Artículos / Articles

DOI: 10.22325/fes/res.2025.250

Amor y política: polarización afectiva y relaciones de pareja en España


Love and politics: affective polarization and partner choice in Spain


José Miguel Rojo-Martínez ORCID

Universidad de Murcia, España. josemiguel.rojo@um.es. Email

Revista Española de Sociología (RES), Vol. 34 Núm. 1 (Enero - Marzo, 2025), a250. pp. 1-29. ISSN: 1578-2824


Recibido / Received: 18/05/2024
Aceptado / Accepted: 21/11/2024



RESUMEN

Este artículo aporta evidencia empírica sobre la existencia de procesos de distanciamiento social por razones políticas en España y cuáles son los factores que permiten explicarlos. Para abordar esta cuestión, se presentan datos de la II Encuesta Nacional de Polarización Política en España, realizada por el CEMOP, y se desarrollan diferentes modelos de regresión lineal múltiple para estimar los niveles de desagrado/aceptación hacia las relaciones de pareja con los votantes de los cuatro principales partidos del país. Los resultados indican que la polarización afectiva es el factor explicativo primordial de los procesos de distanciamiento social basados en identidades partidistas, mientras que el sesgo de favoritismo endogrupal es el motor fundamental de la homofilia. La polarización afectiva no solo tiene consecuencias sobre la democracia o las instituciones, también promueve la segregación social y hace que los individuos otorguen mayor importancia a ciertas identidades políticas en situaciones no políticas.

Palabras clave: polarización afectiva, identidades sociales, sesgos grupales, homofilia, relaciones de pareja.


ABSTRACT

This article presents empirical evidence on the existence of social distancing processes driven by political reasons in Spain, along with the factors that underlie them. To explore this phenomenon, we analyze data from the II National Survey on Political Polarization in Spain, conducted by CEMOP, and employ multiple linear regression models to estimate levels of like/dislike regarding partner relationships with voters of the four main political parties in the country. The findings reveal that affective polarization is the primary driver of social distancing processes rooted in partisan identities, while ingroup favoritism bias emerges as the key determinant of homophily. Affective polarization extends its impact beyond democracy and institutions, fostering social segregation and amplifying the significance of political identities in non-political settings.

Keywords: Affective polarization, social identities, group biases, homophily, partner relationships.




INTRODUCCIÓN


La polarización política se ha convertido en uno de los grandes fenómenos sociales de nuestro tiempo (Romero-Martín et al., 2024). Entre las distintas formas de polarización política existentes, la polarización afectiva (en adelante PA) se distingue por generar procesos de animadversión y hostilidad entre los ciudadanos basados en sus identidades partidistas (Iyengar et al., 2019). Se trata de una forma de antagonismo entre personas cuyas características y sentimientos de pertenencia son diferentes, lo que genera distanciamiento (Buitrago y Caraballo, 2022). Existe un amplio debate académico sobre cuáles son las causas de la PA. Algunos autores enfatizan la responsabilidad de las élites -por sus decisiones estratégicas, posicionamientos y retórica- o señalan ciertos factores sistémico-institucionales que favorecen la expansión de la hostilidad. Otros apuntan a los medios de comunicación o a las redes sociales como posibles orígenes o, más comúnmente, como elementos amplificadores del conflicto y, al mismo tiempo, se presentan dos grandes paradigmas explicativos: el enfoque basado en la Teoría de la Identidad Social (TIS) y el enfoque basado en la divergencia ideológica (Lelkes, 2021).

Sin embargo, se ha prestado menos atención a las consecuencias de la PA. Dentro del campo de las consecuencias, es posible diferenciar entre las que afectan al funcionamiento de las instituciones (Hetherington y Rudolph, 2015) y las que se producen en el marco de las relaciones sociales cotidianas, es decir, las que dañan la convivencia y fomentan la intolerancia (Crespo et al., 2021). La creciente distancia emocional entre los partidarios de unos grupos políticos respecto a sus grupos rivales fomenta la discriminación hacia los miembros del exogrupo, promueve relaciones de homofilia y aísla a las personas en una suerte de “cámara de eco” offline (Iyengar et al., 2018). Una forma de distanciamiento social por razones políticas especialmente reseñable es la que se produce en los procesos de elección de pareja. En 2022, en Estados Unidos, se creó la app de citas “The Right Stuff”, pensada para aquellos que solo querían tener una cita con personas de su misma ideología (en este caso conservadora). Es precisamente en este país donde se comienzan a estudiar con mayor interés las actitudes de rechazo afectivo ante escenarios de matrimonio interpartidista. Todo ello tras observar que la identidad partidista estaba influyendo cada vez más en los procesos de selección de pareja (Huber y Malhotra, 2017). Según lo expuesto por Iyengar et al. (2012, pp. 13-14), ya en 2010, el 49% de los republicanos y el 33% de los demócratas se sentían infelices ante un posible matrimonio con un o una votante del otro partido. En 1960, dentro del Civic Culture Study dirigido por Almond y Verba, se preguntó esta misma cuestión y apenas al 5% de los republicanos y al 4% de los demócratas les disgustaba que su hijo se casara con alguien de un partido diferente al suyo (Almond y Verba, 1960).

El distanciamiento social por razones políticas reduce el contacto interpersonal entre quienes piensan diferente, en un contexto de clasificación social (social sorting) marcado por una tendencia homogeneizadora (Huber y Malhotra, 2017; Mason y Wronski, 2018; Druckman y Levendusyky, 2019). Esto, a su vez, crea entornos de refuerzo identitario que exacerban las actitudes partidistas, los prejuicios y aumentan la sensación de alteridad respecto a los grupos rivales, con los que cada vez se comparten menos cosas (Allport, 1954; Mason, 2015; Huddy y Yair, 2021). A pesar del interés despertado por esta cuestión en Estados Unidos, poco se ha investigado en España sobre las consecuencias de la PA en términos de distanciamiento social o discriminación interpersonal. Aunque algunos autores han constatado el efecto de la PA sobre la confianza social general (Torcal, 2023), no existe una investigación en profundidad que trate de averiguar hasta qué punto los españoles muestran actitudes de rechazo o aceptación hacia una posible pareja atendiendo a la identidad partidista de esta y, en su caso, qué factores explican estas actitudes. Al margen de la escasa atención académica recibida por este tema en España, las relaciones entre amor y política están cada vez más presentes en el debate público 1 . De igual forma, existen datos que señalan que, en España, la elección de pareja constituye el tipo de relación social en la que los individuos priman más el aspecto político. Según la I Encuesta Nacional de Polarización Política llevada a cabo por el Centro de Estudios Murciano de Opinión Pública (CEMOP), a los españoles les disgustaría más tener una relación de pareja con alguien que votase por un partido de una ideología abiertamente contraria a la suya que tener un amigo o contratar a alguien en esa misma circunstancia (CEMOP, 2021). Estos datos refuerzan la decisión de investigar en profundidad la influencia de la política en las relaciones de pareja.

