SATISFACCIÓN PROFESIONAL DE LOS EDUCADORES SOCIALES: FACTORES DE INFLUENCIA
Social educators’ professional satisfaction: influential factors


ALEJANDRO MARTÍNEZ-PÉREZ Y FERNANDO LEZCANO-BARBERO
Universidad de Burgos (España)


DOI: 10.13042/Bordon.2020.72172
Fecha de recepción: 17/04/2019 • Fecha de aceptación: 01/03/2020
Autor de contacto / Corresponding author: Alejandro Martínez-Pérez. E-mail: alejandromp@ubu.es.
Fecha de publicación online: 27/04/2020



INTRODUCCIÓN. El objetivo de este estudio es analizar el grado de autopercepción de la satisfacción laboral de los educadores sociales con su trabajo y los factores que influyen en el mismo. Se ha realizado una introducción acerca del proceso de desarrollo profesional de la educación social en nuestro país y sobre la dificultad para la definición de las funciones y de los campos de trabajo en que el educador social desarrolla su actividad. Posteriormente, se analiza la realidad laboral que abarca el perfil del educador social en la actualidad y se revisan diferentes estudios acerca del concepto de satisfacción laboral y su análisis, centrándose especialmente en aquellos relacionados con la educación y los servicios sociales. MÉTODO. La metodología del estudio es cuantitativa, con un planteamiento descriptivo. Para su realización, se ha utilizado como instrumento un cuestionario en línea, creado ad hoc, autoadministrado y aplicado sobre una muestra de 504 profesionales de las diecisiete comunidades autónomas de España y la ciudad de Ceuta. Los datos se han analizado con el programa SPSS. RESULTADOS. Los resultados muestran un nivel general de la satisfacción laboral autopercibida elevado y lo relacionan con diferentes variables. Se presenta una relación significativa entre satisfacción laboral y las variables de años de experiencia, relación laboral y porcentaje de la jornada; y no significativa en las variables de sexo, edad y entorno de trabajo. DISCUSIÓN. Se establece una discusión comparando los resultados obtenidos con los revisados en trabajos anteriores y se extraen las conclusiones. Se debe tener en cuenta que existen determinados factores laborales que influyen en la satisfacción laboral de los educadores y educadoras sociales. Finalmente, se exponen las limitaciones del trabajo y se realizan propuestas para próximos estudios.

Palabras clave: Educación social, Satisfacción profesional, Empleo, Condiciones laborales.


Introducción

La educación social se considera aún una profesión reciente que se consolidó profesional y académicamente a finales del siglo XX (Tiana Ferrer, 2017Tiana Ferrer, A. (2017). La evolución de la educación social como campo académico y profesional. Revista de Educación Social, 24, 81-108. Recuperado de http://www.eduso.net/res/admin/archivo/docdow.php?id=835).

La intervención pedagógica con colectivos sociales se venía promoviendo en España con diferentes perfiles y cualificaciones profesionales no universitarias, vinculadas a instituciones que organizaban los estudios, emitiendo los correspondientes diplomas, de carácter público o privado (Quintana Cabanas, 1997Quintana Cabanas, J. M. (1997). Antecedentes históricos de la educación social. En A. Petrus (coord.), Pedagogía Social (pp. 67-91). Barcelona: Ariel Educación.); hasta que el 10 de octubre de 1991, en el Boletín Oficial del Estado, se publicó el Real Decreto 1420/1991RD 1420/1991, de 30 de agosto, por el que se establece el título universitario oficial de diplomado en Educación Social y las directrices generales propias de los planes de estudios conducentes a la obtención de aquel, BOE núm. 243 (1991). con el que se estableció el título de Educación Social en España. Se trataba de una diplomatura universitaria de tres años de duración y una carga lectiva mínima de 180 créditos. El citado documento, en sus directrices generales expone que la titulación está dirigida a la “formación de un educador en los campos de la educación no formal, educación de adultos (incluidos los de la tercera edad), inserción social de personas desadaptadas y minusválidos, así como en la acción socioeducativa”.

Se concreta, por tanto, la Educación Social como una enseñanza universitaria de primer ciclo que dará lugar a una diplomatura y permitirá el acceso a estudios de segundo ciclo.

El nacimiento de este título promovió, en la segunda mitad de la década de los noventa, los primeros colegios profesionales de educación social, auspiciados desde las antiguas organizaciones profesionales que se crearon para intercambiar experiencias y para fomentar el reconocimiento profesional (Vallés Herrero, 2009Vallés Herrero, J. (2009). Manual del educador social. Intervención en servicios sociales. Madrid: Pirámide.).

La llegada del Espacio Europeo de Educación Superior hizo que las diplomaturas se transformaran en los actuales Grados en Educación Social, con una duración de cuatro años y una carga de 240 créditos ECTS.

Actualmente existen 36 centros que imparten el Grado en Educación Social en España (López Ramos y Castillo Murillo, 2014López Ramos, V. y Castillo Murillo, E. (2014). Análisis de situación de la formación inicial en educación social. El perfil profesional después de Bolonia: semejanzas y diferencias. Revista de Educación Social, 18, 1-14. Recuperado de http://www.eduso.net/res/pdf/18/e1e7_res_18.pdf).

Dificultades para la definición del perfil profesional

El perfil y los campos de trabajo en que el profesional de la educación social desarrolla la acción son variados dentro del ámbito socioeducativo y de los servicios sociales.

Su conceptualización es una tarea compleja y aún abierta. Losada, Muñoz y Espiñeira (2015Losada Puente, L., Muñoz Cantero, J. M. y Espiñeira Bellón, E. M. (2015). Perfil, funciones y competencias del educador social a debate: análisis de la trayectoria de la formación de profesionales de la educación social. Educación Social. Revista d'Intervenciò Socioeducativa, 60, 59-76. Recuperado de https://www.raco.cat/index.php/EducacioSocial/article/view/296661/385615: 73) recogen la “escasez y/o indeterminación de producción teórica que evidencie las competencias, perfil y funciones del educador social, de un modo diferenciado y exclusivo de su profesión”.

Sáez (2005Sáez Carreras, J. (2005). La profesionalización de los educadores sociales: construcción de un modelo teórico para su estudio. Revista de Educación, 336, 129-139. Recuperado de http://www.ince.mec.es/revistaeducacion/re336/re336_08.pdf) propone un modelo dialéctico para el estudio de la profesionalización de la educación social en España que gira en torno a cuatro actores claves que inciden en diferente medida: profesionales, Estado, universidad y mercado.

Diversos estudios han analizado las funciones del educador social[1], clasificándolas en diferentes áreas y categorías. En la tabla 1 resumimos los colectivos con los que se plantea la intervención de estos profesionales: Cacho Labrador (1998Cacho Labrador, X. (1998). L’educadora i l’educador social a Catalunya. Barcelona: APESC. y 1999Cacho Labrador, X. (1999). Antecedentes, ámbitos y perfiles profesionales del educador social. Pedagogía Social: Revista Interuniversitaria, 4, 139-150. Recuperado de https://dialnet.unirioja.es/descarga/articulo/2714392.pdf) en el ámbito territorial de Cataluña; Vallés Herrero (2011Vallés Herero, J. (2011). Análisis y valoración de las funciones de los educadores sociales en España (tesis doctoral). Universidad Nacional de Educación a Distancia, España. Recuperado de http://e-spacio.uned.es/fez/view.php?pid=tesisuned:Educacion-Jvalles) establece áreas mediante el cuestionario CFES-R, posteriormente validado (Vallés y Pérez, 2015Vallés, J. y Pérez, R. (2015). Las funciones del educador social: validación del cuestionario CFES-R. Bordón. Revista de Pedagogía, 67(2), 131-153. doi: http://doi.org/10.13042/Bordon.2015.67209); ANECA (2005aANECA (2005a). Libro blanco de Grado en Pedagogía y Educación Social (vol. 1). Madrid: ANECA. y 2005bANECA (2005b). Libro blanco de Grado en Pedagogía y Educación Social (vol. 2). Madrid: ANECA.) en el Libro blanco de Grado en Pedagogía y Educación Social; y el código identificativo en la Clasificación Nacional de Ocupaciones propuesto en el Real Decreto 1591/2010RD 1591/2010, de 26 de noviembre, por el que se aprueba la Clasificación Nacional de Ocupaciones 2011, BOE núm. 306 (2010)., actualmente vigente, que cataloga a los educadores sociales dentro del código “CNO 2824 Profesionales del trabajo y la educación social” y sus posteriores notas explicativas (INE, 2012INE (2012). Clasificación Nacional de Ocupaciones 2011 (CNO2011). Notas explicativas. Instituto Nacional de Estadística. Recuperado de https://www.ine.es/dyngs/INEbase/es/operacion.htm?c=Estadistica_C&cid=1254736177033&menu=ultiDatos&idp=1254735976614).

