Artículos / Articles

DOI: 10.22325/fes/res.2025.266

Más allá del efecto composición: los docentes como moderadores del rendimiento en los centros educativos


Beyond the composition effect: teachers as moderators of achievement in schools


Octavio Díaz-Santana* ORCID

Departamento de Psicología, Sociología y Trabajo Social, Universidad de Las Palmas de Gran Canaria, España.
octavio.diaz@ulpgc.es. Email

María Eugenia Cardenal ORCID

Departamento de Psicología, Sociología y Trabajo Social, Universidad de Las Palmas de Gran Canaria, España.
mariaeugenia.cardenal@ulpgc.es. Email

Sara M. González-Betancor ORCID

Departamento de Métodos Cuantitativos en Economía y Gestión, Universidad de Las Palmas de Gran Canaria, España.
sara.gonzalez@ulpgc.es. Email



*Autor para correspondencia / Corresponding author: Octavio Díaz-Santana, octavio.diaz@ulpgc.es

Revista Española de Sociología (RES), Vol. 34 Núm. 2 (Abril - Junio, 2025), a266. pp. 1-5. ISSN: 1578-2824


Recibido / Received: 29/10/2024
Aceptado / Accepted: 30/03/2025



RESUMEN

Este artículo analiza la relación entre los estilos docentes, el nivel socioeconómico del alumnado y su interacción sobre el rendimiento académico a nivel de centro en el sexto curso de Educación Primaria. Se utiliza información censal de las Islas Canarias en el curso 2018/2019. Se estiman modelos de regresión lineal múltiple con las siguientes variables: estilo directivo, estilo participativo, nivel socioeconómico y su interacción. El rendimiento se mide a partir de pruebas externas de competencias. Se identifica que los estilos docentes y el nivel socioeconómico inciden en el rendimiento y que su interacción es heterogénea. El análisis muestra la importancia de analizar otras dimensiones además del efecto composición, identificando efectos escolares. Demuestra que la tarea docente modera la relación entre origen socioeconómico y logro educativo, aunque no de manera homogénea.

Palabras clave: educación primaria, centros educativos, estilos docentes, nivel socioeconómico, rendimiento académico.


ABSTRACT

The present article analyses a specific aspect of the school effect on performance in the sixth grade. Considering the importance of students' socioeconomic status in explaining academic achievement, we analyze whether the predominant teaching styles in schools can influence this relationship. To achieve this goal, we estimate multiple linear regression models for census data from the Canary Islands for the 2018/2019 school year. The variables of interest are the following: directive style, participative style and socioeconomic status. Achievement is measured by external proficiency tests. Our results indicate that teaching styles and socioeconomic status have an impact on performance, and that the interaction effect is heterogeneous. The analysis goes beyond the composition effect to identify school effects and shows that the teacher’s role moderates the relationship between socioeconomic background and educational achievement, although not homogeneously.

Keywords: primary education, schools, teaching styles, socioeconomic status, academic achievement.




INTRODUCCIÓN


En Sociología de la Educación, la importancia del efecto composición para explicar las diferencias de rendimiento en los centros educativos es una de las cuestiones más consolidadas en la literatura académica (Cabrera Rodríguez y Cabrera Montoya, 2008; Martínez Rizo, 2019; Thrupp et al., 2002; Torrents et al., 2018). Este efecto fue planteado en el informe Coleman, que analizaba las diferencias en cuanto a rendimiento, motivación y expectativas en escuelas de EEUU de estudiantes blancos de diferentes orígenes sociales, de estudiantes negros, así como de alumnos de la comunidad latina y asiática. El informe indica que los efectos del origen familiar eran superiores, a la hora de explicar las diferencias de rendimiento, que los efectos de las escuelas (Coleman et al., 1966). Esta idea ha sido ampliamente contrastada en investigaciones posteriores, consolidando el efecto composición como un elemento clave en la comprensión de las desigualdades educativas.

Si bien el efecto composición ha sido ampliamente estudiado, otras líneas de investigación han explorado la influencia de los efectos escolares, es decir, aquellos factores internos a los centros educativos que pueden influir en el rendimiento del alumnado. Entre ellos, se han identificado factores como la organización curricular, el clima escolar, el número de estudiantes por aula y el papel del profesorado, tanto en su relación con el alumnado como en la aplicación de determinados estilos docentes (Edgerton y McKechnie, 2023; Gil-Izquierdo et al., 2023; Ma y Klinger, 2000; Opdenakker y Van Damme, 2001; Torrents et al., 2018; Vitoria et al., 2024). En particular, los estilos docentes han sido objeto de atención debido a su posible incidencia en el rendimiento académico y su potencial para moderar la relación entre el nivel socioeconómico y los resultados educativos.

Este estudio analiza la relación entre los estilos docentes predominantes en los centros educativos y el rendimiento académico medio del alumnado, tomando como unidad de análisis el centro escolar. Se examina esta relación en cuatro competencias: comunicación lingüística, inglés, matemáticas y ciencia-tecnología, en sexto de Educación Primaria. Además, se investiga la relación entre el nivel socioeconómico medio del alumnado y su rendimiento académico, así como la posible interacción entre los estilos docentes y el nivel socioeconómico en la explicación del rendimiento medio de los centros.

Para alcanzar estos objetivos, se realiza un análisis bivariante a partir de representaciones gráficas y contrastes no paramétricos, seguido de la estimación de modelos de regresión lineal múltiple. La base de datos utilizada es la Evaluación de Diagnóstico 2018/2019 realizada en las Islas Canarias, la última disponible. A partir de esta base de datos se han generado variables agregadas a nivel de centro escolar, analizando un total de 623 centros.

La identificación de los estilos docentes se ha basado en las respuestas del alumnado sobre las prácticas docentes de su profesorado en el aula. Para ello, se han estimado variables latentes a partir del cuestionario de contexto administrado al alumnado en la Evaluación de Diagnóstico, siguiendo la metodología empleada en estudios previos con esta misma base de datos (Cardenal et al., 2023).

El artículo se estructura de la siguiente manera: primero, se presentan los antecedentes teóricos que fundamentan el estudio; luego, se exponen las hipótesis, la fuente de datos y la metodología utilizada. Posteriormente, se detallan los resultados y su discusión, para finalizar con las principales conclusiones del estudio.


Antecedentes


Los centros educativos y el rendimiento académico: los factores escolares como mediadores de los resultados escolares

A la hora de analizar los factores que influyen en los resultados educativos diferenciales de las escuelas, es habitual en la literatura distinguir entre el efecto de los rasgos distintivos del alumnado de los centros (“efecto composición”) y el efecto ejercido por los factores escolares (“efecto escuela”). El concepto efecto composición, desde sus orígenes en el informe Coleman (Coleman et al., 1966), se refiere al impacto de las características diferenciales agregadas del alumnado -que reflejan desigualdades sociales, como el origen étnico/racial, el género o el origen social- en su rendimiento individual. Se trata, por lo tanto, de un constructo distinto de la posición social individual y su influencia en el logro escolar. Como señalan Sciffer et al., (2022), refiriéndose al nivel socioeconómico (SES), el efecto composición implica que existe potencialmente una diferencia de rendimiento entre dos estudiantes con el mismo SES que se produce por asistir a escuelas con perfiles socioeconómicos diferentes. Ello implica que las escuelas son espacios donde las ventajas y desventajas sociales son transmitidas de una generación a la siguiente no sólo por efecto del origen social propio, sino por las consecuencias para el aprendizaje y el rendimiento de una mayor o menor segregación social de los centros educativos (Cabrera y Bianchi, 2023; Sciffer et al., 2020, 2022).

El análisis de los efectos escolares, por su parte, pone el foco en factores que influyen en el rendimiento del estudiante que no son atribuibles a su origen, sino a las escuelas como organizaciones y espacios de aprendizaje y socialización. Como señalan Torrents et al. (2018), el efecto escolar puede definirse como la influencia en el resultado académico que es consecuencia del modelo organizativo y/o pedagógico de los centros. A este respecto, las investigaciones señalan como factores relevantes la organización del currículo, los niveles de exigencia considerados aceptables, los estilos docentes o las expectativas del profesorado (Fernández Enguita, 2016; Govorova et al., 2020; Julià, 2016; Leithwood y Sun, 2018; Opdenakker y Van Damme, 2001; Thrupp et al., 2002; Torrents et al., 2018). La cuestión que se plantea, asumiendo la importancia indiscutible del efecto composición en el logro educativo, es si dichos efectos escolares pueden mediar, atenuándolos.