Polarización afectiva, sesgos grupales y elección de pareja

Asumiendo este contexto, nuestro primer objetivo es aportar evidencia empírica que concrete hasta qué punto existen procesos de “distanciamiento social” por razones políticas (Druckman y Levendusyky, 2019) en España. Junto a esta voluntad descriptiva, desarrollaremos modelos multivariantes que nos permitirán explicar qué factores influyen en la actitud manifestada ante cada tipo de votante. Más específicamente, trataremos de evidenciar cómo afectan los sentimientos hacia los grupos partidistas y la PA a estas manifestaciones de distanciamiento. Recordemos que, mientras que la polarización ideológica se distingue por un disenso sobre las preferencias en materia de políticas públicas (propuestas concretas), la PA capta procesos de sesgo intergrupal e interpersonal basados en identidades partidistas-recurrentemente alineadas con identidades sociales- (Iyengar et al., 2012; Torcal, 2023) 2 . Esto implica que los miembros de otros partidos dejan de ser oponentes para pasar a ser enemigos y, por el camino, se refuerzan los prejuicios, el favoritismo hacia el grupo propio y la hostilidad hacia el grupo rival (Lelkes y Westwood, 2017). Por esta razón, la forma más común de medir la PA, y que será la empleada en este trabajo, se basa en una estimación de la brecha diferencial de sentimiento entre el endogrupo partidista y los exogrupos (Iyengar et al., 2019). Esta profundización de las diferencias de afecto endogrupo/exogrupo podría estar motivada, a su vez, por una mayor divergencia ideológica, aunque no es una condición necesaria (Iyengar et al., 2012).

Para el entendimiento de las implicaciones de todos los resultados mostrados, asumimos, además de los hallazgos en torno a las causas y las consecuencias de la PA, un doble marco teórico: las aportaciones de la Psicología social sobre los sesgos grupales y una revisión condensada de algunos conceptos fundamentales de la Sociología de la pareja.

  1. Psicología de los sesgos grupales. Las relaciones intergrupales, marcadas por procesos de categorización y comparación, generan -incluso en ausencia de un conflicto real de intereses- un sesgo de favoritismo endogrupal que busca preservar el estatus del endogrupo para proteger, a su vez, la autoestima del individuo (Turner et al., 1979). La tendencia a favorecer a los miembros del endogrupo no es el único tipo de sesgo grupal. Los individuos también pueden desarrollar prejuicios hacia los miembros de otros grupos, hasta tal punto que se les llegue a estigmatizar y se evite la interacción con ellos (Jacoby-Senghor et al., 2015). Todavía a día de hoy no se ha alcanzado un consenso sobre la interrelación que existe entre la hostilidad hacia el exogrupo y el favoritismo hacia el endogrupo. Mientras que algunos autores consideran que son fenómenos perfectamente independientes que no tienen por qué suceder simultáneamente y que tienen entidad diferenciada (Allport, 1954; Hamley et al., 2020), otros defienden que el amor hacia el endogrupo y el odio hacia el exogrupo son inseparables y se dan a la vez (Parker y Janoff-Bulman, 2013). En definitiva, se trata de conocer si la discriminación hacia los oponentes (no preferirles o incluso rechazarles) surge como un efecto colateral del deseo de favorecer al endogrupo o está motivada primordialmente por una voluntad activa de dañar al exogrupo (Amira et al., 2021).

  2. La elección de pareja como objeto de estudio sociológico. ¿Por qué elegimos a una persona para ser nuestra pareja? La sociología ha respondido a esta cuestión superando cualquier mitología romántica o aproximación neuroquímica vinculada con la atracción física, la sinapsis y la oxitocina. Para autores como Carabaña (1983) o Kalmijn (1998) , la elección de pareja se basa en el principio de homogamia, es decir, solemos buscar a personas con características sociales (identidades, estatus) semejantes a las nuestras. Además, compartir valores, experiencias, estilos de vida, aspiraciones y personalidad constituye una señal importante para orientar la elección de pareja (Fiore y Donath, 2005). La búsqueda de compatibilidad trata de asegurar el bienestar futuro y tiene como efecto directo la homofilia, por eso, se activan sesgos y normas sociales que premian al endogrupo en la búsqueda de pareja. De hecho, cuando compartimos muchas cosas con una persona podemos llegar a verla más atractiva. Un reciente experimento señala que los miembros de los exogrupos partidistas eran percibidos como menos atractivos que aquellos con los que se compartía la identidad política (Easton y Holbein, 2021). La belleza, el deseo o la elección relacional, por tanto, no solo se construyen socialmente, sino que están sujetos a un razonamiento motivado. Nuestro cerebro premia al endogrupo porque presupone que será más fácil convivir con sus miembros.

Hipótesis, datos y metodología

¿Qué influye en nuestras actitudes de desagrado/aceptación hacia posibles parejas según el partido al que votan? ¿Se materializan los sesgos de favoritismo endogrupal y rechazo exogrupal en este tipo de situaciones sociales? ¿Incrementa la PA el distanciamiento social? Este es el punto de partida de nuestra inquietud investigadora: conocer los factores que explican las actitudes de los individuos ante escenarios de elección de pareja basados en la identidad partidista. Más formalmente, planteamos las siguientes tres hipótesis de investigación:

  • H1 (sesgo de favoritismo endogrupal). Los sentimientos positivos hacia un partido incrementan la aceptación mostrada hacia una posible pareja de ese mismo partido.

  • H2 (sesgo de rechazo exogrupal). Los sentimientos positivos hacia un partido incrementan las actitudes de distanciamiento (desagrado) hacia una posible pareja que vote por un partido rival.

  • H3 (consecuencias de la PA). A mayor nivel de PA -cuanto mayor es la diferencia entre los sentimientos expresados hacia los diferentes partidos-, mayor propensión al distanciamiento social por razones políticas.

Para la comprobación de estas hipótesis, usamos datos de la II Encuesta Nacional de Polarización Política en España, elaborada por el CEMOP 3 entre el 25 de abril y el 18 de mayo del año 2022. La encuesta se realizó, con modo de administración CATI (entrevistas telefónicas), a una muestra representativa de la población española de ambos sexos de 18 y más años, contando con un total de 1236 casos. La muestra fue seleccionada mediante un procedimiento polietápico estratificado 4 incluyendo cuotas de sexo y edad.