Tabla 1. Colectivos y ámbitos de intervención
Cacho Labrador (1998 y 1999) Vallés Herrero (2011) ANECA
(2005a, 2005b)
RD 1591/2010,
INE (2012)
Infancia X X X X
Adolescencia X X X X
Adultos X X X X
Familia X X X
Mayores X X X
Justicia y penitenciario X X X X
Inmigrantes X X
Mujer X X
Comunidad X X X X
Drogodependencia X X X X
Exclusión social X X X X
Discapacidad X X X X
Salud mental X X
Atención a la diversidad X
Animación sociocultural X X
Ocio y tiempo libre X X
Servicios sociales X X X X
Atención primaria X X X
Fuente: elaboración propia a partir de Cacho Labrador (1998Cacho Labrador, X. (1998). L’educadora i l’educador social a Catalunya. Barcelona: APESC. y 1999Cacho Labrador, X. (1999). Antecedentes, ámbitos y perfiles profesionales del educador social. Pedagogía Social: Revista Interuniversitaria, 4, 139-150. Recuperado de https://dialnet.unirioja.es/descarga/articulo/2714392.pdf), Vallés Herrero (2011Vallés Herero, J. (2011). Análisis y valoración de las funciones de los educadores sociales en España (tesis doctoral). Universidad Nacional de Educación a Distancia, España. Recuperado de http://e-spacio.uned.es/fez/view.php?pid=tesisuned:Educacion-Jvalles), ANECA (2005aANECA (2005a). Libro blanco de Grado en Pedagogía y Educación Social (vol. 1). Madrid: ANECA. y 2005bANECA (2005b). Libro blanco de Grado en Pedagogía y Educación Social (vol. 2). Madrid: ANECA.), RD 1591/2010RD 1591/2010, de 26 de noviembre, por el que se aprueba la Clasificación Nacional de Ocupaciones 2011, BOE núm. 306 (2010). e INE (2012INE (2012). Clasificación Nacional de Ocupaciones 2011 (CNO2011). Notas explicativas. Instituto Nacional de Estadística. Recuperado de https://www.ine.es/dyngs/INEbase/es/operacion.htm?c=Estadistica_C&cid=1254736177033&menu=ultiDatos&idp=1254735976614).

En los últimos años se está viviendo, además, un acercamiento a los centros educativos con funciones complementarias a la docente (Sierra, Vila, Caparrós y Martín, 2017Sierra, J. E., Vila, E. S., Caparrós, E. y Martín, V. M. (2017). Rol y funciones de los educadores y las educadoras sociales en los centros educativos andaluces. Análisis y reflexiones. Revista Complutense de Educación, 28(2), 479-495. doi: http://doi.org/10.5209/rev_RCED.2017.v28.n2.49542), ampliando notablemente tanto la definición del perfil como las tareas a desarrollar.

Esta conceptualización tan diversa dificulta definir con claridad qué es un educador social más allá de la simple tenencia de la titulación universitaria. Más complejo aún resulta cuantificar el número de profesionales.

La realidad laboral del educador social

Los educadores sociales realizan su labor fundamentalmente en el ámbito socioeducativo. En lo referente a legislación en el sector de los servicios sociales, partimos de una normativa “abundante y compleja” (Vilà, 2012Vilà, A. (2012). La nueva generación de leyes autonómicas de servicios sociales (2006-2011): análisis comparativo. Revista Internacional de Trabajo Social y Bienestar, 1, 143-155. Recuperado de https://revistas.um.es/azarbe/article/view/151201: 144) que el mismo autor clasifica en cuatro grupos: estatutos de autonomía; leyes autonómicas de servicios sociales; ley de promoción de la autonomía personal y atención a las personas en situación de dependencia (LAPAD); y otras leyes generales o sectoriales de las comunidades autónomas para regular aspectos concretos.

Dentro de los servicios sociales existe además una evolución del sistema de gasto público y del papel que debe ocupar el Estado en el mismo (Martínez-Ripoll, 2017Martínez-Ripoll, J. M. (2017). Voluntariado y empleo precario: dos caras del tercer sector de acción social. Trabajo Social Hoy, 80, 61-72. doi: 10.12960/TSH.2017.0004), el cual, a lo largo de los siglos XX y XXI ha dado lugar a cambios de impacto, especialmente con la crisis del estado de bienestar. Esta supuso un auge del llamado tercer sector para cubrir una serie de necesidades que no habían sido satisfechas por el Estado.

Diferenciamos así en servicios sociales tres grandes sectores (Weisbrod, citado en Martínez-Ripoll, 2017Martínez-Ripoll, J. M. (2017). Voluntariado y empleo precario: dos caras del tercer sector de acción social. Trabajo Social Hoy, 80, 61-72. doi: 10.12960/TSH.2017.0004): sector público conformado por las Administraciones del Estado, comunidades autónomas y locales; sector privado lucrativo regido por el mercado; y tercer sector que agrupa a las entidades privadas sin ánimo de lucro.

Respecto al desempeño laboral en cada uno de estos sectores, revisamos un estudio sobre el acceso al empleo de las personas tituladas en Educación Social en Madrid (De la Fuente, 2002De la Fuente, G. (2002). El acceso al empleo y la formación de los profesionales de la educación social. Revista Complutense de Educación, 13(2), 541-562. Recuperado de http://revistas.ucm.es/index.php/RCED/article/view/RCED0202220541A) con un análisis de las condiciones laborales y de contratación, entre ellas el tipo de empresa. Asimismo, encontramos otro estudio acerca de la inserción laboral de los titulados en Educación Social (ANECA, 2005aANECA (2005a). Libro blanco de Grado en Pedagogía y Educación Social (vol. 1). Madrid: ANECA.) en el que se establecen los porcentajes de trabajo en los diferentes sectores, diferenciando entre Administración pública y privada; en esta última, además, entre segundo y tercer sector. Un tercer estudio revisado (Fullana, Pallisera, Tesouro y Castro, 2007Fullana, J., Pallisera, M., Tesouro, M. y Castro, M. (2007). La inserción laboral de los diplomados en Educación Social: análisis de las características de los procesos de inserción y reconocimiento profesional. Bordón. Revista de Pedagogía, 59(4), 565-580. Recuperado de https://recyt.fecyt.es/index.php/BORDON/article/view/36330) realiza una clasificación entre contratación en el sector público y privado.

La profesión de la educación social cuenta con otra característica propia del sector de los servicios sociales como es el voluntariado. Martínez-Ripoll argumenta la dificultad actual de acreditar si un voluntario está cubriendo un puesto de trabajo que debería ser ocupado por una persona asalariada, ya que muchas de las tareas que realizan las personas voluntarias “son similares a las tareas competentes de un profesional cualificado” (2017Martínez-Ripoll, J. M. (2017). Voluntariado y empleo precario: dos caras del tercer sector de acción social. Trabajo Social Hoy, 80, 61-72. doi: 10.12960/TSH.2017.0004: 70) y en ocasiones se convierte en “una falsa entrada al mercado de trabajo”.

Satisfacción laboral

La medición de la satisfacción laboral lleva desarrollándose desde hace más de 50 años con diferentes tipos de instrumentos: globales o multidimensionales; multi-ítem o de un solo ítem; para el empleo en general o para profesiones específicas (Van Saane, Sluiter, Verbeek y Frings-Dresen, 2003Van Saane, N., Sluiter, J. K., Verbeek, J. H. y Frings-Dresen, M. H. W. (2003). Reliability and validity of instruments measuring job satisfaction - a systematic review. Occupational Medicine, 53(3), 191-200. doi: http://doi.org/10.1093/occmed/kqg038). En el metaanálisis realizado por los autores citados se observa que una de las características comunes en los instrumentos de medición de la satisfacción en entornos laborales es que están desarrollados mediante escalas tipo Likert.

