeworski and Susan C. Stokes. 1999. “Elections and representation”, en Adam Przeworski, Susan C. Stokes and Bernard Manin (eds.), Democracy, Accountability, and Representation (pp. 29-54). Cambridge: Cambridge University Press. Available at: https://doi.org/10.1017/CBO9781139175104.002.
Manin, Bernard. 1997. The principles of representative government. Cambridge: Cambridge University Press. Available at: https://doi.org/10.1017/CBO9780511659935.
March, James G. and Herbert A. Simon. 1958. Organizations. New York: John Wiley.
March, James G. and Johan P. Olsen. 1984. “The new institutionalism: Organizational factors in political life”, The American Political Science Review, 78 (3): 734-749. Available at: https://doi.org/10.2307/1961840.
March, James G. and Johan P. Olsen. 2006. “The logic of appropriateness”, en Michael Moran, Rein Michael and Robert E. Goodin (eds.), The Oxford Handbook of Public Policy (pp. 689-708). New York: Oxford University Press.
Page, Edward and Michael Goldsmith. 1987. Central and Local Government Relation. Beverly Hills: SAGE.
Page, Edward. 1991. Localism and centralism in Europe. Oxfors: Oxford University Press. Available at: https://doi.org/10.1093/acprof:oso/9780198277279.001.0001.
Przeworski, Adam. 2010. Democracy and the Limits of Self-Government. Cambridge: Cambridge University Press. Available at: https://doi.org/10.1017/CBO9780511778490.
Sharpe, Laurence J. 1970. “Theories and values of local government”, Political Studies, 18 (2): 153-174. Available at: https://doi.org/10.1111/j.1467-9248.1970.tb00867.x.
Tarrow, Sidney. 1977. Between Center and Periphery: Grassroots politicians in Italy and France. New Haven: Yale University Press.
Wollmann, Hellmut. 2004. “Urban leadership in German local politics: The rise, role and performance of the directly elected (chief executive) mayor”, International Journal of Urban and Regional Research, 28 (1):150-165. Available at: https://doi.org/10.1111/j.0309-1317.2004.00508.x.
Descargas
Publicado
Cómo citar
Número
Sección
Licencia
Derechos de autor 2018 Joan-Josep Vallbé, Ángel Iglesias Alonso

Esta obra está bajo una licencia internacional Creative Commons Atribución-NoComercial-SinDerivadas 4.0.