Nuestra propuesta se centra en el rol del profesor, que, a su vez, es uno de los factores fundamentales de los efectos escolares (Dearth-Wesley et al., 2023; Haller y Portes, 1973), concretamente, en los estilos docentes. De los efectos posibles a analizar, el de los estilos docentes nos parece relevante por varias razones. En primer lugar, porque el análisis de la importancia de dichos estilos permite acercarse a la dimensión micro e interactiva del proceso educativo: lo que ocurre en el aula. A nuestro entender, las escuelas no pueden ser analizadas como meras “cajas negras” que reproducen, mecánicamente, la desigualdad social (Palardy, 2015). Como bien plantea el título del artículo, es necesario, para poder concebir una escuela con impacto en las vidas de los estudiantes, ir más allá del efecto composición. En ese sentido, seguimos la estela del Modelo de Wisconsin, que enfatiza la importancia de las dinámicas interactivas en los centros educativos y la importancia de los “otros significativos” a la hora de compensar las desventajas de un origen bajo en los logros educativos y ocupacionales (Haller y Portes, 1973). Además de por afinidad epistemológica, también cabe referirse a cuestiones prácticas. La disponibilidad de un cuestionario aplicado al censo de estudiantes de sexto de primaria del curso académico 2018/2019 ha permitido construir y validar las variables oportunas y proponer un modelo de análisis.

Los estilos docentes: definición y tipología

El artículo analiza la relación entre los estilos docentes y el rendimiento en los centros, así como su capacidad para mediar el efecto del SES. En la literatura, como señalan Yoshida et al. (2023), los estilos docentes se suelen analizar, bien examinando la filosofía de trabajo del profesor y sus preferencias y sentimientos, bien indagando en su aproximación práctica al hecho de tener que transmitir conocimientos: lo que hace en el aula. En este artículo, la caracterización de estilos docentes se alinea con el segundo enfoque, ya que se toma como fuente el cuestionario de contexto aplicado a la cohorte de alumnos/as de sexto de primaria. Los cuestionarios de contexto carecen de una pregunta única y directa que aborde específicamente los estilos de enseñanza, como la distinción entre enfoques directivos y participativos. La categorización de estilos de enseñanza se enfoca, por tanto, en la perspectiva del estudiante como receptor del trabajo del maestro, a diferencia de otros estudios que analizan el rol docente mediante observaciones o cuestionarios dirigidos a los profesores (Van Den Broeck et al., 2020). Este enfoque, menos habitual, permite aproximarse a la percepción del alumnado de ese “otro significativo” que es su profesor/a, quien, desde la perspectiva adoptada en este artículo, puede influir en el rendimiento del estudiante. Para operativizar los estilos, se ha seguido el modelo de ecuaciones estructurales del estudio de Cardenal et al. (2023) sobre esta misma base de datos, lo que ha permitido obtener índices con alta robustez.

En relación con los estilos docentes analizados desde la praxis del profesor/a, existen diferentes tipologías que coinciden en proponer un continuo desde los métodos centrados en el profesorado a los centrados en el alumnado (Grasha, 1994; Kolb et al., 2014). El estilo focalizado en el profesorado se basa en la transmisión de conocimientos y en hacer que lleguen al alumnado. Para ello, el maestro/a controla y dirige las actividades de aprendizaje. En contraste, el enfoque centrado en el estudiante pone el acento en su autonomía para llevar a cabo el aprendizaje, mientras el maestro es un facilitador (Yoshida et al., 2023).

En este estudio, las respuestas del alumnado sobre la actividad de sus profesores en el aula fueron clasificadas según dicho criterio, tras haber analizado las diferentes categorizaciones propuestas en modelos como el de Grasha (1994), Reeve y Jang (2006) y Mosston y Ashworth (2008). Así, cuando los estudiantes respondían afirmativamente a planteamientos que reflejaban un control y dirección por parte del profesor, se asignaban al estilo directivo. Y cuando respondían afirmativamente a enunciados que reflejaban una práctica de promoción de la autonomía del alumno, se asignaban al estilo participativo. Este procedimiento se basa en la propuesta metodológica de la clasificación de estilos docentes propuesta por Cardenal et al. (2023), que emplea una encuesta no diseñada a tal efecto, garantizando así su consistencia teórica y empírica.

La función moderadora de los estilos docentes en los efectos del SES

El análisis de la relación entre los estilos docentes y el rendimiento educativo no presenta resultados unívocos. El metaanálisis de Li et al. (2024), que combina tesis doctorales, estudios experimentales y análisis estadísticos, nos ofrece una visión global al incluir diferentes materias. Los autores señalan que los estilos centrados en el alumnado mejoran el rendimiento en general y en mayor medida el de las materias de Humanidades y Ciencias Sociales. En matemáticas, la materia más analizada en relación con esta cuestión, los resultados tampoco son homogéneos. En primaria, destaca el estudio experimental de Nițulescu et al. (2022), que señalan un mejor resultado en pruebas de matemáticas cuando el profesorado empleaba una didáctica adaptada el estilo de aprendizaje del estudiante. En secundaria, los estudios identificados emplean pruebas estandarizadas como TIMMS (Trends in International Mathematics and Science Study) realizadas por la Asociación Internacional para la Evaluación del Rendimiento Educativo (IEA). Lumbre et al. (2023) empleando una distinción similar a la propuesta en este estudio, no identificaron un impacto significativo de los estilos docentes en el rendimiento. Sin embargo, Zuzovsky (2013), utilizando una diferenciación similar, encontró efectos divergentes en el rendimiento en matemáticas a partir de la prueba TIMMS. La autora observó que, en países con mejores resultados, los modelos centrados en el alumnado se asociaban positivamente con el rendimiento, mientras que, en países con resultados más bajos, la relación era negativa. De manera inversa, en contextos donde el rendimiento medio era más bajo, los estudiantes mejoraban sus resultados cuando sus docentes empleaban un estilo más directivo. Estos hallazgos llevan a la autora a advertir sobre el riesgo de promover modelos participativos de manera generalizada, ya que su eficacia puede variar según el contexto educativo y las características del alumnado.

En cuanto a la interacción entre los estilos docentes y el SES, los estudios realizados en alumnado de secundaria sugieren que los enfoques más directivos o moderadamente participativos tienden a mejorar el rendimiento de estudiantes de distintos orígenes socioeconómicos. Sin embargo, los estilos altamente participativos no siempre benefician el rendimiento académico de los estudiantes de origen más bajo. Cordero y Gil-Izquierdo (2018) identificaron efectos significativos del estilo docente más centrado en el profesorado sobre el rendimiento en matemáticas, basándose en los datos de TALIS 2013 y el cuestionario PISA de contexto de 2012. Sus resultados indican que las prácticas docentes centradas en el profesorado tienden a beneficiar en mayor medida a los estudiantes de colegios con un SES elevado, mientras que los centros con un SES más bajo pueden verse más perjudicados por enfoques centrados en el alumnado. Asimismo, Caro et al. (2016), en un estudio comparativo internacional, concluyeron que los estudiantes de SES bajo se beneficiaban especialmente de estilos docentes directivos, siendo este efecto más pronunciado en países como Colombia, Brasil o el Reino Unido. Estos hallazgos cuestionan la creencia generalizada de que los estilos participativos favorecen a todos los estudiantes y, en particular, a los menos privilegiados (Cordero y Gil-Izquierdo, 2018). Una hipótesis que podría estar más relacionada con los efectos de otras dimensiones del rol del profesor, como el tipo de relación que establece con el alumnado y sus efectos, sus aspiraciones y en el clima del aula (Van Den Broeck et al., 2020).

Además, el efecto composición podría estar influyendo indirectamente en el efecto escuela. Algunos estudios han indicado, en la línea de lo planteado por Bourdieu y Passeron (1977), que los centros educativos con SES más alto tienden a fomentar estilos de enseñanza más participativos (Gil-Izquierdo et al., 2023).

Conviene destacar que la evidencia sobre la función moderadora de los estilos docentes en el rendimiento es limitada. La mayoría de los estudios se centran en matemáticas y en alumnado de secundaria, lo que deja un vacío en la literatura respecto a otras competencias y niveles educativos. En este sentido, este estudio aporta un enfoque novedoso al analizar el efecto moderador de los estilos docentes en cuatro competencias -comunicación lingüística, inglés, matemáticas y ciencia-tecnología- y en el alumnado de sexto de primaria. Además, se debe subrayar que la literatura no proporciona una definición unívoca de los estilos docentes, lo que dificulta la comparación entre estudios. Muchos trabajos han utilizado cuestionarios diseñados para otros fines, con variables diversas que han sido operacionalizadas ex post facto. El estudio de Gao (2014), que desagrega variables del cuestionario PIRLS, viene a indicar que el alumnado se beneficia en términos de resultados en ciencias y matemáticas de prácticas docentes concretas, más que de estilos, y con importantes diferencias según países. Como bien señala Zuzovsky (2013) parece claro que, por una parte, los estilos docentes no conforman un todo homogéneo, ya que el trabajo en el aula se compone de una mezcla de distintas estrategias y prácticas. Y, por otra parte, que éstas no benefician por igual a todo el alumnado.