Una vez definida la fuente de los datos, exponemos la estrategia empírica que se va a implementar. Primero, desarrollaremos una serie de análisis bivariados que nos permitirán relacionar nuestra variable dependiente (escala de desagrado/aceptación frente a una relación de pareja con distintos tipos de votantes) con aquellas otras que inicialmente consideramos que pueden llegar a convertirse en variables explicativas: el nivel de PA individual y los sentimientos hacia los diferentes grupos partidistas. La PA individual se basa en la fórmula de dispersión de los afectos intergrupales más utilizada para sistemas multipartidistas (Wagner, 2021). La medida de Wagner permite captar la lógica de bloques y las dinámicas individuales de evaluación (Romero-Martín et al., 2024). Esta fórmula se construye a partir de una medida de auto-reporte basada en el termómetro de sentimientos que, como señalan Freidin et al. (2022) , es la más usada internacionalmente para estimar este fenómeno. Además, incluimos como variables de control una serie de características que también podrían influir en la elección de pareja por razones políticas, a saber: el extremismo ideológico, los valores generales de tolerancia democrática, la edad, el sexo, la identidad territorial y el nivel de estudios. En segundo lugar, una vez presentados estos datos, avanzamos hacia un análisis multivariable para el que aplicamos una regresión lineal múltiple por mínimos cuadrados (OLS) incluyendo todas las variables anteriormente mencionadas como potenciales predictores (Tabla 1) 5 .


Tabla 1 Definición de las variables de la investigación

Tipo de variable Nombre, características y valores
Variable dependiente (VD) Escala de desagrado/aceptación frente a relaciones de pareja con votantes de diferentes partidos. Imagine por un momento que su hijo o hija, o usted mismo, ha iniciado una relación de pareja con una persona que vota por un determinado partido. Le voy a ir diciendo los partidos a los que vota esa persona con la que su hijo, hija o usted mismo ha iniciado esa relación hipotética y le agradecería me indicara dónde se situaría usted en una escala del 0 al 10, en la que el 0 es que esta situación le desagradaría mucho y prefería que no sucediera, y el 10 que esta situación le parece de lo más normal y no tiene inconveniente en que sea así.Supuesto: tener una relación su hija, hijo o usted con una persona que vota al PSOE/PP/Vox/Unidas Podemos.
Variable explicativa 1 (VE1) Sentimientos hacia los partidos. Utilizamos una medida que adapta el termómetro de sentimientos de la American National Election Studies (ANES), en referencia a los cuatro grandes partidos de ámbito estatal. El tenor literal de la pregunta utilizada fue: En España existen diversos partidos políticos que representan las distintas sensibilidades de la población. En una escala del 0 al 10, donde el 0 significa que respecto a ese partido tiene usted sentimientos de “antipatía y rechazo” y el 10 significa que tiene sentimientos de “simpatía y adhesión”, ¿cuáles son sus sentimientos respecto de los siguientes partidos políticos que le voy a nombrar? PSOE/PP/Vox/Unidas Podemos
Variable explicativa 2 (VE2) Polarización afectiva individual calculada siguiendo la fórmula de Wagner (2021) , en su versión no ponderada 6 , a partir del termómetro de sentimientos hacia los partidos.
S p r e a d   i = p = 1 P l i k e i p - l i k e ¯ i 2 n p
p es el partido, i el encuestado individual, like ip la puntuación like-dislike asignada a cada partido p por el individuo i y n p el total de partidos considerado (4 en nuestro caso). Este indicador mide el nivel de dispersión o diferencia en los sentimientos expresados hacia los principales partidos de ámbito estatal, captando de forma prioritaria la polarización interbloque. El rango teórico del indicador es 0-5, siendo los valores más elevados síntoma de una mayor polarización afectiva individual. El nivel de polarización más intenso se produce cuando un individuo da la máxima puntuación a dos partidos y la mínima a los otros dos.
Variable de control 1 (VC1) Extremismo ideológico. Individuos que se sitúan en alguno de los dos polos de la escala de autoubicación izquierda-derecha (1-10). Se presenta como una recodificación dummy de la mencionada escala, tomando el valor 1 si el sujeto se autoubica en el polo derecho (8-10) y el valor 0 si se autoubica en el polo izquierdo (1-3). El resto de los valores se consideran perdidos.
Variable de control 2 (VC2) Sexo. 0 hombre, 1 mujer.
Variable de control 3 (VC3) Identidad territorial. Se realiza una adaptación de la clásica pregunta Linz-Moreno para convertirla en una escala 1-10 (reproduciendo la lógica de la escala de autoubicación ideológica y favoreciendo el análisis lineal). El tenor literal de la pregunta utilizada fue: ¿Podría indicarnos, por favor, en una escala del 1 al 10 donde el 1 es “me siento únicamente español” y el 10 “me siento únicamente (gentilicio de la comunidad autónoma donde se esté haciendo la encuesta, por ejemplo, vasco/a, andaluz/a, gallego/a), dónde se sitúa usted?
Variable de control 4 (VC4) Valores generales de tolerancia democrática (visión abstracta de la persona sobre la importancia del entendimiento y el reconocimiento de distintas opiniones como parte de la democracia) . Esta variable permite controlar hasta qué punto las actitudes interpersonales se ven influenciadas por una concepción normativa sobre cómo se debe actuar en un contexto democrático. Los valores de tolerancia democrática se midieron a través de la siguiente pregunta: Le voy a leer a continuación algunas frases y me gustaría que me indicara hasta qué punto está Usted de acuerdo con cada una de ellas. Utilice para ello las escala de 0 a 10, en la que el 0 es que está usted totalmente en desacuerdo y el 10 es que está totalmente de acuerdo: En democracia es importante adoptar compromisos entre distintos puntos de vista.
Variable de control 5 (VC5) Edad, variable cuantitativa continua. Rango en la muestra: 75 [18-93].
Variable de control 6 (VC6) Nivel de estudios, recodificada en forma de variable dummy correspondiéndose el 0 con aquellas personas que no tienen estudios universitarios y el 1 con aquellas que sí.