Hemos revisado diferentes estudios sobre la medición de la satisfacción laboral. Destacamos el trabajo de Van Aerden, Puig-Barrachina, Bosmans y Vanroelen (2016Van Aerden, K., Puig-Barrachina, V., Bosmans, K. y Vanroelen, C. (2016). How does employment quality relate to health and job satisfaction in Europe? A typological approach. Social Science & Medicine, 158, 132-140. doi: http://doi.org/10.1016/j.socscimed.2016.04.017) en el que analizan la relación entre calidad del trabajo y satisfacción laboral en la Unión Europea. Para ello agrupan los empleos en cinco tipos, en función de factores como estabilidad, salario, oportunidades de formación, jornada parcial involuntaria o tipo de horarios. Realizan una medición de la insatisfacción laboral autopercibida basada en una pregunta de escala Likert con cuatro opciones de respuesta. Concluyen que la tipología de trabajo se relaciona con la insatisfacción laboral autopercibida. En el modelo de empleo “estándar”, con estabilidad y unas relaciones laborables beneficiosas, la autopercepción de satisfacción laboral es más ventajosa. Por el contrario, el categorizado como empleo “precario intensivo”, caracterizado por imprevisibilidad de horarios, jornadas laborales largas y horas extraordinarias no remuneradas, muestra las peores relaciones con la satisfacción laboral.

En segundo lugar, revisamos el trabajo de García-Mainar, García-Martín y Mortuenga (2016García-Mainar, I., García-Martín, G. y Montuenga, V. (2016). Gender differences in occupations, job attributes and job satisfaction. Revista de Economía Aplicada, XXIV(71), 39-67. Recuperado de https://www.redalyc.org/articulo.oa?id=96949058002) en el que realizan un estudio con el objetivo de analizar las diferencias de género en la satisfacción laboral en España basándose en variables sociodemográficas, condiciones laborales, actitudes hacia el empleo y en la autopercepción de la calidad laboral. En concreto, se solicita a los participantes indicar su grado de satisfacción laboral con su puesto de trabajo a través de una pregunta con una escala de once puntos.

La satisfacción laboral (Acker, 2018Acker, G. M. (2018). Self-care practices among social workers: do they predict job satisfaction and turnover intention? Social Work in Mental Health, 16(6), 713-727. doi: http://doi.org/10.1080/15332985.2018.1494082) es uno de los elementos fundamentales que influyen en el desempeño profesional en el caso de los profesionales de los servicios sociales. Consecuencias de la baja satisfacción laboral (Gómez, Alonso y Llamazares, 2018Gómez, R., Alonso, M. y Llamazares, M. L. (2018). Evaluation of job satisfaction in a sample of Spanish social workers through the ‘Job Satisfaction Survey’ scale. European Journal of Social Work, 21(1), 140-154. doi: http://doi.org/10.1080/13691457.2016.1255929) son el agotamiento y la alta rotación que pueden llevar a mayor absentismo, menores niveles de rendimiento y a una menor calidad del servicio.

Encontramos un estudio aplicado a trabajadores de servicios sociales (Calitz, Roux y Strydom, 2014Calitz, T., Roux, A. y Strydom, H. (2014). Factors that affect social workers’ job satisfaction, stress and burnout. Social Work/Maatskaplike Werk, 50(2), 153-169. doi: http://doi.org/10.15270/50-2-393) que expone la presencia de ciertos factores que pueden afectar a la satisfacción laboral en este sector. Estos son: supervisión, relaciones interpersonales, condiciones físicas del trabajo, bajo salario, políticas y prácticas administrativas de la empresa, incentivos y seguridad social.

En cuanto a la satisfacción profesional de los educadores sociales encontramos una publicación (Cobos, 2014Cobos Sanchiz, R. (2014). El paraguas de la vocación: apuntes sobre la salud laboral del/a educador/a social. Revista de Educación Social, 24, 143-148. Recuperado de http://www.eduso.net/res/admin/archivo/docdow.php?id=846) en la que se recogen los principales factores del burnout en educadores sociales, así como el sesgo que puede provocar en el nivel de satisfacción el carácter vocacional de la profesión.

Asimismo, encontramos un estudio comparativo sobre satisfacción laboral (Vallellano y Rubio-Valdehita, 2018Vallellano, M. D. y Rubio-Valdehita, S. (2018). Carga mental y satisfacción laboral: un estudio comparativo entre trabajadoras sociales, educadoras sociales y profesoras de enseñanza primaria. Ansiedad y Estrés, 24, 119-124. doi: http://doi.org/10.1016/j.anyes.2018.08.003) entre trabajadoras sociales, educadoras sociales y profesoras de enseñanza primaria.

Una vez realizada la revisión bibliográfica, nos proponemos abordar el siguiente objetivo: analizar las relaciones existentes entre las características de los profesionales de la educación social y su autopercepción de satisfacción laboral.

Método

Para la realización del estudio se utilizó el cuestionario EdSocEval_V2 creado ad hoc. El instrumento es autoadministrado, anónimo, con preguntas cerradas y abiertas. Los aspectos que aborda son: 1) datos sociodemográficos y laborales: sexo, edad, años de experiencia, relación con la educación social, tipo de contratación, porcentaje de jornada y entorno de trabajo; 2) grado de satisfacción con su actividad laboral medido mediante una pregunta tipo escala Likert de cinco valores, siendo 1 “nada satisfecho/a” y 5 “muy satisfecho/a”; 3) dimensiones relacionadas con la formación, utilización y valoración de las TIC.

Previamente a su distribución, el cuestionario se validó mediante juicio de expertos (Olson, 2010Olson, K. (2010). An examination of Questionnaire Evaluation by expert reviewers. Field Methods22(4), 295-318. doi: http://doi.org/10.1177/1525822X10379795). Se seleccionaron cinco personas vinculadas al ámbito de la educación social que desempeñaban su profesión con diferentes colectivos y contaban con una experiencia laboral de entre 28 y 9 años. Tres de los expertos desarrollaban también actividad académica como profesores del Grado en Educación Social en distintas universidades españolas. Asimismo, tres de los expertos seleccionados poseen vinculación relevante con colegios profesionales de educación social como miembros fundadores o de la Junta de Gobierno.

En un primer contacto se presentaron a los expertos seleccionados los objetivos de la investigación y se solicitó su colaboración. Una vez aceptada, se envió la primera versión del cuestionario por vía telemática para que la evaluasen de manera independiente. En cada apartado de la herramienta se incluía un espacio de observaciones e indicaciones de cada ítem y de la dimensión en su conjunto, y otro general al final del documento para su valoración global. Se recibieron las cinco valoraciones y tras un proceso de análisis de las aportaciones se introdujeron las modificaciones necesarias. Finalmente se enviaron los cambios a los expertos quienes, individualmente, confirmaron el acuerdo con el instrumento resultante.

El resultado es el cuestionario EdSocEval_V2 (http://bit.ly/EdSocEval_V2) de 74 ítems. Posteriormente se ha realizado un análisis factorial de este, dado que cumple con las características para ello: muestreo para medida Kaiser-Meyer-Olkin (KMO) próxima a 1 (.808) y prueba de esfericidad de Bartlett significativa (.000). El análisis factorial se realizó mediante la extracción de los componentes principales y el método de rotación Varimax. El resultado son ocho factores (tabla 2) que explican el 60,225% de varianza. El alfa de Cronbach resultante es de 0.891 y la dimensión relacionada con la satisfacción laboral se encuentra en el factor número 4 cuyo alfa de Cronbach es de ,828.

Tabla 2. Factores del cuestionario EdSocEval_V2
Factores Alfa de Cronbach
1 Elementos TIC sobremesa ,928
2 Formación en TIC ,900
3 Almacenamiento y tablet ,888
4 Utilización de las TIC y satisfacción laboral ,828
5 Valoración de las TIC ,586
6 Equipos multimedia tradicionales ,840
7 Equipos audiovisuales ,771
8 Equipos portátiles ,781
Fuente: elaboración propia.

El cuestionario se diseminó a través de Internet mediante la herramienta Google Forms. Para obtener una respuesta elevada se difundió a través de los diferentes colegios y asociaciones profesionales de educación social de las distintas comunidades autónomas y mediante las redes sociales en canales relacionados con la educación social: Twitter, Facebook y Linkedin.

La técnica de muestreo es por conveniencia y el planteamiento del estudio descriptivo (Mateo, 2009Mateo Andrés, J. M. (2009). La investigación ex post-facto. En R. Bisquerra (coord.), Metodología de la investigación educativa (pp. 195-230). Madrid: La Muralla.). La recogida de información se ha realizado entre febrero de 2017 y febrero de 2018, y los datos han sido analizados a través del programa informático SPSS v. 25 (licencia de la Universidad de Burgos).

Muestra

La muestra obtenida fue de 504 educadores sociales de las diecisiete comunidades autónomas y de la Ciudad Autónoma de Ceuta. Entre las personas participantes 408 son mujeres (81%) y 96 son hombres (19%).