Hipótesis

Las hipótesis abordan la relación de los estilos docentes predominantes en los centros educativos y del nivel socioeconómico medio del alumnado con el rendimiento académico medio a nivel de centro escolar. Para ello, se plantean las siguientes preguntas de investigación: ¿Existe relación entre los estilos docentes predominantes en los centros educativos (Directivo y Participativo) y el rendimiento académico medio de su alumnado? ¿Existe relación entre el nivel socioeconómico del alumnado y el rendimiento a nivel de centro? Asimismo, se examina si la interacción entre los estilos docentes y el nivel socioeconómico modula el rendimiento académico medio de los centros. Por tanto, también nos preguntamos: ¿La relación entre el nivel socioeconómico del alumnado y su rendimiento se ve moderada por los estilos docentes que predominan en los centros? Nuestras hipótesis son las siguientes:

  • H1: El uso del estilo docente directivo está relacionado con el rendimiento a nivel de centro.

  • H2: El uso del estilo docente participativo está relacionado con el rendimiento a nivel de centro.

  • H3: El nivel socioeconómico medio del alumnado está relacionado positivamente con el rendimiento a nivel de centro.

  • H4: El estilo docente directivo modera la relación entre el nivel socioeconómico medio del alumnado y el rendimiento a nivel de centro.

  • H5: El estilo docente participativo modera la relación entre el nivel socioeconómico medio del alumnado y el rendimiento a nivel de centro.

En las dos primeras, se hipotetiza exclusivamente la existencia de relación entre ambas variables, debido a la ausencia de resultados unívocos sobre el efecto de los estilos docentes en el rendimiento. En cambio, la tercera hipótesis establece tanto la presencia de relación como su sentido, debido a la existencia de resultados unívocos en la literatura. Las hipótesis H4 y H5 evalúan cómo la interacción entre los estilos docentes y el nivel socioeconómico influyen en el rendimiento académico medio de los centros (Andersen y Andersen, 2017).


Método


Base de datos

La base de datos utilizada es la Evaluación de Diagnóstico realizada en el curso académico 2018/2019 en las Islas Canarias. Se trata de un instrumento implementado por la Agencia Canaria de Calidad Universitaria y Evaluación Educativa (ACCUEE) -organismo autónomo adscrito a la Consejería de Educación del Gobierno de Canarias- entre cuyos objetivos está la evaluación del sistema educativo canario. Esta fuente de información se recopila anualmente y, en el curso académico objeto de estudio, tuvo carácter censal para el estudiantado de sexto de primaria (21.126 estudiantes). Por ello, este estudio se basa en datos censales en lugar de datos muestrales lo que permite una cobertura completa de la población analizada. Por un lado, se compone de cuestionarios de contexto cumplimentados por el alumnado, las familias, el profesorado y la directiva de los centros. Por otro lado, al igual que sucede en evaluaciones internacionales como PISA, PIRLS o TIMSS, se realizan pruebas de competencias que, en el caso del estudiantado de sexto de Primaria, abarcan Comunicación Lingüística, Inglés, Matemáticas y Ciencia-tecnología.

Esta investigación utiliza la información extraída de los cuestionarios realizados al alumnado, los cuales recogen tanto sus características personales como las de sus centros educativos. Además, incorpora datos de los cuestionarios a las familias relacionados con el nivel socioeconómico del alumnado y los resultados de las pruebas de competencias que miden el rendimiento académico.

La Tabla 1 muestra las características principales del censo del alumnado. Se observa que hay un ligero predominio de hombres sobre mujeres. Además, la mayoría del alumnado (92,5%) tiene nacionalidad española, el 76,5% asiste a colegios públicos y más del 80% estudia en Tenerife o Gran Canaria.


Tabla 1 Descriptiva de las características principales del censo de estudiantes participantes en la Evaluación de Diagnóstico

Variable Frecuencia (%)
Género Hombre 11.021 (52,2%)
Mujer 10.105 (47,8%)
Nacionalidad España 19.344 (92,5%)
Otro país de habla castellana 733 (3,5%)
Otro país europeo 501 (2,3%)
Otro país 346 (1,7%)
Tipo de centro Público 16.162 (76,5%)
Concertado 4.309 (20,4%)
Privado 655 (3,1%)
Isla del centro Tenerife 9.041 (42,8%)
Gran Canaria 8.257 (39,1%)
Islas de la provincia de Las Palmas 2.882 (13,6%)
Islas de la provincia de Sta. Cruz de Tenerife 946 (4,5%)


En esta investigación, los estilos docentes se clasifican en un modelo dual: el estilo directivo, caracterizado por un enfoque centrado en el profesorado y el estilo participativo, centrado en el alumnado. Esta clasificación se basa en las percepciones del alumnado de primaria, recogidas a partir de sus respuestas sobre las diferentes prácticas docentes aplicadas en el aula. Estas prácticas fueron sistematizadas según su alineación con el estilo directivo o participativo (Grasha, 1994; Mosston y Ashworth, 2008; Reeve y Jang, 2006). Los indicadores para la identificación de ambos estilos fueron validados mediante un modelo de ecuaciones estructurales basado en estudios previos sobre esta base de datos (Cardenal et al., 2023), el cual demostró una gran robustez (X 2 (225)(p < 0.00) = 9,847.865; RMSE < 0.05 (p = 0.811); CFI = 0.897; R 2 Total = 0.978)..

Con el objetivo de contrastar nuestras hipótesis, a partir de la base de datos original se calcularon nuevas variables con la información a nivel de centro escolar, con un total de 623 centros. En primer lugar, se calculó el rendimiento medio en cada centro de las cuatro competencias evaluadas: Comunicación Lingüística, Inglés, Matemáticas y Ciencia- tecnología.

A continuación, se estimó el nivel medio para los indicadores de los estilos docentes en todos los centros, midiendo la intensidad de uso de cada estilo según la percepción del alumnado. Dado que la media podría no reflejar con total precisión la variabilidad interna de los estilos docentes en los centros, se analizó la dispersión de estos indicadores mediante la desviación típica y el rango intercuartílico intra-centros. En el caso del estilo directivo, el 70% de los centros presentan una desviación típica menor a 0,711 y un rango intercuartílico inferior a 0,988. Mientras que, para el estilo participativo el 70% de los centros tienen una desviación típica menor a 0,773 y un rango intercuartílico inferior a 1,084. Estos valores indican que, aunque existe cierta heterogeneidad en algunos centros, la dispersión es relativamente baja en la mayoría de los casos y moderada en general, lo que justifica el uso de la media como una medida representativa del estilo docente predominante en cada centro.

Finalmente, se calculó el índice socioeconómico (ISEC) medio en cada centro, compuesto por el nivel educativo de las familias, la ocupación de los progenitores y el número de libros en el hogar, como medida resumen del estatus socioeconómico del alumnado. La Tabla 2 muestra los descriptivos de estas variables. En cuanto al rendimiento, las puntuaciones medias son similares en las cuatro competencias, oscilando entre 489.94 en Inglés y 501.56 en Comunicación Lingüística. Sus desviaciones típicas indican una dispersión moderada en todas las competencias, siendo ligeramente mayor en Matemáticas (57.39) y menor en Comunicación Lingüística (54.79). Las variables relativas a los estilos docentes presentan medias cercanas a 0 y una dispersión baja. Finalmente, la desviación típica del ISEC (0.6038) y sus valores extremos (mínimo: -1.8276; máximo: 1.9328) muestran una amplia heterogeneidad en la composición socioeconómica de los centros analizados.


Tabla 2 Descriptivos del rendimiento, estilos docentes e ISEC en los centros

Variable Media Desviación típica Mínimo Máximo
Com. Lingüística 501.56 54.79 216.00 663.40
Inglés 489.94 57.06 305.55 704.08
Matemáticas 499.35 57.39 359.76 764.20
Ciencia-tecnología 500.32 56.27 320.15 739.42
Estilo docente Directivo -0.0055 0.3245 -1.2431 1.5882
Estilo docente Participativo 0.0414 0.3430 -1.0908 1.1682
ISEC -0.1671 0.6038 -1.8276 1.9328


Si bien el presente estudio aprovecha una base de datos robusta para el análisis del rendimiento académico, es importante reconocer algunas limitaciones en relación con la medición de los estilos docentes. Los datos disponibles no fueron diseñados específicamente para evaluar prácticas pedagógicas y esto supone que no pueden reflejar con total precisión la complejidad de la práctica docente en el aula, aunque los estilos docentes se hayan identificado aplicando una metodología propuesta en estudios previos (Cardenal et al., 2023), y pese a que las pruebas indican que permite captar diferencias significativas en los enfoques pedagógicos de los centros.