RESULTADOS Y DISCUSIÓN


Análisis univariado y bivariado

Presentamos a continuación los resultados de los análisis llevados a cabo. Inicialmente, en un nivel descriptivo univariado (Tabla 2), podemos comprobar cómo, salvo las relaciones de pareja con votantes de Vox, todos los demás grupos de votantes obtienen medias similares en la escala de desagrado/aceptación en el conjunto de la muestra. El porcentaje de individuos que muestra un fuerte desagrado (0-1 de la escala) hacia las relaciones con votantes del PSOE o PP es reducido (4,4% en el primer caso y 6,7% en el segundo). Los votantes de los partidos mainstream no activan procesos relevantes de distanciamiento social. Esto puede deberse a la percepción de estos votantes como sujetos más neutrales, una especie de ciudadano medio con menor carga estereotípica negativa de inicio.


Tabla 2 Escala de desagrado/aceptación frente a relaciones según la identidad partidista de la posible pareja

Relación de pareja PSOE Relación de pareja PP Relación de pareja Vox Relación de pareja UP
Media (M) 7,85 7,56 6,30 7,25
Desviación típica (DT) 2,78 3,05 4,00 3,38
Porcentaje de individuos en el 0-1 4,4% 6,7% 22,4% 10,6%
Porcentaje de individuos en el 9-10 55,6% 53,2% 45,5% 52,5%
N válido 1222 1223 1224 1223

Fuente: elaboración propia a partir de datos de la II Encuesta Nacional de Polarización Política del CEMOP (2021).


Para Unidas Podemos, si bien se constatan niveles de rechazo más altos que para PP y PSOE, las diferencias no son demasiado pronunciadas (+6,2 y +3,9 respectivamente). Como adelantábamos, el contraste fundamental se produce al preguntar por una posible relación de pareja con un o una votante de Vox. Ante este escenario, un 22,4% de los entrevistados expresa un desagrado absoluto. Al mismo tiempo, las relaciones de pareja con la derecha radical obtienen la media más baja en la escala (6,30), es decir, una mayor tendencia al desagrado. También se produce con este grupo una alta desviación típica, lo que nos informa de reacciones polarizadas -distribución de tendencia bimodal- en los resultados de esta pregunta.

Si profundizamos este análisis comprobando las medias que se obtienen para cada supuesto de relación de pareja según la intención de voto del entrevistado (Tabla 3), constatamos diferencias significativas en todos los casos (ANOVA, p<.001). Por un lado, se corrobora una tendencia al favoritismo endogrupal, de tal forma que la media de mayor aceptación siempre se produce en la relación de pareja con alguien que vota por el mismo partido al que el entrevistado declara ir a votar. Esta situación parece trasladar una percepción de mayor afinidad emocional-personal por el mero hecho de compartir preferencias electorales. Por otro lado, la dinámica de bloques que, según diversos autores, caracteriza a la arena política española en los últimos años (Simón, 2022; Comellas y Torcal, 2023), se traslada también a las relaciones personales. La segunda opción de pareja preferida siempre coincide con el perfil de votante de un partido con el que se comparte bloque ideológico, un partido con el que se suelen establecer acuerdos y que resulta cercano en la ubicación espacial dentro del espectro ideológico.

A pesar de estos hallazgos, la magnitud del efecto (n2) es débil para el caso de las relaciones con los votantes del PSOE y UP y solo para PP y especialmente para Vox la proporción en la que la intención de voto se relaciona con la varianza de nuestro objeto de estudio puede considerarse notable. Como es posible observar en la Tabla 3, los votantes de partidos de izquierdas expresan más desagrado hacia las relaciones con PP y con Vox que a la inversa. Esto explica los resultados del análisis de la magnitud del efecto en las diferencias de medias. Baste señalar que la media en la escala respecto a las relaciones con Vox para los individuos que tienen intención de votar por el PSOE es de 4,58. Un 40,4% de los votantes socialistas se situó en el 0-1 respecto a las relaciones de pareja con votantes de Vox, mientras que un 60,7% se posicionó en el 9-10 ante la posibilidad de salir con alguien que también votara al PSOE. Son porcentajes similares a los mostrados por Iyengar et al. (2012) para Estados Unidos. Los que tenían intención de votar por Vox alcanzan un 6,98 en la escala respecto a las relaciones con los socialistas. Solo un 18,1% de los votantes de Vox expresó desagrado absoluto (0-1) hacia este escenario de relación interpartidista. La asimetría se profundiza más en el par Vox-UP/UP-Vox. Que los votantes del PSOE y UP muestren un mayor distanciamiento respecto a aquellos que votan a partidos de ideología contraria a la suya podría evidenciar cómo estas personas otorgan más importancia a la cuestión política a la hora de definir sus relaciones sociales o bien desarrollan singulares juicios de desaprobación hacia quienes mantienen un antagonismo político con ellos. Asumen la política como una cuestión más personal, más vinculada a su autoconcepto.


Tabla 3 Diferencia de medias por intención de voto en la escala de desagrado/aceptación frente a relaciones de pareja según identidad partidista

Intención de voto Relación de pareja PSOE M(DT) Relación de pareja PP M(DT) Relación de pareja Vox M(DT) Relación de pareja UP M(DT)
PSOE 8,46 (2,13) 6,82 (3,22) 4,58 (4,24) 7,50 (2,70)
PP 7,45 (3,17) 9,06 (1,68) 7,50 (3,14) 5,93 (4,11)
Vox 6,98 (3,61) 7,98 (2,71) 9,01 (1,63) 6,13 (4,13)
UP 8,08 (1,96) 5,34 (3,50) 3,22 (4,03) 8,87 (1,64)
ANOVA y Eta cuadrado (n2) *** n2=.039 *** n2=.135 *** n2=.166 *** .077

Fuente: elaboración propia a partir de datos de la II Encuesta Nacional de Polarización Política del CEMOP (2021). ***p<0.01, **p<0.05.


Una vez asentadas estas ideas iniciales, procedemos a realizar los análisis bivariados. En la Figura 1 se muestra la matriz de correlaciones que incluye todas las variables cuantitativas consideradas en el estudio.


Figura 1 Matriz de correlaciones entre las variables cuantitativas consideradas en el estudio

v34n1a2image001.png

Fuente: elaboración propia con Jamovi Project (2022).