La mayoría de los participantes son personas diplomadas en Educación Social (57,6%), seguido por graduados (26,5%) y habilitados por algún colegio profesional (13,2%). Un 2,7% tienen otra relación con la educación social.

La edad de las personas participantes varía entre los 21 y los 64 años y su media de edad se sitúa en 37.3 años, la mediana en 36, la moda en 25 y la desviación estándar en 9.47. Aquellas que tienen entre 30 y 39 años representan el 33,4% del total, seguidos por las personas de entre 40 y 49 años (27,4%) y las personas menores de 30 años (26,6%). Las personas mayores de 50 años representan el 12,5% de la muestra.

La experiencia laboral en el ámbito de la educación social de las personas participantes varía entre 1 y 42 años de trabajo, situándose la media en 10.6 años, la mediana en 10, la moda en 1 y la desviación estándar en 7.98.

Agrupadas en márgenes de 5 años de experiencia laboral (tabla 3), observamos cómo el mayor porcentaje es el de las personas con hasta 5 años de experiencia, sumando un tercio de los participantes (33,7%), y a medida que avanzamos en años de experiencia ese porcentaje disminuye. Le siguen aquellos que cuentan con entre 6 y 10 años de experiencia (23,8%), quienes tienen de 11 a 15 años de experiencia un 13,7%, seguido por aquellos con entre 21 y 25 años de experiencia (8,1%) y los que acumulan más de 26 años (4,2%).

Tabla 3. Años de experiencia laboral de las personas participantes
Años de experiencia % N
Hasta 5 33,7 170
De 6 a 10 23,8 120
De 11 a 15 16,5 83
De 16 a 20 13,7 69
De 21 a 25 8,1 41
De 26 a 30 4,2 21
TOTAL 100% 504
Fuente: elaboración propia.

Respecto a las comunidades autónomas donde trabajan las personas participantes (figura 1), la tasa de respuestas más elevada procede de Cataluña con un 18,8%, seguido de Baleares con un 14,7% y Galicia con un 12,3%. El resto de las comunidades autónomas están por debajo del 10%, siendo Canarias con un 9,9% de las respuestas y Castilla y León con un 9,1% las siguientes. Los menores porcentajes los encontramos en Ceuta, Murcia, Navarra y Asturias.

Figura 1. Tasa de participación por comunidades autónomas
Fuente: elaboración propia.

Imagen

[View full size] [Descargar tamaño completo]

Resultados

El grado de satisfacción respecto a su actividad laboral se resume en la tabla 4.

Tabla 4. Grado de satisfacción con su actividad laboral
N % % Acumulado
Nada satisfecho 21 4,2 4,2
Algo satisfecho 46 9,1 13,3
Moderadamente satisfecho 149 29,6 42,9
Bastante satisfecho 195 38,6 81,5
Muy satisfecho 93 18,5 100,0
TOTAL 504 100,0
Fuente: elaboración propia.

La media de satisfacción es 3.58; la mediana y la moda es 4. La desviación típica es de 1.02. El mínimo señalado es 1 y el máximo 5.

La mayor tasa de respuestas se sitúa en la opción de “bastante satisfecho” (38,6%), seguido de aquellos que se muestran “moderadamente satisfechos” (29,6%) y los “muy satisfechos” (18,5%).

Los valores considerados positivos (“bastante satisfecho” y “muy satisfecho”) suman en conjunto el 57,1%; los valores negativos (“nada satisfecho” y “algo satisfecho”) un 13,3%.

Sexo de las personas participantes y satisfacción con su situación laboral

En cuanto a la variable de sexo en relación con el grado de satisfacción de su actividad laboral (figura 2), la tasa de personas “nada satisfechas” es similar en ambos casos, situándose en el 4,17% (hombres n=4; mujeres n=17). En la opción “algo satisfecho” es mayor la tasa de hombres que la señalan (n=10; 10,42%) respecto a la de mujeres (n=36; 8,82%). La opción intermedia “moderadamente satisfecho” es señalada en mayor medida por las mujeres (n=126; 30,88%) en proporción con la de los hombres (n=23; 23,96%), casi 7 puntos por encima en el caso de ellas (6.92) sobre el de ellos, y 1.28 puntos por encima de la media de ambos. Los hombres señalan esta opción 5.6 puntos por debajo de la media.

Figura 2. Grado de satisfacción con su actividad laboral en relación con el sexo
Fuente: elaboración propia.

Imagen

[Descargar tamaño completo]

La opción “bastante satisfecho” es señalada por una mayor tasa de hombres (n=39; 40,63%) frente a la de mujeres (n=156; 38,24%). Por último, la opción más favorable, “muy satisfechos”, se indica en un 20,83% de los hombres (n=20) y un 17,85% (n=73) de las mujeres, con una media total del 18,5%. De esta manera, los hombres sitúan esta opción 2.33 puntos por encima de la media y las mujeres .65 puntos por debajo.

No se encontraron diferencias significativas en el grado de satisfacción en función del sexo de las personas participantes (chi-cuadrado=1.8; p=.408).

Relación laboral y satisfacción con su situación laboral

En el análisis de esta variable (figura 3) se han descartado aquellos participantes que respondieron no tener una relación laboral con la educación social en el momento de realización del cuestionario; con lo cual se han analizado las respuestas de 485 personas.

Figura 3. Grado de satisfacción en relación con la situación laboral de contratación/empleo
Fuente: elaboración propia.

Imagen

[View full size] [Descargar tamaño completo]

La opción que cubre mayor número de participantes es la de personas empleadas en el sector privado por cuenta ajena (n=259; 51,4%), seguida de las personas trabajadoras de la Administración pública (n=202; 40,1%). Con una representación menor le siguen los trabajadores por cuenta propia (n=24 personas y 4,8%).

La tasa de participantes que indican “nada satisfecho” es baja, del 3,86% entre quienes trabajan en el sector privado (n=10) y del 1,49% entre quienes trabajan para la Administración (n=3). Ninguna de las personas empleadas por cuenta propia señala la opción “nada satisfecho” con su situación laboral.

Respecto al máximo grado de satisfacción, lo señalan en mayor medida aquellos participantes que trabajan para la Administración pública (23,27%; n=47), a continuación los autónomos (20,83%; n=5) y quienes trabajan por cuenta ajena en el sector privado (15,83%; n=41). La tasa total de personas “muy satisfechas” es del 18,5% (n=93), por lo que tanto trabajadores de la Administración como autónomos se encuentran por encima de la media.

Se encontraron diferencias significativas en el grado de satisfacción en función de su relación laboral con la educación social (chi-cuadrado=16.63; p=.002).

Hay que señalar que entre quienes no se encuentran trabajando actualmente (n=19), bien por estar en desempleo o bien por seleccionar opciones no laborales como prácticas, la autopercepción de satisfacción es mayoritariamente negativa: “nada satisfecho” (42,1%; n=8) y “poco satisfecho” (26,3%; n=5) son las opciones más señaladas, seguidas de “moderadamente satisfecho” y “bastante satisfecho”, cada una de ellas con una tasa de 15,8% (n=3). Ningún participante de este grupo señaló la opción “muy satisfecho”.

Años de experiencia en la profesión y satisfacción con su situación laboral

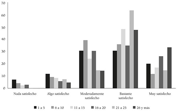
La relación entre los grupos de experiencia laboral y grado de satisfacción laboral (figura 4) indica que el grupo de participantes que en mayor medida señala la opción “nada satisfecho” con su actividad laboral es el de menor experiencia, quienes tienen entre 1 y 5 años, con un 7,06% (n=12); seguido por el siguiente grupo en cuanto a años de experiencia, entre 6 y 10 años, que indica en un 4,17% (n=5) la opción más desfavorable; por debajo del 3% están los dos siguientes rangos de experiencia; y a partir de 21 años laborales no lo indica ninguna de las personas participantes.

Figura 4. Tasa de satisfacción en relación con los años de experiencia
Fuente: elaboración propia.

Imagen

[View full size] [Descargar tamaño completo]

Las personas con menor experiencia señalan en mayor medida los índices más bajos de satisfacción laboral (“nada satisfecho” o “algo satisfecho”) frente a quienes acumulan mayores niveles de experiencia.