Además, la medición de los estilos docentes se basa en la percepción del alumnado sobre el tipo de enseñanza predominante en su centro, lo que introduce una dimensión subjetiva en la evaluación de estas prácticas. Para mitigar esta posible limitación, a diferencia del trabajo de Cardenal et al. (2023) se ha optado por un enfoque a nivel de centro y se ha analizado la dispersión de los datos dentro de cada institución, verificando que la variabilidad es baja en la mayoría de los casos. No obstante, es posible que existan diferencias en la implementación de los estilos docentes dentro de un mismo centro, lo que no puede ser capturado con la información disponible.

Estas consideraciones metodológicas no invalidan los hallazgos obtenidos, pero sí sugieren que los resultados deben interpretarse dentro de los límites de los datos utilizados. En particular, aunque los modelos econométricos que se plantean a continuación permiten evaluar la relación entre estilos docentes y rendimiento, futuros estudios podrían beneficiarse de bases de datos que permitan un análisis a nivel de aula o que incorporen observaciones directas sobre las prácticas docentes.


Metodología


La aproximación de las hipótesis se realiza mediante el análisis bivariante del rendimiento con los estilos docentes y con el nivel socioeconómico. Para ello, a efectos de comparación, dividimos a los centros en dos grupos y hacemos una representación gráfica de la función de densidad del rendimiento para las cuatro competencias. En el caso de los estilos docentes, dividimos a los centros según la intensidad de uso del estilo analizado sea superior o inferior a la media. En cuanto al nivel socioeconómico, dividimos a los centros según el ISEC sea superior o inferior a la media. Estos gráficos se complementan con contrastes no paramétricos, debido a que, tras aplicar la prueba de Shapiro-Wilk, se comprueba que las competencias no siguen una distribución normal. En particular, se realizan pruebas U de Mann-Whitney, para identificar si hay diferencias estadísticamente significativas en el rendimiento según el nivel de utilización de los estilos docentes o del nivel socioeconómico.

A continuación, se contrastan las hipótesis en un contexto multivariante, a través de la estimación de cuatro modelos de regresión lineal múltiple, uno para cada competencia. Estos modelos miden la relación con el rendimiento, tanto de los estilos docentes como del ISEC y de la interacción entre ambos, en un contexto de ceteris paribus. Además, incluyen seis variables de control (apoyo del profesorado, isla del centro, tipo de centro, alumnado medio por grupo, proporción de estudiantes por género y proporción de estudiantes por nacionalidad) que la literatura considera relevantes en esta etapa educativa (OECD, 2022), con el fin de evitar caer en el error de omisión de variables relevantes. La especificación de los modelos es la siguiente:


v34n2a9image001.jpg

Donde

Rendimiento ij es una variable cuantitativa continua que recoge el rendimiento medio en el centro i en la competencia j (siendo j = Comunicación Lingüística, Inglés, Matemáticas y Ciencia-tecnología), Directivoi es otra variable cuantitativa continua que recoge el nivel medio de uso del estilo directivo en el centro i, Participativoi es otra variable cuantitativa continua que recoge el nivel medio de uso del estilo participativo en el centro i, ISECies otra variable cuantitativa continua que recoge el nivel medio del ISEC en el centro i, ApoyoProfesorado i es otra variable cuantitativa continua que recoge el nivel medio de apoyo del profesorado en el centro i, Isla i es una variable cualitativa nominal que indica la isla donde se encuentra el centro i (tomando el valor 1 para Gran Canaria, 2 para Tenerife, 3 para las islas de la provincia de Las Palmas y 4 para las de la provincia de Santa Cruz de Tenerife), Titularidad i es otra variable cualitativa nominal que indica la titularidad del centro i (tomando el valor 1 para los centros públicos, 2 para los concertados y 3 para los privados), Tamano i es una variable cuantitativa continua que recoge el número medio de estudiantes por grupo-clase en el centro i, PropHombres i es otra variable cuantitativa continua que recoge la proporción de estudiantes de género masculino en el centro i, ProNac ik son variables cuantitativas continuas que recogen la proporción de estudiantes en el centro i según su nacionalidad k (siendo k = española; otro país de habla castellana; otro país europeo; otro país), D il se refiere a las l variables dicotómicas por cada uno de los centros que pueden ser considerados outliers (toman el valor 1 si el centro l es considerado outlier y 0 si no lo es), y u i es la perturbación aleatoria del centro i, que resume todas las variables no observables que tienen efectos en el rendimiento medio del centro i pero que no están recogidas entre las variables explicativas.

El incumplimiento de las hipótesis básicas de los modelos para cada competencia implicó adaptar la elección de la estimación a la singularidad de cada caso, lo que nos llevó a utilizar diferentes métodos de estimación en función de la competencia analizada. En Comunicación Lingüística e Inglés, se detectó ausencia de normalidad de los residuos, por lo que se analizó la existencia de valores atípicos. Aquellos centros que presentaban residuos anormalmente altos fueron incorporados mediante la inclusión de variables ficticias en estos dos modelos para evitar que su efecto distorsionara los resultados. Tras estas inclusiones se superaron las pruebas de normalidad en ambas competencias. Por tanto, el método de estimación aplicado es el de Mínimos Cuadrados Ordinarios (MCO) incluyendo los valores atípicos en los modelos. En Matemáticas y Ciencia-tecnología se utiliza la estimación robusta de White (1980) debido a que los dos modelos presentan heterocedasticidad y ausencia de normalidad. Los efectos de los cuatro modelos se presentan en el apartado de resultados mediante sus coeficientes estandarizados.

Finalmente, se analizan gráficamente las interacciones estadísticamente significativas entre los estilos docentes y el ISEC. De esta forma es posible observar los efectos concretos de la relación entre ambos elementos sobre el rendimiento.

Todos los análisis estadísticos y econométricos han sido realizados con StataSE 17 (StataCorp, 2021).


Resultados


Análisis bivariante

Para contrastar las hipótesis se analiza la función de densidad del rendimiento en los centros según el uso del estilo docente directivo (Figura 1) y participativo (Figura 2). Cada figura incluye cuatro gráficos, uno por competencia, con dos funciones de densidad: la línea continua representa los centros donde el estilo docente es más frecuente (superior o igual a la media) y la línea discontinua aquellos donde es menos habitual (inferior a la media). Además, cada gráfico incorpora dos líneas verticales, que señalan el rendimiento medio de ambos grupos. De manera análoga, la Figura 3 muestra la relación entre el rendimiento a nivel de centro y el ISEC medio de su alumnado, donde la línea continua corresponde a los centros con ISEC alto (superior o igual a la media) y la discontinua a los de ISEC bajo (inferior a la media).

La Figura 1 evidencia que, en las cuatro competencias, las distribuciones del rendimiento están prácticamente superpuestas, lo que sugiere que la frecuencia de uso del estilo directivo no introduce diferencias significativas en el rendimiento. Las líneas verticales indican que los centros con mayor uso del estilo directivo presentan un rendimiento medio ligeramente inferior a los que lo aplican con menor frecuencia, aunque la diferencia es mínima.


Figura 1 Distribución del rendimiento en los centros según el Estilo Directivo

v34n2a9image002.jpg


Los resultados de la Tabla 3 confirman que el uso del estilo directivo no está asociado a diferencias significativas en el rendimiento de los centros, dado que el valor p del estadístico U de Mann-Whitney supera el umbral del 5% (p<0,05) en todas las competencias.


Tabla 3 Contrastes no paramétricos entre el estilo directivo y el rendimiento

DIRECTIVO Rango promedio U de Mann-Whitney (p)
Mayor o igual que la media Menor que la media
C.Ling 292.53 307.45 42616 (0.291)
Ing 292.57 308.32 42636 (0.266)
Mat 292.81 308.14 42700 (0.279)
CyT 294.91 306.05 43329 (0.431)

Notas: P-valor: *p < 0.1; **p < 0.05; ***p < 0.01

En negrita las variables con diferencias significativas


La Figura 2 muestra la relación entre el uso del estilo participativo y el rendimiento. En todas las competencias, la distribución de los centros donde este estilo es más frecuente (línea continua) se sitúa ligeramente a la derecha en comparación con aquellos donde su presencia es menor (línea discontinua), lo que sugiere un mejor rendimiento. Además, la diferencia entre los valores medios de rendimiento (líneas verticales) es más pronunciada que en el caso del estilo directivo, siendo superior en los centros que emplean con mayor frecuencia el estilo participativo.