Atendiendo a los datos de la Figura 1, advertimos que existe una correlación significativa entre los sentimientos generales hacia un partido y la reacción que genera poder tener una relación de pareja con alguien que vota por ese partido. Los sentimientos positivos hacia un partido se relacionan con una mayor aceptación de las relaciones de pareja con sus votantes (una nueva evidencia del sesgo de favoritismo endogrupal). Esto ocurre con especial fuerza en la asociación entre sentimientos hacia Vox y las actitudes hacia una relación de pareja con alguien de Vox (r (1172) = .40, p<.05). Constatamos con este dato una singular propensión al favoritismo endogrupal entre quienes tienen sentimientos positivos hacia la derecha radical. Este es un rasgo que coincide con evidencias previas sobre la fuerza del vínculo afectivo con el endogrupo entre los votantes de los partidos más extremos (Rojo-Martínez et al., 2023). A pesar de este hallazgo, previamente constatábamos que estos votantes no discriminaban más a los exogrupos, lo que subraya la ausencia de una correspondencia perfecta entre los sesgos de amor hacia el grupo propio y de rechazo hacia los grupos rivales.

Asimismo, se manifiesta cómo los sentimientos expresados hacia los grupos como entes abstractos se trasladan al ámbito interpersonal, pudiendo llegar a influir en las elecciones que realizan los individuos sobre asuntos no expresamente políticos. Este no es un hallazgo menor, pues equivale a sostener que las identidades partidistas funcionan de forma expresiva y no instrumental, esto es, como identidades sociales que activan razonamientos motivados e intervienen en la vida cotidiana de las personas (Huddy et al., 2018).

Ahora bien, si atendemos a la fuerza de la correlación mostrada en la matriz solo hay dos valores con un coeficiente >0,7. Uno de ellos lo encontramos en la correlación entre el resultado de la escala de agrado/desagrado que genera una pareja del PSOE y el que genera una pareja de UP (r (1172) = .76, p<.05). El segundo se corresponde con la asociación bivariada pareja PP y pareja Vox (r (1172) = .71, p<.05). Los votantes de un mismo bloque despiertan evaluaciones fuertemente relacionadas, aunque no perfectamente relacionadas. Las implicaciones estereotípicas o de valor de los votantes de un mismo bloque podrían ser cercanas, pero existen matices que explican los resultados diferenciales descritos en la Tabla 2.

Seguidamente, contemplamos la posible relación entre nuestra variable dependiente y la identidad territorial. De esta forma, evaluamos hasta qué punto ciertas identidades sociales de carácter prepolítico se alinean con identidades partidistas y retroalimentan con ello el conflicto intergrupal. Esta alineación termina por influir en la convivencia, según lo expuesto por la teoría de la clasificación social (social sorting) de Mason (2016) . Esta autora advierte del efecto de la transversalidad identitaria (ausencia de plena alineación entre identidades sociales y políticas en el individuo) como factor de moderación de la PA.

Los resultados señalan que solo existe asociación significativa entre identidad territorial y la escala de relación de pareja en el supuesto de que esta se establezca con votantes de PP (r (1172) = -.16, p<.05) o de Vox (r (1172) = -.20, p<.05). A pesar de que la fuerza de la asociación es modesta, no deja de resultar relevante cómo a medida que un entrevistado tiende a sentirse menos identificado con España, más inconveniente le genera tener una pareja del PP o de Vox. El alcance del conflicto territorial en España ha podido generar una brecha capaz de impregnar las esferas íntimas, con una notable herida abierta entre los sectores nacionalistas y la derecha estatal.

Finalmente, según lo expuesto en la Figura 1, se comprueba que la tendencia a la aceptación de todas las posibles parejas es mayor cuanto menor es el nivel de PA. ¿Los individuos menos polarizados tienden a poner menos reparos a los escenarios de relación social definidos por las preferencias políticas? La asociación entre PA y las cuatro variables dependientes es siempre significativa, por lo que se reafirma la pertinencia de profundizar en su capacidad explicativa mediante modelos robustos que controlen el efecto de las diferentes variables explicativas entre sí. Podría resultar, pues, que lo importante no sea solo de qué “equipo” eres o cómo de fuertemente vinculado te sientes a ese “equipo”, sino cómo de lejos emocionalmente estás del resto. No solo hace falta ser hooligan 7 , sino también a la vez un hater, y en la diferencia está el origen del distanciamiento. De igual forma, la PA podría provocar que los individuos otorguen una mayor importancia a las identidades partidistas en su esfera personal, convirtiendo el conflicto político en una batalla que librar en su vida cotidiana y en primera persona.


Tabla 4 Análisis de diferencia de medias (variables sociodemográficas y extremismo ideológico)

Pareja PSOE Test Pareja PP Test Pareja Vox Test Pareja UP Test
Sexo Hombre 7,85 7,84 *** d=.178 6,78 *** d=.231 7,31
Mujer 7,86 7,30 5,86 7,20
Estudios Universit. 7,76 7,31 ** d= .139 5,87 *** d=.185 7,33
No universit. 7,92 7,73 6,61 7,13
Ext. ideológico Polo izquierdo 8,05 *** d=.373 6,15 *** d=-.793 3,95 *** d= -1.110 7,92 *** d=.650
Polo derecho 7,00 8,71 8,22 5,76

Fuente: elaboración propia. Análisis bivariado: Prueba t de Student (incluyendo resultados de la d de Cohen para medir la magnitud del efecto). ***p<0.01, **p<0.05.


Una vez analizadas todas las relaciones entre las variables cuantitativas consideradas en la investigación, para concluir este epígrafe exponemos las diferencias de valores medios de la variable dependiente atendiendo al sexo de los entrevistados, a su nivel de estudios y a su posición en los polos de la escala ideológica (Tabla 4). Comenzando por el sexo, solo se evidencian diferencias significativas para las relaciones de pareja con votantes de partidos de derechas, con especial intensidad respecto a Vox (Figura A.1 del Apéndice). Las mujeres muestran 0,92 puntos menos de agrado frente al hecho de tener una pareja de Vox que los hombres (t=4.03a, p<.001; d=.231).

El sexo parece un elemento importante al tratar de comprender las actitudes afectivas hacia la derecha radical en España, algo que resulta coherente con otras evidencias, como los altos niveles de masculinización de la base electoral de este partido o el protagonismo que el discurso antifeminista ha cobrado en sus estrategias (Álvarez Benavides y Jiménez Aguilar, 2021; Cabezas Fernández et al., 2023). Y esto podría estar contagiando las actitudes hacia la derecha mainstream. Atendiendo a estos resultados, es pertinente valorar la posibilidad de que el sexo se esté convirtiendo en un elemento con notable capacidad de influencia en las dinámicas políticas en España, actuando más que como una característica sociodemográfica individual como una identidad grupal con connotaciones de valor para quienes coparticipan de ella.