En todos los casos, salvo el rango de edad entre 6 y 10 años, la tasa de participantes que señalan niveles altos de satisfacción (“bastante satisfecho” o “muy satisfecho”) es superior al 50%. Los niveles más altos de experiencia laboral indican en mayor medida niveles más altos de satisfacción laboral (“bastante satisfecho” y “muy satisfecho”) con un 80,94% (n=15) entre quienes tienen más de 26 años de experiencia; un 78,04% (n=32) entre quienes poseen entre 21 y 25 años de experiencia; un 60,9% (n=42) entre quienes tienen entre 16 y 20 años de experiencia; un 65,06% (n=54) entre quienes tienen entre 11 y 15 años de experiencia; un 47,10% (n=57) entre quienes tienen de 6 a 10 años de experiencia; y un 50,59% (n=86) entre los de menor experiencia, con entre 1 y 5 años.

Se encontraron diferencias significativas en el grado de satisfacción y los años de experiencia con la educación social (chi-cuadrado=26.57; p=.003).

Edad y satisfacción con su situación laboral

En la variable edad contamos con una muestra válida de 500 personas ya que de la muestra total depuramos cuatro participantes que no respondieron al ítem.

La relación entre el grado de satisfacción con su situación laboral y los rangos de edad de las personas participantes está recogida en la figura 5.

Figura 5. Tasa de satisfacción en relación con la edad
Fuente: elaboración propia.

Imagen

[View full size] [Descargar tamaño completo]

Los menores grados de satisfacción (“nada satisfecho” y “algo satisfecho”) se señalan con mayor porcentaje entre las personas más jóvenes: menores de 30 años (16,55%; n=2), seguidos de aquellos entre 40 y 49 años (13,14%; n=21).

Respecto a la indicación de mayor grado de satisfacción, “muy satisfecho”, es señalada también en mayor porcentaje por las personas más jóvenes (24,81%; n=33), seguidos por quienes tienen más de 50 años (23,80%; n=15).

Salvo en el rango de edad más joven con un 26,32% (n=35), la opción más señalada es la de “bastante satisfecho” en el resto de rango de edades.

No se encontraron diferencias significativas en el grado de satisfacción en función de edad (chi-cuadrado=8.073; p=.233).

Porcentaje de jornada de trabajo y satisfacción con su situación laboral

En esta variable contamos con una muestra total de 486 participantes, debido a que 18 participantes han sido eliminados al no contestar al ítem de porcentaje de jornada laboral. Los resultados se recogen en la figura 6.

Figura 6. Grado de satisfacción en relación con el porcentaje de jornada de contratación
Fuente: elaboración propia.

Imagen

[View full size] [Descargar tamaño completo]

La opción que cubre mayor número de participantes es la de personas empleadas a jornada completa (n=343; 68,1%), seguida de las personas que trabajan entre el 26 y 50% de la jornada (n=63; 12,5%). Con una representación menor le siguen aquellas personas contratadas entre el 51 y el 75% de la jornada (n=44 personas y 8,7%) y quienes trabajan entre el 76 y el 99% (n=27 personas y 5,4%). En último lugar están quienes tienen un contrato por debajo del 25% de la jornada (n=9 personas y 1,8%).

En los rangos de menor jornada laboral, hasta el 75%, la opción de “moderadamente satisfecho” es la más señalada. Entre quienes se encuentran trabajando a jornada completa o, sin llegar a ella, por encima del 75%, la opción “bastante satisfecho” es la más señalada.

Las opciones más desfavorables (“nada satisfecho” y “algo satisfecho”) son señaladas en menor medida por quienes tienen un mayor porcentaje de jornada laboral, situándose únicamente en el rango de jornada completa por debajo del 10% (9,62%; n=33). En el resto de rangos varía, siendo el más alto entre quienes se encuentran trabajando entre un 26 y 50% de jornada laboral (22,22%; n=14), seguido de aquellas personas que trabajan entre el 51 y 75% de jornada (13,63%; n=6), quienes trabajan por debajo del 25% de la jornada (11,11%; n=1) y, finalmente, aquellos que se encuentran contratados entre el 76 y el 99% de la jornada (11,11%; n=3).

Asimismo, entre quienes tienen mayor jornada laboral, el porcentaje de opciones más favorables (“bastante satisfecho” y “muy satisfecho”) aumenta respecto a los de menor jornada laboral: hasta el 25% de jornada (11,11%; n=1), entre el 26 y 50% de jornada (33,33%; n=11), entre el 51 y 75% de la jornada (36,36%; n=16), entre el 76 y el 99% de jornada laboral (62,96%; n=17) y a jornada completa (66,49%; n=228).

Se encontraron diferencias significativas en el grado de satisfacción en función de su porcentaje de jornada laboral (chi-cuadrado=46.68; p=.000).

Entorno de trabajo y satisfacción con su situación laboral

Respecto a los entornos de trabajo, se dividió la variable en 4 opciones: urbano para ciudades con más de 20.000 habitantes (n=321; 63,7%), rural para poblaciones menores de 20.000 habitantes (n=93; 18,5%), ambos (n=83; 16,5%) y una última opción en la que se podían especificar otros (n=7; 1,4%). Esta última opción, difícil de calificar a efectos estadísticos, la consideraremos como valores perdidos; con lo cual se analizaron las respuestas de 497 personas. Los datos se recogen en la figura 7 de la página anterior.

Figura 7. Grado de satisfacción en relación con el entorno de trabajo
Fuente: elaboración propia.

Imagen

[View full size] [Descargar tamaño completo]

Entre quienes trabajan en el entorno urbano la opción mayoritaria es “bastante satisfecho” (37,69%; n=121) y las dos opciones más favorables (“bastante satisfecho” y “muy satisfecho”) suman el 58,25% (n=187).

Entre quienes desarrollan su actividad laboral en el entorno rural la opción más señalada es “moderadamente satisfecho” (37,69%; n=35) y las dos opciones más favorables (“bastante satisfecho” y “muy satisfecho”) suman el 49,46% (n=46).

Entre quienes desarrollan su actividad laboral en ambos entornos, urbano y rural, la opción más señalada, con amplia diferencia, es “bastante satisfecho” (46,99%; n=39) y las dos opciones más favorables (“bastante satisfecho” y “muy satisfecho”) suman el 61,45% (n=51).

Respecto a las opciones más desfavorables (“nada satisfecho” y “algo satisfecho”), en el entorno urbano acumulan el 13,71% (n=44), en el entorno rural el 12,9% (n=12) y entre quienes trabajan en ambos el 10,84% (n=9).

No se encontraron diferencias significativas en el grado de satisfacción en función de la ubicación del puesto de trabajo (chi-cuadrado=4.09; p=.394).

Discusión y conclusiones

El estudio presenta como novedad un análisis de la autopercepción de la satisfacción de los educadores sociales en su actividad laboral y la relación con una serie de factores sociodemográficos y profesionales, teniendo una referencia nacional de la muestra participante.

El nivel de satisfacción laboral de los educadores sociales obtenido es elevado, coincidiendo con los estudios anteriores (Gómez et al., 2018Gómez, R., Alonso, M. y Llamazares, M. L. (2018). Evaluation of job satisfaction in a sample of Spanish social workers through the ‘Job Satisfaction Survey’ scale. European Journal of Social Work, 21(1), 140-154. doi: http://doi.org/10.1080/13691457.2016.1255929; Calizt et al., 2014Calitz, T., Roux, A. y Strydom, H. (2014). Factors that affect social workers’ job satisfaction, stress and burnout. Social Work/Maatskaplike Werk, 50(2), 153-169. doi: http://doi.org/10.15270/50-2-393). El estudio de Vallellano y Rubio-Valdehita (2018Vallellano, M. D. y Rubio-Valdehita, S. (2018). Carga mental y satisfacción laboral: un estudio comparativo entre trabajadoras sociales, educadoras sociales y profesoras de enseñanza primaria. Ansiedad y Estrés, 24, 119-124. doi: http://doi.org/10.1016/j.anyes.2018.08.003), que compara la satisfacción laboral de educadoras sociales, trabajadoras sociales y profesoras de primaria en España, muestra que los dos primeros grupos están laboralmente menos satisfechos que el de maestras. Sin embargo, no obtiene diferencias significativas entre la satisfacción de trabajadoras y educadoras sociales.