Figura 2 Distribución del rendimiento en los centros según el Estilo Participativo

v34n2a9image003.jpg


Según la Tabla 4 el uso del estilo participativo está asociado a diferencias significativas en el rendimiento. En todas las competencias los valores p son inferiores al 5% (p<0,05), excepto en Inglés, donde la diferencia es significativa al 10% (p<0,1). Esto confirma que los centros con un uso más frecuente de este estilo obtienen mejores resultados.


Tabla 4 Contrastes no paramétricos entre el estilo participativo y el rendimiento

PARTICIPATIVO Rango promedio U de Mann-Whitney (p)
Mayor o igual que la media Menor que la media
C.Ling 320.37 281.01 38908 (0.005)***
Ing 312.59 289.19 41443 (0.098)*
Mat 328.70 274.12 36772 (0.000)***
CyT 331.29 271.70 36021 (0.000)***

Notas: P-valor: *p < 0.1; **p < 0.05; ***p < 0.01

En negrita las variables con diferencias significativas


Por su parte, la Figura 3 representa el rendimiento a nivel de centro en función del nivel socioeconómico medio del alumnado. En las cuatro competencias, los centros con un ISEC alto (línea continua) muestran un rendimiento superior respecto a aquellos con un ISEC inferior a la media (línea discontinua).


Figura 3 Distribución del rendimiento en los centros según el ISEC

v34n2a9image004.jpg


Los datos de la Tabla 5 refuerzan lo observado en la Figura 3: el nivel socioeconómico del alumnado está estrechamente vinculado al rendimiento, con diferencias significativas (p<0,01) en todas las competencias analizadas. En particular, los centros con alumnado mayoritariamente de nivel socioeconómico alto presentan un rendimiento significativamente superior en las cuatro competencias en comparación con aquellos con un ISEC más bajo.


Tabla 5 Contrastes no paramétricos entre el ISEC y el rendimiento

ISEC Rango promedio U de Mann-Whitney (p)
Mayor o igual que la media Menor que la media
C.Ling 324.77 272.80 35837 (0.000)***
Ing 374.99 231.80 22547 (0.000)***
Mat 357.04 246.81 27394 (0.000)***
CyT 357.02 245.75 27130 (0.000)***

Notas: P-valor: *p < 0.1; **p < 0.05; ***p < 0.01

En negrita las variables con diferencias significativas


Análisis multivariante

A continuación, se muestran los resultados de las cuatro regresiones estimadas (una para cada competencia: Comunicación Lingüística, Inglés, Matemáticas y Ciencia-tecnología) que muestran la relación de los estilos docentes, del ISEC y de su interacción con el rendimiento en los centros. Los modelos presentan una especificación adecuada, con p-valores del test de significación global F inferiores al 5%, por lo que explican una proporción significativa de la variabilidad en el rendimiento académico. Los coeficientes de determinación oscilaron entre 0.19 y 0.44, reflejando un ajuste moderado.

Las tres primeras filas de la Tabla 6 permiten contrastar las tres primeras hipótesis. En relación con el estilo directivo, solo se encuentra un efecto negativo y estadísticamente significativo en Comunicación Lingüística (H1). Por su parte, el estilo participativo muestra efectos positivos en Inglés y Matemáticas (H2). Además, el ISEC medio del alumnado se asocia positivamente con el rendimiento en todas las competencias (H3). Estos resultados permiten aceptar parcialmente la hipótesis H1, al confirmarse una relación negativa entre el estilo directivo y el rendimiento en Comunicación Lingüística, y la H2, ya que el estilo participativo se asocia positivamente con el rendimiento en Inglés y Matemáticas. En cambio, la H3 se acepta completamente, dado que el nivel socioeconómico medio del alumnado está relacionado positivamente con el rendimiento en las cuatro competencias.

Por otro lado, se analiza la interacción entre los estilos docentes y el nivel socioeconómico de los centros. La interacción entre el estilo directivo y el ISEC tiene un efecto significativo en Matemáticas (0.169**, H4), mientras que la interacción entre el estilo participativo y el ISEC resulta significativa en Inglés (0.085**, H5). Estos resultados permiten aceptar parcialmente ambas hipótesis. En el caso de la H4, el estilo directivo modera la relación entre el nivel socioeconómico medio del alumnado y el rendimiento en Matemáticas. En cuanto a H5, el estilo participativo modera esta relación en inglés.

La interpretación de estas interacciones significativas es mucho más intuitiva a través del análisis gráfico, ya que el efecto final del nivel socioeconómico medio sobre el rendimiento varía en función del uso del estilo docente en cada centro. Para ello, se presentan los efectos marginales de distintos niveles de estilo docente a lo largo de todos los valores del ISEC medio. El eje de ordenadas representa la puntuación en el rendimiento, mientras que el eje de abscisas muestra los valores del ISEC. Dentro de cada gráfico se incluyen dos líneas: una continua, que representa la estimación del rendimiento cuando el uso del estilo docente es alto, y una discontinua, que muestra el rendimiento cuando dicho uso es bajo. Ambas líneas se acompañan de sus respectivos intervalos de confianza al 95%. Estos gráficos permiten observar cómo las diferencias socioeconómicas, combinadas con los estilos docentes predominantes en cada centro, generan efectos diferenciados en el rendimiento académico. En particular, la interacción entre el estilo directivo y el nivel socioeconómico afecta el rendimiento en Matemáticas, mientras que la interacción entre el estilo participativo y el ISEC es relevante en Inglés.

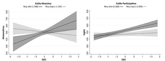
La Figura 4 ilustra estos efectos de interacción. El gráfico de la izquierda muestra cómo el estilo directivo interactúa con el nivel socioeconómico en Matemáticas. En los centros con un ISEC alto (mayor a 0.5), la interacción no es significativa, ya que los intervalos de confianza de las estimaciones se solapan. En cambio, en los centros con ISEC medio-bajo o bajo (menor o igual 0.5), se observa que un menor uso del estilo directivo (línea discontinua) está asociado a un mejor rendimiento en Matemáticas.


Tabla 6 Resultados de las estimaciones del rendimiento a nivel de centro en las cuatro competencias

COEFICIENTES ESTANDARIZADOS COMPETENCIAS
Hipótesis: VARIABLES DE INTERÉS Com. lingüística Inglés Matemáticas Ciencia-tec.
H1: Estilo Directivo -0.087* 0.014 -0.011 -0.015
H2: Estilo Participativo 0.108 0.142** 0.166* 0.089
H3: ISEC 0.246*** 0.352*** 0.280*** 0.327***
H4: Estilo Directivo·ISEC 0.038 -0.014 0.169** -0.055
H5: Estilo Participativo·ISEC -0.001 0.085** -0.103 -0.079
VARIABLES DE CONTROL (Ref. Categoría de referencia)
Apoyo del profesorado 0.058 0.048 0.113 0.168**
Isla del centro (Ref. Gran Canaria)
Tenerife -0.072* 0.022 0.094** 0.100**
Islas Provincia de Las Palmas -0.068 -0.020 0.043 -0.046
Islas Provincia de Sta. Cruz de Tenerife -0.135*** 0.016 0.088 0.093*
Titularidad de centro (Ref. Público)
Concertado -0.030 0.105*** -0.035 0.022
Privado 0.034 0.262*** 0.038 0.061
Alumnado medio por grupo -0.111** 0.022 -0.027 -0.110*
Proporción por género (Ref. Prop. mujeres)
Prop. hombres -0.091** -0.088*** 0.013 0.006
Proporción por país de nacimiento (Ref. Prop. España)
Prop. país de habla castellana -0.077* -0.051 0.054 -0.001
Prop. país europeo -0.001 -0.105 -0.060 -0.044
Prop. otro país 0.027 0.054 0.005 -0.009
VALORES ATÍPICOS
Centro atípico 1 -0.241*** 0.215***
Centro atípico 2 -0.163*** 0.127***
Centro atípico 3 -0.122*** -0.114***
Centro atípico 4 -0.106***
Centro atípico 5 -0.105***
AJUSTE MÉTODO DE ESTIMACIÓN MCO (V. atíp.) MCO (V. atíp.) White White
F (Sig.) 7.58 (0.000) 20.45 (0.000) 6.22 (0.000) 10.62 (0.000)
R2 0.206 0.436 0.187 0.224
R2 Ajustado 0.178 0.414

Notas: P-valor: *p < 0.1; **p < 0.05; ***p < 0.01

Las filas sombreadas se refieren a las variables de control



Figura 4 Efecto de la interacción entre los estilos docentes y el ISEC sobre el rendimiento (IC: 95%)

v34n2a9image005.jpg


Por su parte, el gráfico de la derecha presenta la interacción entre el estilo participativo y el ISEC en Inglés. En los centros con ISEC bajo (menor a 0), la interacción no es significativa. En cambio, cuando el ISEC es alto (mayor o igual a 0), el rendimiento en Inglés aumenta a medida que se incrementa el uso del estilo participativo (línea continua). En contraste, cuando el estilo participativo es muy poco utilizado (línea discontinua), el rendimiento en Inglés se mantiene prácticamente constante, sin importar el nivel socioeconómico del centro.