De igual forma, exploramos hasta qué punto las actitudes de discriminación interpersonal se relacionan, en algún sentido, con el nivel de estudios de los entrevistados. Según se constata, solo se producen diferencias de medias significativas considerando el nivel de estudios en las relaciones de pareja con votantes de partidos de derechas. Los universitarios muestran más distanciamiento respecto a una posible relación de pareja con los votantes de PP y Vox. Nuevamente, las diferencias son más pronunciadas en el caso de Vox (t=3.95, p<.001; d=.185). Lejos de convertirse el nivel de estudios en un elemento de moderación de las actitudes de discriminación intergrupal, se observa un patrón que podría estar motivado por ciertas creencias subyacentes de superioridad moral, es decir, un juicio descalificatorio basado en el desprecio hacia ideas o creencias percibidas como más anticuadas, menos justas, o menos sofisticadas.

Dejando a un lado los elementos de carácter sociodemográfico, sería esperable encontrar relaciones significativas entre extremismo ideológico y distanciamiento social, un análisis también incluido en la Tabla 4. Aquellos individuos con posiciones ideológicas más férreas también podrían ser los que rechazaran con mayor intensidad a los partidos más alejados de sus principios, según una visión elástico-espacial del conflicto (Algara y Zur, 2023). De esta forma, las ideologías no actuarían tanto como compendio de posicionamientos temáticos, sino también como grandes identidades grupales que se reproducen o alinean con el partidismo (Comellas y Torcal, 2023; Devine, 2015). Según los datos de la Tabla 4, todas las diferencias son significativas, pero la magnitud del efecto es especialmente notable para PP y Vox. Quienes están en el polo izquierdo se sitúan en el 3,95 de media respecto a una posible pareja de Vox y en el 6,15 respecto a una pareja del PP, frente al 8,22 y 8,71 respectivamente que obtienen aquellos ubicados en el polo derecho. Ahora bien, el nivel de rechazo entre polos no resulta simétrico. Quienes se sitúan en el polo derecho muestran una media de 5,76 respecto a una posible pareja de UP y de 7 en el caso de una pareja del PSOE. Este resultado es coherente con el expuesto en la Tabla 3, los votantes de izquierdas rehúsan más intensamente las relaciones sociales con los votantes de partidos de derechas que a la inversa, lo que no impide que se constaten resultados diferenciados entre los individuos de cada polo en todos los casos. Esto nos permite retomar el concepto de superioridad moral y la posibilidad de que también esté operando este prejuicio en las relaciones izquierda-derecha en nuestro país.

Análisis multivariable

Los análisis bivariados nos permiten intuir relaciones que deben comprobarse mediante modelos que controlen la influencia simultánea de todas las variables consideradas como potenciales elementos predictores o de control. En consecuencia, desarrollamos diferentes modelos de regresión lineal múltiple orientados a explicar los resultados de la escala de desagrado/aceptación frente a relaciones de pareja con los cuatro grupos de votantes. Para apreciar el efecto explicativo de la PA sobre la variable dependiente, se realizarán dos estimaciones para cada uno de los cuatro grupos de votantes, una primera en la que no se incluye la PA y otra en la que sí.

Los resultados de todos los modelos (ver Tablas 5 a 8) indican que, cuanto más positivos son los sentimientos hacia el partido cuyos votantes se plantean como potencial pareja, más se tiende a mostrar agrado ante la posibilidad de esa relación (β1 Modelo 2 PSOE=.304, p<0,001; β2 Modelo 2 PP=.399, p<0,001; β3 Modelo 2 Vox=.351, p<0,001; β4 Modelo 2 UP=.304, p<0,001). Todos los coeficientes de la variable de sentimientos hacia el endogrupo de la potencial pareja se muestran significativos y con una contribución explicativa destacada. Con esto comprobamos definitivamente que la identidad partidista positiva suscita un sesgo de favoritismo endogrupal (H1) que puede promover la creación de relaciones basadas en la homofilia. Tener sentimientos positivos hacia un determinado grupo hace que se muestre una buena disposición hacia la relación con sus miembros. Así, el partidismo aparece como una forma de identidad social que adquiere relevancia en situaciones no propiamente políticas, siendo incluso capaz de condicionar las elecciones más íntimas de los ciudadanos.

Por el momento, el mecanismo de sesgo grupal explicitado se orienta hacia el endogrupo -promoviendo la cercanía hacia quienes tienen orientaciones partidistas similares a las propias-. La orientación neurocognitiva hacia nuestro grupo, en el supuesto tajfeliano del grupo mínimo (la mera categorización, sin relación previa entre sujetos, es suficiente para que se deriven efectos grupales), se produce por tres razones que responden a un comportamiento evolutivo-adaptativo: empatizamos más con ellos, compartimos un mismo significado experiencial y nos sentimos seguros a su lado (Tajfel, 1970; Molenberghs, 2013). La información sobre el voto de una persona activa irremediablemente una serie de estereotipos sobre atributos de personalidad, valores, hábitos e incluso gustos que pueden ser decisivos a la hora de emprender una vida en común. El sesgo de favoritismo actúa como una suerte de saber innato para hacernos elegir a aquellos que nos harán “felices”, aunque se basa en una inferencia apresurada sobre la concordancia entre la identidad política y la personalidad. Su desarrollo e instalación en nuestro cerebro se produjo a partir de contextos intergrupales con implicaciones muy diferentes a las que cabe inferir del partidismo en un entorno democrático pluralista.

Los procesos de identificación positiva con un grupo (sentimiento de pertenencia) tienen una traducción directa en la esfera personal y parecen generar una mayor propensión a confiar, sentirse cómodo y, en última instancia, querer relacionarse con aquellos que presuponemos afines políticamente. Por tanto, los sentimientos positivos hacia un grupo promueven la relación con sus miembros, pero, ¿conducen a la animadversión frente a quienes no lo son (H2)? Pongamos el siguiente ejemplo: sabemos que mostrar simpatía hacia el PSOE hace que también se muestre agrado hacia una pareja que vota por el PSOE (ver Tabla 5), pero, ¿mostrar simpatía hacia el PSOE hace que se muestre desagrado hacia una pareja que vote por el PP, Vox o Unidas Podemos? A lo largo de este texto hemos insistido en la existencia de dos tipos de sesgos grupales bien diferenciados -los de naturaleza intragrupal y los de naturaleza exogrupal- (Torcal, 2023, p. 188). No podemos afirmar que el favoritismo endogrupal siempre se acompañe de rechazo exogrupal como una especie de correlato inseparable. Puedo amar a los míos sin que eso me haga rechazar a los otros.

