Dinámica climática y paisajística del Pirineo leridano durante la transición Tardiglacial – Holoceno

Autores/as

  • Albert Pèlachs Mañosa Universitat Autònoma de Barcelona
  • Josep Manel Rodríguez Universitat Autònoma de Barcelona.
  • Ramón Pérez-Obiol Universitat Autònoma de Barcelona
  • Francisco Burjachs ICREA: Institució Catalana de Recerca i Estudis Avançats. Barcelona, España. Institut Català de Paleoecologia Humana i Evolució Social. URV: Àrea de Prehistòria, Facultat de Lletres, Universitat Rovira i Virgili. Av. Catalunya, 35, E‐43002, Tarragona, España.
  • Isabel Expósito IPHES: Institut Català de Paleoecologia Humana i Evolució Social. URV: Àrea de Prehistòria, Facultat de Lletres, Universitat Rovira i Virgili.
  • Ramón Juliá Institut de Ciències de la Terra ‘Jaume Almera’, Spain
  • Raquel Cunill UAB - Universitat Autònoma de Barcelona
  • Joan Manuel Soriano Universitat Autònoma de Barcelona
  • Erricarta Imanol Yll MINOA

Palabras clave:

LOI, polen, Tardiglacial-Holoceno, vegetación, clima, Pirineos

Resumen

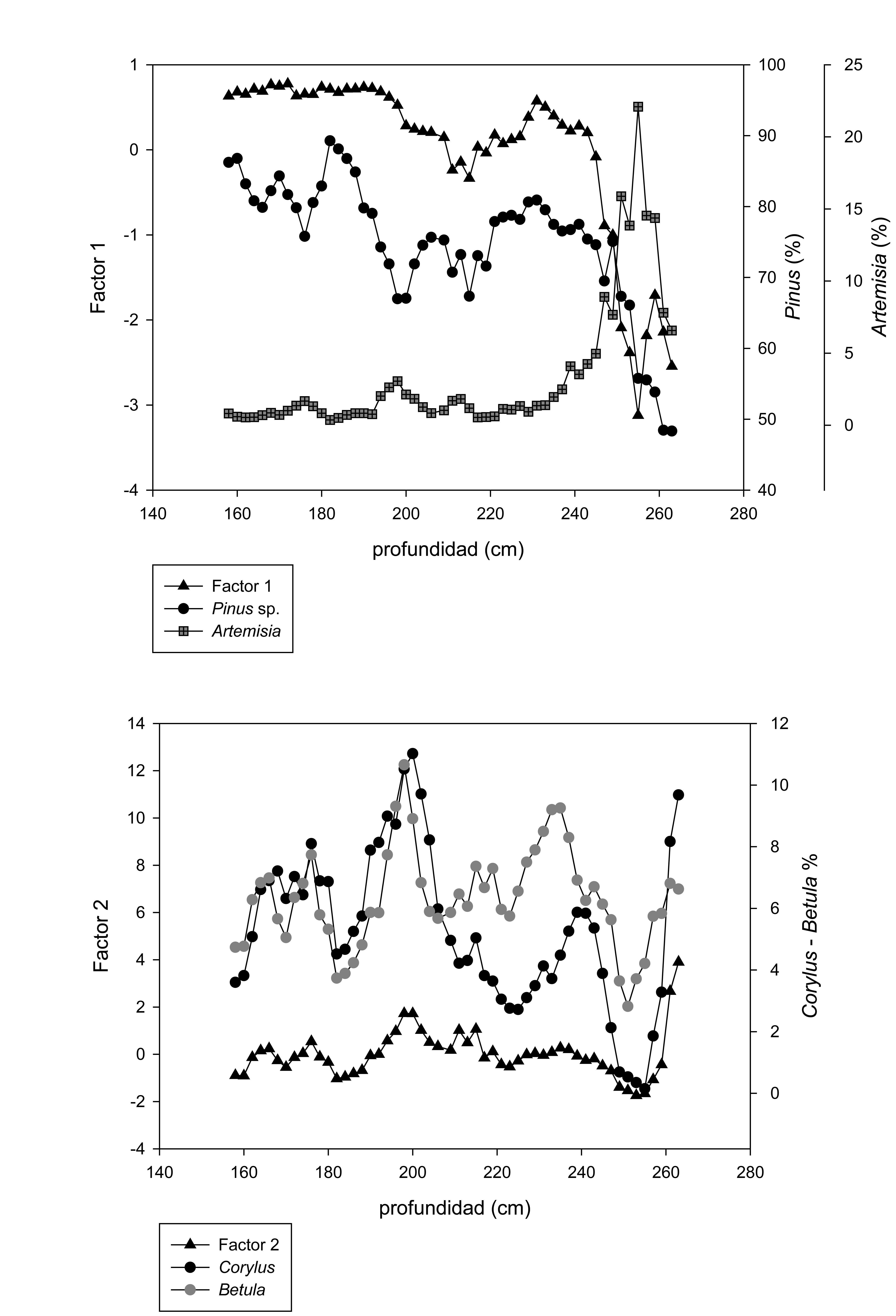
El Estany de la Coma de Burg (CMB) y la turbera de Estanilles (EST) son dos registros sedimentarios que aportan información paleoambiental sobre la transición del Tardiglacial al Holoceno en el Pirineo centro-oriental (Alto Pallars, Lleida). La comparación de los valores de materia orgánica (Loss On Ignition) de CMB con los registros polínicos de las dos secuencias (CMB y EST) indica que la LOI es más sensible a los cambios en la temperatura que en la precipitación. Los valores polínicos reflejan la sucesión de distintos paisajes, desde formaciones estépicas (Artemisia y Poaceae) hasta comunidades más o menos boscosas (Pinus, Betula y Corylus). Las 6 fluctuaciones documentadas por la LOI coinciden con las fluctuaciones de las temperaturas del Hemisferio Norte (Greenland Ice Core Project, GRIP) y marcan el Bölling, Alleröd, Dryas Reciente y el inicio del Holoceno, así como algunas fluctuaciones posteriores.