Además, se incluyeron seis variables de control en todos los modelos (Tabla 6). El apoyo del profesorado muestra una asociación positiva y significativa con el rendimiento en Ciencia-tecnología. En cuanto a la ubicación geográfica del centro, Tenerife obtiene peor rendimiento que Gran Canaria en Comunicación Lingüística y mejor rendimiento en Matemáticas y Ciencia-tecnología. Las islas no capitalinas de la provincia de Santa Cruz de Tenerife (La Palma, La Gomera y El Hierro) tienen peor rendimiento que Gran Canaria en Comunicación Lingüística y mejor rendimiento en Ciencia-tecnología. El tipo de centro es significativo únicamente para la competencia en Inglés: los concertados obtienen mejor rendimiento que los públicos y los privados superan tanto a públicos como a concertados. En cuanto a la composición del alumnado, el número medio de estudiantes por grupo es significativo en Comunicación Lingüística y Ciencia-tecnología: a menor número de estudiantes por grupo, mejor rendimiento. La proporción de estudiantes por género muestra que los centros con mayor proporción de chicos tienen peores resultados en Comunicación Lingüística e Inglés. Finalmente, la proporción de estudiantes por nacionalidad es significativa y negativa únicamente en Comunicación Lingüística, donde el alumnado nacido en países de habla castellana obtiene un rendimiento inferior al del alumnado nacido en España.


Discusión


Los resultados de este estudio indican que las diferencias entre los centros de Educación Primaria influyen en el rendimiento. Esto se refiere tanto a los estilos docentes -efectos escolares- (Opdenakker y Van Damme, 2006), como al estatus socioeconómico del alumnado -efecto composición (Ma y Klinger, 2000).

En relación con los estilos docentes (Tabla 6), los resultados indican que el uso del estilo directivo (H1) se asocia negativamente con el rendimiento en Comunicación Lingüística. El estilo participativo (H2), en cambio, muestra una asociación positiva con el rendimiento en Inglés y Matemáticas. En líneas generales, teniendo en cuenta la ausencia de consenso en la literatura en cuanto a los efectos de los estilos docentes sobre el rendimiento, estos resultados son consistentes con estudios previos que señalan efectos positivos de las prácticas docentes centradas en el alumnado (Kim y Son, 2023; Papanastasiou, 2008) mientras que difieren de aquellos que reportan beneficios asociados a estilos centrados en el profesorado (Cordero y Gil-Izquierdo, 2018; Zuzovsky, 2013). Por otro lado, es relevante señalar los efectos neutros (Lumbre et al., 2023) que produce el estilo directivo en Inglés, Matemáticas y Ciencia-tecnología, al igual que ocurre con el estilo participativo en Comunicación Lingüística y Ciencia-tecnología. Estos resultados pueden sugerir que la relación entre ambos estilos docentes con esas competencias se diluye en los modelos estimados debido a la mayor fuerza de las variables referidas al efecto composición (ISEC, género o nacionalidad).

En nuestro análisis, la relación entre estilos docentes y rendimiento varía según la competencia analizada. Una posible explicación radica en la naturaleza específica de cada competencia y en cómo los diferentes enfoques pedagógicos pueden favorecer ciertos tipos de aprendizaje. En este sentido, el metaanálisis de Li et al. (2024) ha analizado estudios sobre el impacto de los estilos docentes centrados en el alumnado en diferentes asignaturas y niveles educativos, encontrando un efecto positivo en el rendimiento académico en general, con una mayor incidencia en disciplinas donde la participación activa del alumnado resulta clave. Nuestros hallazgos coinciden parcialmente con esta evidencia, al mostrar que el estilo participativo se asocia con mejores resultados en Matemáticas e Inglés. Esto sugiere que, al igual que en otros estudios, la promoción de metodologías que fomentan la implicación del alumnado y la interacción en el aula pueden tener efectos positivos en el aprendizaje. En contraste, el estilo directivo se asocia negativamente con el rendimiento en Comunicación Lingüística, lo que podría indicar que enfoques más estructurados y centrados en la transmisión de conocimientos no favorecen el desarrollo de competencias lingüísticas. Así, nuestros resultados refuerzan la idea de que los efectos de los estilos docentes no son homogéneos, sino que dependen del tipo de aprendizaje que se pretende fomentar en cada área de conocimiento.

En cuanto al nivel socioeconómico del alumnado (Tabla 6), nuestros resultados se suman a las evidencias que lo destacan como factor determinante en los resultados académicos (H3) (Liu et al., 2022), mostrando una relación positiva entre el ISEC medio del alumnado y el rendimiento en todas las competencias analizadas (Konstantopoulos, 2006; Woitschach et al., 2017).

Una de las principales aportaciones de este estudio radica en el análisis de la interacción entre los estilos docentes y el nivel socioeconómico en la explicación del rendimiento académico. Nuestros resultados indican que la influencia del nivel socioeconómico sobre el rendimiento varía en función del estilo docente predominante en cada centro. En Matemáticas, el estilo directivo modera esta relación (H4), mientras que en Inglés se observa una interacción significativa con el estilo participativo (H5). Estos resultados coinciden con estudios previos que muestran cómo los estilos docentes pueden modular la relación entre el nivel socioeconómico y el rendimiento académico (Le Donné et al., 2016; Machin y McNally, 2008).

Respecto a la forma en que se materializan estas interacciones (Figura 4), cabe destacar que el uso de variables continuas permite examinar detalladamente cómo la combinación entre los estilos docentes y el nivel socioeconómico medio del alumnado influye en el rendimiento a nivel de centro. Este enfoque facilita la identificación del tipo de práctica docente y su nivel de aplicación óptimo en función del contexto socioeconómico del alumnado.

El análisis detallado de estas relaciones revela que, en los centros con alumnado de nivel socioeconómico bajo, el estilo directivo tiene un impacto significativo en Matemáticas, donde su menor uso se asocia con mejores resultados (Andersen y Andersen, 2017; Gil-Izquierdo et al., 2023) . Por otro lado, el estilo participativo se relaciona con un mayor rendimiento en los centros con nivel socioeconómico medio o alto (Gao, 2014), observándose un efecto positivo más pronunciado cuando su aplicación es más frecuente.

Estos hallazgos subrayan la importancia de considerar el contexto socioeconómico en el diseño de estrategias pedagógicas. La implementación de estilos docentes no debería ser uniforme, sino adaptada a las necesidades del alumnado y a las características de cada centro. En particular, un uso moderado del estilo directivo puede ser beneficioso en centros con menor nivel socioeconómico, mientras que el participativo parece más efectivo en contextos más favorecidos.

Nuestros resultados refuerzan la relevancia del efecto composición y de los efectos escolares en el rendimiento académico, destacando el papel del profesorado como factor mediador. No obstante, los coeficientes estandarizados más altos y significativos corresponden al nivel socioeconómico, lo que confirma el mayor peso de la composición social de los centros sobre el rendimiento. Aun así, los estilos docentes resultan significativos en tres de las cuatro competencias analizadas, aunque con menor magnitud y significatividad (Tabla 6).

Si bien este estudio se centra en la relación entre estilos docentes y rendimiento académico, es fundamental reconocer que el impacto de los enfoques pedagógicos trasciende las competencias evaluadas en este estudio. Investigaciones previas han evidenciado que determinadas metodologías pueden influir en dimensiones clave del aprendizaje, como la colaboración, la motivación, la relación con el profesorado o el desarrollo del pensamiento crítico (Cardenal et al., 2023; Monacis et al., 2023; Zhang, 2023). Esto sugiere que, aunque el rendimiento académico es un indicador fundamental, no es el único factor relevante en el proceso educativo. De hecho, el expediente académico no siempre es un predictor fiable del éxito en etapas educativas posteriores ni en la trayectoria laboral del alumnado (Muntaner Guasp et al., 2020). Por ello, futuras investigaciones deberían ampliar el análisis para incluir una visión más integral de los efectos de los estilos docentes en el desarrollo del estudiantado.