Tan erróneo es asumir que los dos tipos de sesgos se producen simultáneamente -como si fueran dos dimensiones de una misma cosa- que, de hecho, constatamos que los sentimientos positivos hacia un grupo no generan por sí solos rechazo a una pareja del exogrupo, es decir, no resultan por lo general significativos cuando buscamos explicar expresiones de distanciamiento social. Por sí solos, los sentimientos positivos hacia los grupos rivales no predicen los cambios en la variable dependiente, esto es, no predicen el distanciamiento o el rechazo. La mayor adhesión hacia un grupo no genera un mayor distanciamiento hacia quienes no votan por él. Este hallazgo tiene importantes implicaciones para el campo de la Psicología social: al explicar patrones de relación basados en sesgos, importan más los sentimientos de adhesión endogrupal que los sentimientos hacia los exogrupos. También constata que el rechazo hacia un exogrupo no contribuye a reforzar el favoritismo endogrupal, es decir, las identidades negativas no tienen un efecto claro en términos de segregación social. Con todo, observamos una desviación de esta conclusión general en el modelo implementado para las relaciones de pareja con votantes de Vox (ver Tabla 7), pues en este caso los sentimientos positivos hacia Unidas Podemos sí generan una disminución significativa del agrado hacia las parejas que votan a la derecha radical (β=-.143, p<0.05). Lo que pone de manifiesto este particular hallazgo es la fuerza que los sentimientos hacia el partido morado -en su vertiente positiva o negativa- tienen en la manifestación de actitudes hacia la derecha radical, observándose en consecuencia una dinámica de excepcional antagonismo entre estos grupos.

Ocupándonos ya de nuestra H3 (a mayor PA, mayor distanciamiento social), comprobamos que se cumple para todos los modelos con una importante contribución explicativa (ver Tablas 5 a 8). Da igual el tipo de votante que planteemos como posible pareja, pues siempre se comprueba significativamente que, a medida que decrece el afecto diferencial entre grupos, también la variable dependiente avanza hacia posiciones de mayor aceptación y menor desagrado (β11 Modelo 2 PSOE=-.171, p<0.01; β11 Modelo 2 PP=-.194, p<0.01; β11 Modelo 2 Vox=-.175, p<0.01; β11 Modelo 2 UP=-.109, p<0.05).

En definitiva, a la hora de explicar nuestras preferencias hacia una posible pareja según su identidad partidista, dos sesgos sobresalen como principales predictores: los sentimientos positivos hacia el grupo al que pertenece la potencial pareja (H1) y los niveles de dispersión de los afectos hacia todos los grupos partidistas (H3). Los patrones de distanciamiento social por razones partidistas, lejos de atender aisladamente a los sesgos de rechazo exogrupal -los sentimientos positivos hacia un grupo llevan a rechazar a los que no pertenecen a ese grupo-, responden al nivel de polarización del individuo, entendiendo polarización como un concepto que capta la dispersión de la distribución de las evaluaciones dadas hacia varios objetos. Por tanto, la mera adhesión a un exogrupo no predice la discriminación, sino que deben combinarse en un mismo sujeto altos niveles de antipatía hacia uno o varios grupos y altos niveles de simpatía hacia otro/s para que surjan tendencias discriminatorias. Además, cabe reseñar que la inclusión de la PA en todos los modelos aumenta su nivel de ajuste 8 , lo que corrobora la importancia de esta variable para comprender el fenómeno de estudio tratado.

A partir de estos hallazgos, concluimos que la PA tiene claros efectos sobre las relaciones personales, promoviendo actitudes de distanciamiento social. La PA no solo debe preocuparnos porque dificulta el funcionamiento de las instituciones y puede generar conductas antidemocráticas orientadas a un exceso de protección del endogrupo, también debe preocuparnos porque, en ámbitos aparentemente no políticos, se infiltra para definir nuestras preferencias familiares o sociales, generando comunidades cada vez más segregadas (lo que a su vez reforzará la polarización). De los resultados de los modelos implementados cabe concluir que los individuos más polarizados afectivamente también son los que se muestran más reacios ante una elección de pareja considerando la identidad partidista del sujeto. La polarización hace que la política esté más presente en la esfera personal, creando individuos menos tolerantes que tienden a otorgar una excesiva importancia a las afinidades partidistas o a los conflictos políticos en sus relaciones sociales.

Si la contribución de la PA es clara y coherente en todos los modelos, el extremismo ideológico no aparece en ninguno de ellos como explicación significativa. Frente a la primacía de los elementos grupales, estar en uno u otro extremo ideológico parece menos relevante. Las diferencias observadas en los análisis bivariados no se traducen en capacidad explicativa porque la hipotética contribución de la ideología desaparece al estar controlada simultáneamente por otras variables, como los sentimientos partidistas o la propia PA. Aunque en nuestro país se ha tendido a destacar la ideología como un factor con gran influencia tanto en el comportamiento electoral como en el conjunto de actitudes de la ciudadanía, a la luz de estos resultados convendría repensar algunos supuestos y prestar atención también a los efectos del partidismo, concebido este como una forma de identidad social altamente relevante.

La ausencia de significatividad del extremismo ideológico refuerza las hipótesis del trabajo seminal de Iyengar et al. (2012) : las democracias occidentales viven un nuevo clima de polarización que, más que estar basado en los desacuerdos en torno a las políticas, es fruto de enfrentamientos emocionales y personales con una base habitualmente trivial y tribal. A su vez, estos resultados nos invitan a pensar que, en determinados contextos y dependiendo de la naturaleza de la categorización, las ideologías no son identidades grupales tan influyentes como el partidismo, pues no tienen efectos siquiera parecidos a este en materia de sesgos o prejuicios intersubjetivos, a pesar de lo que vienen sosteniendo algunos autores (Mason, 2018; Comellas y Torcal, 2023). La condición de prevalencia de una identidad social viene en buena parte definida por su capacidad para generar sesgos en la comparación intergrupal. Si bien es plausible pensar que los individuos categorizan a otros sujetos de acuerdo a su posición en el espectro ideológico y les juzgan según la mayor o menor cercanía percibida, nuestro estudio evidencia que la contribución de las etiquetas ideológicas en los fenómenos de distanciamiento social por razones políticas es claramente inferior a la que presenta el partidismo, que es un anclaje con mayor capacidad de polarizar la vida social. Esto no rebate totalmente el supuesto de que los significantes izquierda y derecha actúen más como identidades de grupo que como conjunto coherente de posicionamientos temáticos (Devine, 2015), pero, si así fuera, serían identidades menos apasionadas y con menos efectos sociales.