Las características del puesto y las condiciones organizacionales (Gómez et al., 2018Gómez, R., Alonso, M. y Llamazares, M. L. (2018). Evaluation of job satisfaction in a sample of Spanish social workers through the ‘Job Satisfaction Survey’ scale. European Journal of Social Work, 21(1), 140-154. doi: http://doi.org/10.1080/13691457.2016.1255929; Vallelano y Rubio-Valdehita, 2018Vallellano, M. D. y Rubio-Valdehita, S. (2018). Carga mental y satisfacción laboral: un estudio comparativo entre trabajadoras sociales, educadoras sociales y profesoras de enseñanza primaria. Ansiedad y Estrés, 24, 119-124. doi: http://doi.org/10.1016/j.anyes.2018.08.003; Acker, 2018Acker, G. M. (2018). Self-care practices among social workers: do they predict job satisfaction and turnover intention? Social Work in Mental Health, 16(6), 713-727. doi: http://doi.org/10.1080/15332985.2018.1494082), así como la calidad del trabajo (Van Aerden et al., 2016Van Aerden, K., Puig-Barrachina, V., Bosmans, K. y Vanroelen, C. (2016). How does employment quality relate to health and job satisfaction in Europe? A typological approach. Social Science & Medicine, 158, 132-140. doi: http://doi.org/10.1016/j.socscimed.2016.04.017) son factores que intervienen en la satisfacción laboral. En nuestro estudio hemos hallado una serie de factores laborales influyentes en relación con el grado de satisfacción laboral.

El primer factor es el tipo de contratación (público-privado-autónomo). La satisfacción es menor en el empleo privado en comparación con las dos opciones restantes.

En nuestra muestra existe una mayor tasa de personas trabajando en el sector privado frente al público y al autónomo. Las clasificaciones realizadas varían en la bibliografía revisada, principalmente en lo referido al trabajo autónomo, que no aparece en algunos de los trabajos; y en la división del empleo privado, entre sector empresarial y ONG o tercer sector, que nosotros no hemos recogido en el nuestro.

De la Fuente (2002De la Fuente, G. (2002). El acceso al empleo y la formación de los profesionales de la educación social. Revista Complutense de Educación, 13(2), 541-562. Recuperado de http://revistas.ucm.es/index.php/RCED/article/view/RCED0202220541A) incluye la opción sector autónomo, que representa una tasa muy baja respecto a otras opciones, similar a lo obtenido en nuestro estudio. Encontramos diferencias en los porcentajes de empleo público-privado con Cacho Labrador (1998Cacho Labrador, X. (1998). L’educadora i l’educador social a Catalunya. Barcelona: APESC.), en cuyo estudio es mayor la tasa de empleados públicos. La opción de empleo privado tiene más peso que la de público en De la Fuente (2002De la Fuente, G. (2002). El acceso al empleo y la formación de los profesionales de la educación social. Revista Complutense de Educación, 13(2), 541-562. Recuperado de http://revistas.ucm.es/index.php/RCED/article/view/RCED0202220541A) y ANECA (2005aANECA (2005a). Libro blanco de Grado en Pedagogía y Educación Social (vol. 1). Madrid: ANECA.), con una diferencia entre ambos más acusada que en nuestro estudio; consideramos que puede ser debido a que ambos trabajos están centrados en la inserción laboral de titulados recientes, por lo que la muestra tiene una media de edad y experiencia laboral menor que la nuestra. Fullana et al. hacen una clasificación público-privado por sectores laborales, con dos consideraciones que debemos destacar: los dos ámbitos con mayor potencial de contratación (infancia y atención a personas con discapacidades) tienen tendencia hacia el empleo privado y en el “sector público los sueldos son más altos que en el sector privado” (2007Fullana, J., Pallisera, M., Tesouro, M. y Castro, M. (2007). La inserción laboral de los diplomados en Educación Social: análisis de las características de los procesos de inserción y reconocimiento profesional. Bordón. Revista de Pedagogía, 59(4), 565-580. Recuperado de https://recyt.fecyt.es/index.php/BORDON/article/view/36330: 575). El salario es considerado un factor influyente en el nivel de satisfacción laboral (Calizt et al., 2014Calitz, T., Roux, A. y Strydom, H. (2014). Factors that affect social workers’ job satisfaction, stress and burnout. Social Work/Maatskaplike Werk, 50(2), 153-169. doi: http://doi.org/10.15270/50-2-393; García-Mainar et al., 2016García-Mainar, I., García-Martín, G. y Montuenga, V. (2016). Gender differences in occupations, job attributes and job satisfaction. Revista de Economía Aplicada, XXIV(71), 39-67. Recuperado de https://www.redalyc.org/articulo.oa?id=96949058002; Acker, 2018Acker, G. M. (2018). Self-care practices among social workers: do they predict job satisfaction and turnover intention? Social Work in Mental Health, 16(6), 713-727. doi: http://doi.org/10.1080/15332985.2018.1494082).

La segunda de las características laborales en que hallamos una diferencia significativa es el porcentaje de contratación de las personas participantes. La satisfacción laboral disminuye en las personas con jornadas laborales más reducidas respecto a quienes trabajan más tiempo, coincidiendo con Van Aerden et al. (2016Van Aerden, K., Puig-Barrachina, V., Bosmans, K. y Vanroelen, C. (2016). How does employment quality relate to health and job satisfaction in Europe? A typological approach. Social Science & Medicine, 158, 132-140. doi: http://doi.org/10.1016/j.socscimed.2016.04.017), que recogen menor satisfacción para empleados con jornada parcial no deseada.

En nuestro trabajo prima la contratación a jornada completa, similar a varios estudios anteriores (Cacho Labrador, 1998Cacho Labrador, X. (1998). L’educadora i l’educador social a Catalunya. Barcelona: APESC.; De la Fuente, 2002De la Fuente, G. (2002). El acceso al empleo y la formación de los profesionales de la educación social. Revista Complutense de Educación, 13(2), 541-562. Recuperado de http://revistas.ucm.es/index.php/RCED/article/view/RCED0202220541A; Fullana et al., 2007Fullana, J., Pallisera, M., Tesouro, M. y Castro, M. (2007). La inserción laboral de los diplomados en Educación Social: análisis de las características de los procesos de inserción y reconocimiento profesional. Bordón. Revista de Pedagogía, 59(4), 565-580. Recuperado de https://recyt.fecyt.es/index.php/BORDON/article/view/36330). De la Fuente (2002De la Fuente, G. (2002). El acceso al empleo y la formación de los profesionales de la educación social. Revista Complutense de Educación, 13(2), 541-562. Recuperado de http://revistas.ucm.es/index.php/RCED/article/view/RCED0202220541A: 552) indica que la jornada laboral en su estudio “es más completa cuanto más alejada está de la educación social”, es decir, los titulados que trabajan en educación social tienen mayor índice de parcialidad que quienes han obtenido empleo en otro sector tras graduarse.

Respecto a la edad y años de experiencia laboral, encontramos diferencias en los estudios en los que se aporta este dato. Siendo la más similar al nuestro la de Cacho Labrador (1998Cacho Labrador, X. (1998). L’educadora i l’educador social a Catalunya. Barcelona: APESC.) con 31,87 años de media. No obstante, no hemos hallado diferencias significativas entre el grado de satisfacción y la edad de las personas participantes, coincidente con los resultados del estudio de Gómez et al. (2018Gómez, R., Alonso, M. y Llamazares, M. L. (2018). Evaluation of job satisfaction in a sample of Spanish social workers through the ‘Job Satisfaction Survey’ scale. European Journal of Social Work, 21(1), 140-154. doi: http://doi.org/10.1080/13691457.2016.1255929). Sin embargo, sí hemos encontrado diferencias en el grado de satisfacción en función de los años de experiencia, hecho que sucedía en el estudio de Gómez et al. (2018Gómez, R., Alonso, M. y Llamazares, M. L. (2018). Evaluation of job satisfaction in a sample of Spanish social workers through the ‘Job Satisfaction Survey’ scale. European Journal of Social Work, 21(1), 140-154. doi: http://doi.org/10.1080/13691457.2016.1255929), aplicado a trabajadores del ámbito social con respecto a su antigüedad en la organización.