Además, aunque en este estudio se han tratado los estilos docentes y el nivel socioeconómico como variables independientes en la explicación del rendimiento, algunos enfoques sugieren que la composición social del alumnado y su rendimiento puede influir en la adopción de determinadas estrategias pedagógicas en los centros educativos. Investigaciones previas han identificado que los centros con una composición socioeconómica alta tienden a adoptar estilos docentes centrados en el alumnado, mientras que aquellos con una composición baja recurren con mayor frecuencia a estilos directivos (Gil-Izquierdo et al., 2023). En este sentido, el modelo econométrico desarrollado en este estudio permite evaluar empíricamente cómo la interacción entre los estilos docentes y el nivel socioeconómico del alumnado influye en el rendimiento de los centros, poniendo en evidencia la importancia del contexto socioeconómico en la efectividad de las prácticas pedagógicas. Esta relación es especialmente relevante en contextos educativos con alta segregación escolar, donde la composición del alumnado no solo condiciona los resultados académicos, sino también las estrategias pedagógicas adoptadas por los centros (Bianchi y Cabrera, 2023). Estos hallazgos refuerzan la idea de que los estilos docentes están influenciados por la estructura social del entorno educativo. Sin embargo, futuras investigaciones podrían profundizar en este vínculo a partir de estudios a nivel de aula o mediante análisis cualitativos que exploren cómo se configuran las prácticas docentes en función del contexto escolar.




CONCLUSIONES


El rendimiento educativo a nivel de centro se explica a partir de las características sociales del alumnado (efecto composición) y de las características de los centros (efectos escolares). Este artículo analiza estas cuestiones con el objetivo de explorar la incidencia de los estilos docentes y del nivel socioeconómico sobre el rendimiento académico.

En cuanto a los estilos docentes, los resultados indican que, en los centros donde el estilo participativo es más frecuente, el rendimiento es mayor en Inglés y Matemáticas. Además, en Inglés, este efecto positivo es aún más pronunciado en los centros donde el alumnado tiene un nivel socioeconómico alto. Sin embargo, en Matemáticas, el efecto positivo del estilo participativo se mantiene independiente del nivel socioeconómico del alumnado.

Por otro lado, en los centros con alumnado de nivel socioeconómico bajo, el uso del estilo directivo a baja intensidad se asocia con un mejor rendimiento en Matemáticas. En cambio, en Comunicación Lingüística, el estilo directivo muestra una relación negativa con el rendimiento, sin que el nivel socioeconómico del alumnado del centro modifique este efecto: a mayor presencia de este estilo, menores son los resultados en esta competencia.

Esta investigación constituye, hasta donde sabemos, el primer análisis que estudia los efectos de la interacción entre los estilos docentes desde la perspectiva del alumnado y su nivel socioeconómico sobre el rendimiento a nivel de centro para el nivel educativo de Educación Primaria. Viene a reforzar la importancia de identificar los elementos mediadores en el rendimiento escolar y las figuras relevantes -“otros significativos” - en esa mediación. Desde el punto de vista de la política educativa, los resultados apuntan a que la praxis docente importa y a que el profesorado, por lo tanto, no es sólo una pieza más en el mecanismo de la reproducción (Rumberger y Palardy, 2005; Van Den Broeck et al., 2020).

Futuras investigaciones podrían profundizar en cómo otros factores, como la formación docente o el clima escolar, interactúan con los estilos de enseñanza y el nivel socioeconómico en la configuración del rendimiento. Además, estudios con enfoques cualitativos permitirían comprender con mayor detalle la dinámica en el aula y la percepción del profesorado sobre su práctica pedagógica.

Una de las principales limitaciones de este estudio es la falta de una base de datos diseñada específicamente para examinar los efectos de los estilos docentes en el contexto del centro educativo. A pesar de esto, las transformaciones realizadas a partir de la base de datos original han permitido estimar los modelos econométricos necesarios para medir sus efectos sobre el rendimiento educativo. En conjunto, los resultados refuerzan la necesidad de integrar el análisis de los estilos docentes con el contexto socioeconómico, proporcionando una base empírica para diseñar estrategias que favorezcan el rendimiento académico en distintos entornos escolares.


Agradecimientos

Las autorías agradecemos a la Agencia Canaria de Calidad Universitaria y Evaluación Educativa (ACCUEE) la cesión de los datos utilizados.




NOTAS


[9] Díaz-Santana, O., Cardenal, M. E., y González-Betancor, S. M. (2025). Más allá del efecto composición: los docentes como moderadores del rendimiento en los centros educativos. Revista Española de Sociología, 34(2), a266. https://doi.org/10.22325/fes/res.2025.266

[10] Declaramos que no se ha utilizado ninguna herramienta de IA para la elaboración de este manuscrito.

[11] Financial disclosure Este trabajo ha sido parcialmente financiado por el Ministerio de Ciencia e Innovación (Proyecto de investigación PID2020-119471RB-I00).


REFERENCIAS


Andersen, I. G., y Andersen, S. C. (2017). Student-centered instruction and academic achievement: linking mechanisms of educational inequality to schools’ instructional strategy. British Journal of Sociology of Education, 38(4), 533-550. https://doi.org/10.1080/01425692.2015.1093409

Bianchi, D., y Cabrera, L. (2023). Retos y Posibilidades de los Centros de Primaria ante los Efectos de la Segregación Escolar Temprana. International Journal of Sociology of Education, 12(1), 49-84. https://doi.org/10.17583/rise.11387

Bourdieu, P., y Passeron, J.-C. (1977). La reproducción: elementos para una teoría del sistema de enseñanza. Editorial Popular.

Cabrera, L., y Bianchi, D. (2023). La segregación escolar y su impacto en el rendimiento académico del alumnado de educación primaria en España. HSE Social and Education History, 12(1), 1-35. https://doi.org/10.17583/hse.11374

Cabrera Rodríguez, L. J., y Cabrera Montoya, B. (2008). Heterogeneidad de centros y desigualdad de rendimientos educativos. Tempora, 11, 61-99.

Cardenal, M. E., Díaz-Santana, O., y González-Betancor, S. M. (2023). Teacher-student relationship and teaching styles in primary education: A model of analysis. Journal of Professional Capital and Community, 8(3), 165-183. https://doi.org/10.1108/JPCC-09-2022-0053

Caro, D. H., Lenkeit, J., y Kyriakides, L. (2016). Teaching strategies and differential effectiveness across learning contexts: Evidence from PISA 2012. Studies in Educational Evaluation, 49, 30-41. https://doi.org/10.1016/j.stueduc.2016.03.005

Coleman, J. S., Campbell, E., Hobson, C. J., Mc Partland, J., Mood, A. M., Weinfeld, F. D., y York, R. L. (1966). Equality of educational opportunity. Washington: U. S. Government Printing Office.

Cordero, J. M., y Gil-Izquierdo, M. (2018). The effect of teaching strategies on student achievement: An analysis using TALIS-PISA-link. Journal of Policy Modeling, 40(6), 1313-1331. https://doi.org/10.1016/j.jpolmod.2018.04.003

Dearth-Wesley, T., Herman, A. N., y Whitaker, R. C. (2023). Teacher connection and student perspective-taking and their association with school belonging among adolescents in 62 countries. International Journal of Adolescence and Youth, 1(28), 445-458. https://doi.org/10.1080/02673843.2023.2254136

Edgerton, E., y McKechnie, J. (2023). The relationship between student’s perceptions of their school environment and academic achievement. Frontiers in Psychology, 13. https://doi.org/10.3389/fpsyg.2022.959259

Fernández Enguita, M. (2016). El Informe Coleman: Una lección de sociología y de política. Revista de la Asociación de Sociología de la Educación, 9(1), 37-45.

Gao, S. (2014). Relationship between Science Teaching Practices and Students’ Achievement in Singapore, Chinese Taipei, and the US: An Analysis Using TIMSS 2011 Data. Frontiers of Education in China, 9(4), 519-551. https://doi.org/10.3868/s110-003-014-0043-x

Gil-Izquierdo, M., Cordero, J. M., y Cristóbal, V. (2023). Teaching strategy specialization and student achievement. Education Economics, 31(6), 755-773. https://doi.org/10.1080/09645292.2023.2169252

Govorova, E., Benítez, I., y Muñiz, J. (2020). How Schools Affect Student Well-Being: A Cross-Cultural Approach in 35 OECD Countries. Frontiers in Psychology , 11. https://doi.org/10.3389/fpsyg.2020.00431

Grasha, A. F. (1994). A Matter of Style: The Teacher as Expert, Formal Authority, Personal Model, Facilitator, and Delegator. En College Teaching (Vol. 42, pp. 142-149). Informa UK Limited. https://doi.org/10.1080/87567555.1994.9926845

Haller, A. O., y Portes, A. (1973). Status Attainment Processes. Sociology of Education, 46(1), 51-91.