Descargas

Los datos de descargas todavía no están disponibles.

Biografía del autor/a

Albert Pèlachs Mañosa, Universitat Autònoma de Barcelona

Departamento de Geografía
GRAMP (Grup de Recerca en Àrees de Muntanya i Paisatge)

Citas

Bal, M.-C.; Pèlachs, A.; Pérez-Obiol, R.; Julià, R.; Cunill, R. (2011). Fire history and human activities during the last 3300 cal yr BP in Spain's Central Pyrenees: the case of the Estany de Burg. Palaeogeography, Palaeoclimatology, Palaeoecology, 300, 179-190.

Bond, G.; Kromer, B.; Beer, J.; Muscheler, R.; Evans, M.N.; Showers, W.; Hoffmann, S.; Lotti-Bond, R.; Hajdas, I.; Bonani, G. (2001). Persistent solar influence on North Atlantic Climate during the Holocene. Science, 294, 2130-2136.

Crawford, R.M.M.; Jeffree, C.E.; Rees, G. (2003). Paludification and forest retreat in northern oceanic environments. Annals of Botany, 91, 213–226.

Cunill, R. (2010). Estudi interdisciplinar de l’evolució del límit superior del bosc durant el període holocènic a la zona de Plaus de Boldís-Montarenyo, Pirineu central català. Tesis doctoral, Universidad Autònoma de Barcelona, Bellaterra, 146 pp. http://www.tdx.cat/handle/10803/4995

Cunill, R.; Soriano, J.M.; Bal, M.-C.; Pèlachs, A.; Perez-Obiol, R. (2012). Holocene treeline changes on the south slope of the Pyrenees: a pedoanthracological analysis. Vegetation History and Archaeobotany, 21 (4-5), 373-384.

Danzeglocke, U.; Jöris, O.; Weninger, B., (2010). CalPal-2007online. http://www.calpal-online.de/ accessed 2010-03-25

Dean, W.E. (1974). Determination of carbonate and organic matter in calcareous sediments and sedimentary rocks by loss on ignition: Comparison with other methods. Journal of Sedimentary Petrology, 44, 242–248.

Goeury, C.; Beaulieu, J.-L. de (1979). À propos de la concentration du pollen à l'aide de la liqueur de Thoulet dans les sédiments minéraux. Pollen et Spores, XXI (1-2), 239-251.

González-Sampériz, P.; Valero, B.; Moreno, A.; Jalut, G.; García, J.M.; Martí, C.; Delgado, A.; Navas, A.; Otto, T.; Dedoubat, J.J. (2006). Climate varibility in the Spanish Pyrenees during the last 30,000 yr revealed by the El Portalet sequence. Quaternary Research, 66, 38-52.

Heiri, O.; Lotter, A.F.; Lemcke, G. (2001). Loss on ignition as a method for estimating organic and carbonate content in sediments: Reproducibility and comparability of results. Journal of Paleolimnology, 25, 101–110.