En relación con el sexo, la tasa de mujeres (81%) es considerablemente más elevada que la de hombres (19%); datos similares encontramos en estudios anteriores (Cacho Labrador, 1998Cacho Labrador, X. (1998). L’educadora i l’educador social a Catalunya. Barcelona: APESC.; De la Fuente, 2002De la Fuente, G. (2002). El acceso al empleo y la formación de los profesionales de la educación social. Revista Complutense de Educación, 13(2), 541-562. Recuperado de http://revistas.ucm.es/index.php/RCED/article/view/RCED0202220541A; Álvarez, 2017Álvarez Fernández, A. M. (2017). El desempeño profesional del educador y la educadora social: funciones, competencias y creencias de autoeficacia (tesis doctoral). Universidad Autónoma de Madrid, Madrid, España. Recuperado de https://repositorio.uam.es/handle/10486/678291), lo que pone de manifiesto la feminización de la profesión. No obstante, no se encuentran diferencias en el grado de satisfacción en función del sexo, coincidiendo con el estudio de Gómez et al. (2018Gómez, R., Alonso, M. y Llamazares, M. L. (2018). Evaluation of job satisfaction in a sample of Spanish social workers through the ‘Job Satisfaction Survey’ scale. European Journal of Social Work, 21(1), 140-154. doi: http://doi.org/10.1080/13691457.2016.1255929). García-Mainar et al. (2016García-Mainar, I., García-Martín, G. y Montuenga, V. (2016). Gender differences in occupations, job attributes and job satisfaction. Revista de Economía Aplicada, XXIV(71), 39-67. Recuperado de https://www.redalyc.org/articulo.oa?id=96949058002) sugieren que ciertas características del empleo influyen de manera diferente en la satisfacción laboral en hombres y mujeres, aunque en nuestro estudio no encontramos tales diferencias.

De la Fuente (2002De la Fuente, G. (2002). El acceso al empleo y la formación de los profesionales de la educación social. Revista Complutense de Educación, 13(2), 541-562. Recuperado de http://revistas.ucm.es/index.php/RCED/article/view/RCED0202220541A: 548) recoge que la variable de sexo afectaría al tipo de empleo que se consigue, teniendo los hombres “un mejor acceso a la profesión que las mujeres” en el caso de la educación social.

De acuerdo con los datos recogidos en el estudio, podemos concluir que:

En conjunto, consideramos haber logrado el objetivo propuesto. No obstante, el estudio presenta ciertas limitaciones, tales como las características de muestreo no probabilístico. Entre los participantes contamos con una muestra que, aun siendo elevada, presenta diferencias entre las distintas comunidades autónomas.

Asimismo, mediante el análisis cuantitativo de los datos, obtenemos una visión inicial descriptiva del problema que puede ser ampliada mediante otros estudios de tipo cualitativo (Creswell, 2015Creswell, J. W. (2015). A concise introduction to mixed methods research. Thousand Oaks, California: SAGE.) que permiten explicar los resultados obtenidos desde perspectivas más personales.

Nuestro trabajo puede servir como base a la realización de nuevos estudios para confirmar los datos obtenidos. En futuras investigaciones pueden analizarse otros factores del empleo para determinar su incidencia en la satisfacción laboral, tales como tipo de contrato (indefinido, eventual…), salario, ambiente de trabajo y relación con compañeros y compañeras, sector concreto en el que desarrolla su actividad o nivel de carga mental.

Contextualizado en la dualidad del mercado laboral, en futuros estudios puede resultar de interés analizar el impacto del voluntariado, a veces desarrollado con una función diferente a la que fue creado (Zurdo, 2004Zurdo, A. (2004). El voluntariado como estrategia de inserción laboral en un marco de crisis del mercado de trabajo: dinámicas de precarización en el tercer sector español. Cuadernos de Relaciones Laborales, 22(2), 1-33. Recuperado de http://revistas.ucm.es/index.php/CRLA/article/view/CRLA0404220010A) y que puede suponer una precarización de la profesión. Se debe separar claramente la línea entre mercado de trabajo y voluntariado, ya que este último puede convertirse en un medio de “adquisición de experiencia laboral rentabilizable” para jóvenes estudiantes y recién graduados (Zurdo, 2004Zurdo, A. (2004). El voluntariado como estrategia de inserción laboral en un marco de crisis del mercado de trabajo: dinámicas de precarización en el tercer sector español. Cuadernos de Relaciones Laborales, 22(2), 1-33. Recuperado de http://revistas.ucm.es/index.php/CRLA/article/view/CRLA0404220010A: 11). Teniendo en cuenta, como hemos apuntado anteriormente, el impacto del salario y otras condiciones laborales en el nivel de satisfacción, el fenómeno del voluntariado puede ser un factor de incidencia en el mismo.

Notas

[1] Por razones de economía de espacio, en este artículo utilizamos el género gramatical masculino, aunque nos referimos a educadores y educadoras sociales, trabajadores y trabajadoras en el ámbito comunitario. Cuando el análisis de los datos hace referencia a un factor relevante se presentará cada uno de los sexos, dado que no se ha solicitado información sobre el género.

Referencias bibliográficas

Acker, G. M. (2018). Self-care practices among social workers: do they predict job satisfaction and turnover intention? Social Work in Mental Health, 16(6), 713-727. doi: http://doi.org/10.1080/15332985.2018.1494082
Álvarez Fernández, A. M. (2017). El desempeño profesional del educador y la educadora social: funciones, competencias y creencias de autoeficacia (tesis doctoral). Universidad Autónoma de Madrid, Madrid, España. Recuperado de https://repositorio.uam.es/handle/10486/678291
ANECA (2005a). Libro blanco de Grado en Pedagogía y Educación Social (vol. 1). Madrid: ANECA.
ANECA (2005b). Libro blanco de Grado en Pedagogía y Educación Social (vol. 2). Madrid: ANECA.
Cacho Labrador, X. (1998). L’educadora i l’educador social a Catalunya. Barcelona: APESC.
Cacho Labrador, X. (1999). Antecedentes, ámbitos y perfiles profesionales del educador social. Pedagogía Social: Revista Interuniversitaria, 4, 139-150. Recuperado de https://dialnet.unirioja.es/descarga/articulo/2714392.pdf
Calitz, T., Roux, A. y Strydom, H. (2014). Factors that affect social workers’ job satisfaction, stress and burnout. Social Work/Maatskaplike Werk, 50(2), 153-169. doi: http://doi.org/10.15270/50-2-393
Cobos Sanchiz, R. (2014). El paraguas de la vocación: apuntes sobre la salud laboral del/a educador/a social. Revista de Educación Social, 24, 143-148. Recuperado de http://www.eduso.net/res/admin/archivo/docdow.php?id=846
Creswell, J. W. (2015). A concise introduction to mixed methods research. Thousand Oaks, California: SAGE.
De la Fuente, G. (2002). El acceso al empleo y la formación de los profesionales de la educación social. Revista Complutense de Educación, 13(2), 541-562. Recuperado de http://revistas.ucm.es/index.php/RCED/article/view/RCED0202220541A
Fullana, J., Pallisera, M., Tesouro, M. y Castro, M. (2007). La inserción laboral de los diplomados en Educación Social: análisis de las características de los procesos de inserción y reconocimiento profesional. Bordón. Revista de Pedagogía, 59(4), 565-580. Recuperado de https://recyt.fecyt.es/index.php/BORDON/article/view/36330
García-Mainar, I., García-Martín, G. y Montuenga, V. (2016). Gender differences in occupations, job attributes and job satisfaction. Revista de Economía Aplicada, XXIV(71), 39-67. Recuperado de https://www.redalyc.org/articulo.oa?id=96949058002
Gómez, R., Alonso, M. y Llamazares, M. L. (2018). Evaluation of job satisfaction in a sample of Spanish social workers through the ‘Job Satisfaction Survey’ scale. European Journal of Social Work, 21(1), 140-154. doi: http://doi.org/10.1080/13691457.2016.1255929
INE (2012). Clasificación Nacional de Ocupaciones 2011 (CNO2011). Notas explicativas. Instituto Nacional de Estadística. Recuperado de https://www.ine.es/dyngs/INEbase/es/operacion.htm?c=Estadistica_C&cid=1254736177033&menu=ultiDatos&idp=1254735976614
López Ramos, V. y Castillo Murillo, E. (2014). Análisis de situación de la formación inicial en educación social. El perfil profesional después de Bolonia: semejanzas y diferencias. Revista de Educación Social, 18, 1-14. Recuperado de http://www.eduso.net/res/pdf/18/e1e7_res_18.pdf
Losada Puente, L., Muñoz Cantero, J. M. y Espiñeira Bellón, E. M. (2015). Perfil, funciones y competencias del educador social a debate: análisis de la trayectoria de la formación de profesionales de la educación social. Educación Social. Revista d'Intervenciò Socioeducativa, 60, 59-76. Recuperado de https://www.raco.cat/index.php/EducacioSocial/article/view/296661/385615
Martínez-Ripoll, J. M. (2017). Voluntariado y empleo precario: dos caras del tercer sector de acción social. Trabajo Social Hoy, 80, 61-72. doi: http://doi.org/10.12960/TSH.2017.0004
Mateo Andrés, J. M. (2009). La investigación ex post-facto. En R. Bisquerra (coord.), Metodología de la investigación educativa (pp. 195-230). Madrid: La Muralla.
Olson, K. (2010). An examination of Questionnaire Evaluation by expert reviewers. Field Methods22(4), 295-318. doi: http://doi.org/10.1177/1525822X10379795
Quintana Cabanas, J. M. (1997). Antecedentes históricos de la educación social. En A. Petrus (coord.), Pedagogía Social (pp. 67-91). Barcelona: Ariel Educación.
RD 1420/1991, de 30 de agosto, por el que se establece el título universitario oficial de diplomado en Educación Social y las directrices generales propias de los planes de estudios conducentes a la obtención de aquel, BOE núm. 243 (1991).
RD 1591/2010, de 26 de noviembre, por el que se aprueba la Clasificación Nacional de Ocupaciones 2011, BOE núm. 306 (2010).
Sáez Carreras, J. (2005). La profesionalización de los educadores sociales: construcción de un modelo teórico para su estudio. Revista de Educación, 336, 129-139. Recuperado de http://www.ince.mec.es/revistaeducacion/re336/re336_08.pdf
Sierra, J. E., Vila, E. S., Caparrós, E. y Martín, V. M. (2017). Rol y funciones de los educadores y las educadoras sociales en los centros educativos andaluces. Análisis y reflexiones. Revista Complutense de Educación, 28(2), 479-495. doi: http://doi.org/10.5209/rev_RCED.2017.v28.n2.49542
Tiana Ferrer, A. (2017). La evolución de la educación social como campo académico y profesional. Revista de Educación Social, 24, 81-108. Recuperado de http://www.eduso.net/res/admin/archivo/docdow.php?id=835
Vallellano, M. D. y Rubio-Valdehita, S. (2018). Carga mental y satisfacción laboral: un estudio comparativo entre trabajadoras sociales, educadoras sociales y profesoras de enseñanza primaria. Ansiedad y Estrés, 24, 119-124. doi: http://doi.org/10.1016/j.anyes.2018.08.003
Vallés Herrero, J. (2009). Manual del educador social. Intervención en servicios sociales. Madrid: Pirámide.
Vallés Herero, J. (2011). Análisis y valoración de las funciones de los educadores sociales en España (tesis doctoral). Universidad Nacional de Educación a Distancia, España. Recuperado de http://e-spacio.uned.es/fez/view.php?pid=tesisuned:Educacion-Jvalles
Vallés, J. y Pérez, R. (2015). Las funciones del educador social: validación del cuestionario CFES-R. Bordón. Revista de Pedagogía, 67(2), 131-153. doi: http://doi.org/10.13042/Bordon.2015.67209
Van Aerden, K., Puig-Barrachina, V., Bosmans, K. y Vanroelen, C. (2016). How does employment quality relate to health and job satisfaction in Europe? A typological approach. Social Science & Medicine, 158, 132-140. doi: http://doi.org/10.1016/j.socscimed.2016.04.017
Van Saane, N., Sluiter, J. K., Verbeek, J. H. y Frings-Dresen, M. H. W. (2003). Reliability and validity of instruments measuring job satisfaction - a systematic review. Occupational Medicine, 53(3), 191-200. doi: http://doi.org/10.1093/occmed/kqg038
Vilà, A. (2012). La nueva generación de leyes autonómicas de servicios sociales (2006-2011): análisis comparativo. Revista Internacional de Trabajo Social y Bienestar, 1, 143-155. Recuperado de https://revistas.um.es/azarbe/article/view/151201
Zurdo, A. (2004). El voluntariado como estrategia de inserción laboral en un marco de crisis del mercado de trabajo: dinámicas de precarización en el tercer sector español. Cuadernos de Relaciones Laborales, 22(2), 1-33. Recuperado de http://revistas.ucm.es/index.php/CRLA/article/view/CRLA0404220010A