Julià, A. (2016). Contexto escolar y desigualdad de género en el rendimiento de comprensión lectora. Revista Española de Investigaciones Sociológicas, 156, 41-57. https://doi.org/10.5477/CIS/REIS.156.41

Kim, N., y Son, Y. (2023). Multilevel latent profile analysis of Korean middle school student perceptions of teaching methods. Asia Pacific Education Review, 24(1), 41-55. https://doi.org/10.1007/s12564-021-09721-w

Kolb, A. Y., Kolb, D. A., Passarelli, A., y Sharma, G. (2014). On Becoming an Experiential Educator: The Educator Role Profile. Simulation & Gaming, 45(2), 204-234. https://doi.org/10.1177/1046878114534383

Konstantopoulos, S. (2006). Trends of school effects on student achievement: Evidence from NLS:72, HSB:82, and NELS:92. Teachers College Record, 108(12), 2550-2581. https://doi.org/10.1111/j.1467-9620.2006.00796.x

Le Donné, N., Fraser, P., y Bousquet, G. (2016). Teaching Strategies for Instructional Quality: Insights From the TALIS-PISA link data. En OECD Education Working Papers (148; OECD Publishing).

Leithwood, K., y Sun, J. (2018). Academic culture: a promising mediator of school leaders’ influence on student learning. Journal of Educational Administration, 56(3), 350-363. https://doi.org/10.1108/JEA-01-2017-0009

Li, Y. D., Ding, G. H., y Zhang, C. Y. (2024). Effects of learner-centred education on academic achievement: a meta-analysis. Educational Studies, 50(3), 285-298. https://doi.org/10.1080/03055698.2021.1940874

Liu, J., Peng, P., Zhao, B., y Luo, L. (2022). Socioeconomic Status and Academic Achievement in Primary and Secondary Education: a Meta-analytic Review. Educational Psychology Review, 34(4), 2867-2896. https://doi.org/10.1007/s10648-022-09689-y

Lumbre, A. P., Beltran-Joaquin, Ma. N., y Monterola, S. L. C. (2023). Relationship between Mathematics Teachers’ Teaching Styles and Students’ Achievement in Mathematics. Athens Journal of Sciences, 10(1), 9-30. https://doi.org/10.30958/ajs.10-1-1

Ma, X., y Klinger, D. A. (2000). Hierarchical Linear Modelling of Student and School Effects on Academic Achievement. Canadian Journal of Education/Revue canadienne de l’education, 25(1), 41-55.

Machin, S., y McNally, S. (2008). The literacy hour. Journal of Public Economics, 92(5-6), 1441-1462. https://doi.org/10.1016/j.jpubeco.2007.11.008

Martínez Rizo, F. (2019). La escuela, ¿gran igualadora o mecanismo de reproducción? La desigualdad social y educativa más de 50 años después de Coleman. Revista Latinoamericana de Estudios Educativos, 49(2), 253-284. https://doi.org/10.48102/rlee.2019.49.2.24

Monacis, D., Annoscia, S., Limone, P., y Colella, D. (2023). Examining the Effects of Reproductive and Productive Teaching Styles Interventions on Primary Schoolchildren. What Implications for Physical Education Teachers? Physical Education Theory and Methodology, 23(6), 839-849. https://doi.org/10.17309/tmfv.2023.6.05

Mosston, M., y Ashworth, S. (2008). Teaching physical education. Spectrum Institute for Teaching and Learning.

Muntaner Guasp, J. J., Pinya Medina, C., y Mut Amengual, B. (2020). El impacto de las metodologías activas en los resultados académicos: Un estudio de casos. Profesorado, Revista de Currículum y Formación del Profesorado, 24(1), 96-114. https://doi.org/10.30827/profesorado.v24i1.8846

Nițulescu, L., Minda, A., y Munteanu, G. (2022). Activating Didactic Methods Used In The Teaching-Learning Of Mathematics In Primary Education. European Proceedings of Educational Sciences, 6, 619-625. https://doi.org/10.15405/epes.23056.57

OECD. (2022). PISA for Schools. Technical Report. OECD Publishing, Paris.

Opdenakker, M.-C., y Van Damme, J. (2001). Relationship between school composition and characteristics of school process and their effect on mathematics achievement. British Educational Research Journal, 27(4), 407-432. https://doi.org/10.1080/01411920120071434

Opdenakker, M.-C., y Van Damme, J. (2006). Teacher characteristics and teaching styles as effectiveness enhancing factors of classroom practice. Teaching and Teacher Education, 22(1), 1-21. https://doi.org/10.1016/j.tate.2005.07.008

Palardy, G. J. (2015). High school socioeconomic composition and college choice: multilevel mediation via organizational habitus, school practices, peer and staff attitudes. School Effectiveness and School Improvement, 26(3), 329-353. https://doi.org/10.1080/09243453.2014.965182

Papanastasiou, C. (2008). A residual analysis of effective schools and effective teaching in mathematics. Studies in Educational Evaluation, 34(1), 24-30. https://doi.org/10.1016/j.stueduc.2008.01.005

Reeve, J., y Jang, H. (2006). What teachers say and do to support students’ autonomy during a learning activity. Journal of Educational Psychology, 98(1), 209-218. https://doi.org/10.1037/0022-0663.98.1.209

Rumberger, R. W., y Palardy, G. J. (2005). Does Segregation Still Matter? The Impact of Student Composition on Academic Achievement in High School. Teachers College Record: The Voice of Scholarship in Education, 107(9), 1999-2045. https://doi.org/10.1177/016146810510700905

Sciffer, M. G., Perry, L. B., y Mcconney, A. (2020). Critiques of socio-economic school compositional effects: are they valid? British Journal of Sociology of Education , 41(4), 462-475. https://doi.org/10.1080/01425692.2020.1736000

Sciffer, M. G., Perry, L. B., y McConney, A. (2022). Does school socioeconomic composition matter more in some countries than others, and if so, why? Comparative Education, 58(1), 37-51. https://doi.org/10.1080/03050068.2021.2013045

StataCorp. (2021). Stata: Base Reference Manual (Release 17). Stata Press, College Station, TX.

Thrupp, M., Lauder, H., y Robinson, T. (2002). School composition and peer effects. International Journal of Educational Research, 37(5), 483-504. https://doi.org/10.1016/S0883-0355(03)00016-8

Torrents, D., Merino, R., García, M., y Valls, O. (2018). El peso del origen social y del centro escolar en la desigualdad de resultados al final de la escuela obligatoria. Papers. Revista de Sociología, 103(1), 29-50. https://doi.org/10.5565/rev/papers.2300

Van Den Broeck, L., Demanet, J., y Van Houtte, M. (2020). The forgotten role of teachers in students’ educational aspirations. School composition effects and the buffering capacity of teachers’ expectations culture. Teaching and Teacher Education , 90(103015), 1-11. https://doi.org/10.1016/j.tate.2020.103015

Vitoria, L., Ramli, M., Johar, R., y Mawarpury, M. (2024). Key Influences on Students’ Academic Success: Insights from Scholarly Research. Journal of Educational Management and Learning, 2(1), 9-19. https://doi.org/10.60084/jeml.v2i1.164

White, H. (1980). A Heteroskedasticity-Consistent Covariance Matrix Estimator and a Direct Test for Heteroskedasticity. Econometrica: journal of the Econometric Society, 817-838.

Woitschach, P., Fernández-Alonso, R., Martínez-Arias, R., y Muñiz, J. (2017). Influencia de los Centros Escolares sobre el Rendimiento Académico en Latinoamérica. Revista de Psicología y Educación - Journal of Psychology and Education, 12(2), 138-154. https://doi.org/10.23923/rpye2017.12.152

Yoshida, F., Conti, G. J., Yamauchi, T., y Kawanishi, M. (2023). A Teaching Styles Typology of Practicing Teachers. Journal of Education and Learning, 13(1), 1-17. https://doi.org/10.5539/jel.v13n1p1

Zhang, X. (2023). The Influence of Teaching Style on Students’ Learning. International Conference on Global Politics and Socio-Humanities, 22(1), 258-264. https://doi.org/10.54254/2753-7048/22/20230320

Zuzovsky, R. (2013). What works where? The relationship between instructional variables and schools’ mean scores in mathematics and science in low-, medium-, and high-achieving countries. Large-Scale Assessments in Education, 1(1), 1-19. https://doi.org/10.1186/2196-0739-1-2