ICC (2010). Atles geològic de Catalunya. Institut Geològic Catalunya, Institut Cartogràfic Catalunya, Generalitat Catalunya, Barcelona, 463 pp.

Ingolfsson, O.; Björck, S.; Haflidason, H.; Rundgren, M. (1997). Glacial and climatic events in Iceland reflecting regional north Atlantic Climatic Shifts during the Pleistocene-Holocene transition. Quaternary Science Review, 16, 1135-1144.

Jalut, G.; Turu, V. (2006). La végétation des Pyrénées françaises lors du dernier épisode glaciaire et durant la transition Glaciaire-Interglaciaire (Last Termination). En: Els Pirineus i les àrees circumdants durant el Tardiglacial. Mutacions i filiacions tecnoculturals, evolució paleoambiental (16000-10000 BP) (O. Mercada, coord.), Institut d'Estudis Ceretans. Puigcerdà, 129-149.

Jalut, G.; Turu, V.; Dedoubat, J.J.; Otto, T.; Ezquerra, J.; Fontugne, M.; Belet, J.M.; Bonnet, L.; García de Celis, A.; Redondo-Vega, J.M.; Vidal-Romaní, J.R.; Santos, L. (2010). Palaeoenvironmental studies in NW Iberia (Cantabrian range): Vegetation history and synthetic approach of the last deglaciation phases in the western Mediterranean. Palaeogeography, Palaeoclimatology, Palaeoecology, 297 (2), 330–350.

Julià, R.; Luque J.A. (2006). Climatic changes vs. catastrophic events in lacustrine systems: A geochemical approach. Quaternary International, 158, 162–171.

Moore, P.D.; Webb, J.A.; Collinson, M.E. (1991). Pollen Analysis. Blackwell Scientific Publications, Oxford, 216 pp.

Ninyerola, M.; Pons, X.; Roure, J.M. (2000). A methodological approach of climatological modelling of air temperature and precipitation through GIS techniques. International Journal of Climatology, 20, 1823-1841.

Pèlachs, A.; Nadal, J.; Soriano, J.M.; Esteban, A. (2007). Holocene environmental history and the human impact in the Pyrenees. Contributions to Science, 3, 423-431.

Pèlachs, A.; Julià, R.; Pérez-Obiol, R.; Soriano, J.M.; Bal, M.C.; Cunill, R.; Catalán, J. (2011). Potential influence of Bond events on mid-Holocene climate and vegetation in southern Pyrenees as assessed from Burg lake LOI and pollen records. The Holocene, 21 (1), 95-104.

Pérez-Obiol, R.; Julià, R. (1994). Climatic Change on the Iberian Peninsula Recorded in a 30,000-Yr Pollen Record from Lake Banyoles. Quaternary Research, 41, 91-98.

Pérez-Obiol, R.; Bal, M.-C.; Pèlachs, A.; Cunill, R.; Soriano, J.M. (2012). Vegetation dynamics and anthropogenically forced changes in the Estanilles peat bog (southern Pyrenees) during the last seven millennia. Vegetation History and Archaeobotany, 21 (4-5), 385-396.

Pla, S.; Catalán, J. (2005). Chrysophyte cysts from lake sediments reveal the submillennial winter/spring climate variability in the northwestern Mediterranean region throughout the Holocene. Climate Dynamics, 24, 263–278.

Poblet, J. (1991). Estructura herciniana i alpina del vessant sud de la zona axial del Pirineu central. Tesis Doctoral, Universitat de Barcelona, Barcelona, 604 pp.

Reille, M. (1992). Pollen et spores d’Europe et d’Afrique du Nord. Laboratoire de Botanique historique et Palynologie, Marseille, 543 pp.

Reille, M. (1998). Pollen et spores d’Europe et d’Afrique du Nord, Supplément 2. Laboratoire de Botanique historique et de Palynologie, Marseille, 521 pp.

Vizcaíno, A. (2003). Geologia glacial de la Coma de Burg (Pirineu Central). Trabajo final de carrera de Geología, Universitat de Barcelona, Barcelona, documento inédito.

Walker, M.J.C.; Björck, S.; Lowe, J.J.; Cwynar, L.; Johnsen, S.; Knudsen, K.-L.; Wohlfarth, B.; INTIMATE group (1999). Isotopic ‘events’ in the GRIP ice core: a stratotype for the Late Pleistocene. Quaternary Science Reviews, 18, 1143–1150.

Descargas

Publicado

2012-12-21