Abstract

Social educators’ professional satisfaction: influential factors

INTRODUCTION. The aim of this paper is to analyse the degree of self-perceived job satisfaction social educators have of their work and the factors that influence it. Firstly, it presents an introduction to the process of professional development of social education in Spain, as well as an analysis of the functions and fields of work in which it currently carries out its work. Also, it revises different studies on the concept of job satisfaction and its method of analysis, focusing especially on those related to social education and social services. METHOD. The methodology of the study is quantitative, with a descriptive approach. An ad hoc, online and self-administered questionnaire is used as an instrument. The sample is made up of 504 professionals from the seventeen Autonomous Communities of Spain and the city of Ceuta. The data are analysed with the SPSS software. RESULTS. The results show the general level of self-perceived job satisfaction and relate it to the variables of sex, age, years of experience, employment relationship, percentage of hiring time and work environment. A significant relationship is observed between self-perceived work satisfaction and the variables of years of experience, work relationship and percentage of the working day. A non-significant relationship is observed in the variables of sex, age and work environment. DISCUSSION. Subsequently, a discussion is established comparing the results obtained with those reviewed in previous works and conclusions are drawn. It should be taken into account that there are certain labour factors that influence the job satisfaction of social educators. Finally, the limitations of the work are explained, and proposals are made for future studies.

Keywords: Community education, Occupational satisfaction, Employment, Labour conditions.


Résumé

Satisfaction professionnelle des éducateurs sociaux: facteurs d'influence

INTRODUCTION. L'objectif de cette étude est d'analyser le degré d'auto-perception de la satisfaction professionnelle des éducateurs sociaux par rapport à leur travail et les facteurs qui l'influencent. Une introduction est faite au processus de développement professionnel de l'éducation sociale dans notre pays (Espagne) et à la difficulté de définir les fonctions et les domaines de travail dans lesquels ils exercent leur activité. Par la suite, la réalité du travail qui couvre le profil de l'éducateur social à l'heure actuelle est analysée et différentes études sur le concept de satisfaction au travail et son analyse sont passées en revue, en se concentrant particulièrement sur celles liées à l'éducation sociale et aux services sociaux. MÉTHODE. La méthodologie de l'étude est quantitative, avec une approche descriptive. Pour le réaliser, nous avons utilisé comme instrument un questionnaire en ligne, créé ad hoc, auto-administré et appliqué à un échantillon de 504 professionnels des dix-sept communautés autonomes de l'Espagne et de la ville de Ceuta. Les données sont analysées avec le programme SPSS. RÉSULTATS. Les résultats montrent un haut niveau général de satisfaction professionnelle auto-perçue en la mettant en relation avec différentes variables. Il existe une relation significative entre la satisfaction au travail et les variables des années d'expérience, de la relation de travail et du pourcentage de la journée de travail; et aucune relation significative dans les variables de sexe, âge et environnement de travail. DISCUSSION. Une discussion est établie pour comparer les résultats obtenus avec ceux examinés dans les travaux précédents et des conclusions sont tirées. Il faut tenir compte du fait que certains facteurs liés au travail influencent la satisfaction des éducateurs sociaux. Enfin, les limites du travail sont exposées et des propositions d'études futures sont faites.

Mots-clés: Education sociale, Satisfaction professionnelle, Emploi, Conditions de travail.


Perfil profesional de los autores

Alejandro Martínez-Pérez (autor de contacto)

Profesor asociado en el Área de Didáctica y Organización Escolar, así como en el Departamento de Ciencias de la Educación de la Universidad de Burgos. Licenciado en Pedagogía (UBU), diplomado en Educación Social (UBU) y máster en Educación y Tecnología: Contenidos y Estrategias Digitales (UNED). Doctorando del programa de educación de la UBU, realiza su tesis sobre TIC y educación social. Realiza actividad profesional externa a la universidad como orientador sociolaboral con jóvenes.

ORCID ID: https://orcid.org/0000-0003-2800-505X

Correo electrónico de contacto: alejandromp@ubu.es

Dirección para la correspondencia: Facultad de Educación. Universidad de Burgos. Calle de Villadiego, 1. 09001 Burgos (España). Buzón n.o 9.

Fernando Lezcano-Barbero

Licenciado en Ciencias de la Educación por la UNED y doctor por la Universidad de Burgos. Profesor titular de universidad en el Área de Didáctica y Organización Escolar en la Universidad de Burgos. Miembro del Grupo de Investigación Reconocido: EDINTEC. Cuenta con un sexenio de investigación vivo. Desarrolla la investigación en el ámbito de la educación social y educativa vinculada a colectivos sociales desfavorecidos.

ORCID ID: https://orcid.org/0000-0001-7866-071X

Correo electrónico de contacto: flezcano@ubu.es