Tabla 5 Modelos de regresión lineal múltiple para explicar las actitudes ante una relación de pareja con un votante del PSOE 9

Modelo (1) Relación de pareja PSOE Modelo (2) Relación de pareja PSOE
B (E) β B (E) β
Sentimientos PSOE .236*** (.058) .251 .286*** (.059) .304
Sentimientos PP .017 (.057) .018 .027 (.057) .029
Sentimientos Vox -.116 (.064) -.141 -.075 (.065) -.090
Sentimientos UP -.096 (.055) -.112 -.021 (.060) -.025
Extremismo ideológico Ref.: extremo izquierdo. -.095 (.527) -.015 .408 (.548) .067
Estudios Ref.: no universitarios. -.417 (.256) -.072 -.413 (.253) -.072
Edad -.014 (.008) -.082 -.011 (.008) -.062
Sexo Ref.: hombre. -.286 (.253) -.050 -.281 (.251) -.049
Identidad territorial (IT) -.069 (.044) -.073 -.074 (.044) -.078
Tolerancia democrática .136** (.053) .113 .152*** (.053) .126
Polarización afectiva partidos (PA) -.437*** (.142) -.171
Constante 7.442*** (.747) 7.599*** (.743)
R2 ajustado .082 .098
N 496 496

***p<0.01, **p<0.05. Nota: B representa los coeficientes de regresión no estandarizados con el error estándar (E) entre paréntesis. Para facilitar la interpretación de los resultados, además, se aportan los coeficientes estandarizados representados con la letra beta (β). Fuente: elaboración propia



Tabla 6 Modelos de regresión lineal múltiple para explicar las actitudes ante una relación de pareja con un votante del PP

Modelo (1) Relación de pareja PP Modelo (2) Relación de pareja PP
B (E) β B (E) β
Sentimientos PSOE .004 (.063) .004 .073 (.065) .064
Sentimientos PP .424*** (.063) .386 .438*** (.062) .399
Sentimientos Vox -.077 (.070) -.078 -.020 (.071) -.020
Sentimientos UP -.170*** (.061) -.164 -.068 (.066) -.066
Extremismo ideológico Ref.: extremo izquierdo. .171 (.579) .023 .855 (.598) .116
Estudios Ref.: no universitarios. -.384 (.281) -.055 -.379 (.277) -.055
Edad -.017** (.009) -.082 -.013 (.009) -.060
Sexo Ref.: hombre. -.775*** (.278) -.112 -.769*** (.274) -.111
Identidad territorial (IT) -.097** (.049) -.085 -.104** (.048) -.091
Tolerancia democrática .118** (.058) .081 .139** (.058) .095
Polarización afectiva partidos (PA) -.596*** (.155) -.194
Constante 7.095*** (.820) 7.308*** (.811)
R2 ajustado .240 .261
N 496 496

***p<0.01, **p<0.05. Nota: B representa los coeficientes de regresión no estandarizados con el error estándar (E) entre paréntesis. Para facilitar la interpretación de los resultados, además, se aportan los coeficientes estandarizados representados con la letra beta (β). Fuente: elaboración propia



Tabla 7 Modelos de regresión lineal múltiple para explicar las actitudes ante una relación de pareja con un votante de Vox

Modelo (1) Relación de pareja Vox Modelo (2) Relación de pareja Vox
B (E) β B (E) β
Sentimientos PSOE .029 (.075) .021 .107 (.077) .075
Sentimientos PP .065 (.074) .047 .081 (.074) .059
Sentimientos Vox .374*** (.083) .299 .438*** (.084) .351
Sentimientos UP -.301*** (.072) -.232 -.186** (.078) -.143
Extremismo ideológico Ref.: extremo izquierdo. .293 (.688) .032 1.070 (.712) .116
Estudios Ref.: no universitarios. -.358 (.333) -.041 -.353 (.329) -.041
Edad -.007 (.010) -.027 -.002 (.010) -.007
Sexo Ref.: hombre. -.952*** (.330) -.109 -.945*** (.326) -.109
Identidad territorial (IT) -.109 (.057) -.077 -.118** (.057) -.083
Tolerancia democrática .114 (.069) .062 .137** (.069) .075
Polarización afectiva partidos (PA) -.675*** (.185) -.175
Constante 5.703*** (.975) 5.945*** (.965)
R2 ajustado .317 .334
N 497 497

***p<0.01, **p<0.05. Nota: B representa los coeficientes de regresión no estandarizados con el error estándar (E) entre paréntesis. Para facilitar la interpretación de los resultados, además, se aportan los coeficientes estandarizados representados con la letra beta (β). Fuente: elaboración propia



Tabla 8 Modelos de regresión lineal múltiple para explicar las actitudes ante una relación de pareja con un votante de Unidas Podemos

Modelo (1) Relación de pareja Unidas Podemos Modelo (2) Relación de pareja Unidas Podemos
B (E) β B (E) β
Sentimientos PSOE -.040 (.068) -.035 -.001 (.070) -.001
Sentimientos PP -.089 (.067) -.080 -.081 (.067) -.073
Sentimientos Vox .022 (.075) .022 .055 (.077) .054
Sentimientos UP .260*** (.065) .249 .318*** (.071) .304
Extremismo ideológico Ref.: extremo izquierdo. -1.092 (.621) -.147 -.703 (.648) -.094
Estudios Ref.: no universitarios. -.407 (.301) -.058 -.405 (.300) -.058
Edad -.020** (.009) -.097 -.018 (.009) -.085
Sexo Ref.: hombre. -.223 (.298) -.032 -.220 (.297) -.031
Identidad territorial (IT) -.157*** (.052) -.136 -.161*** (.052) -.140
Tolerancia democrática .112 (.062) .062 .124** (.062) .084
Polarización afectiva partidos (PA) -.338** (.168) -.109
Constante 8.027*** (.879) 8.148*** (.879)
R2 ajustado .140 .146
N 497 497

***p<0.01, **p<0.05. Nota: B representa los coeficientes de regresión no estandarizados con el error estándar (E) entre paréntesis. Para facilitar la interpretación de los resultados, además, se aportan los coeficientes estandarizados representados con la letra beta (β).


Los resultados de los modelos nos permiten observar algunos patrones de interés en cuanto a la influencia del sexo y de la identidad territorial en la variabilidad de las respuestas de cada una de las escalas. No solo los sesgos grupales o los niveles de PA nos ayudan a entender por qué los individuos se muestran más o menos reacios a entablar relaciones con ciertas personas según lo que votan. Aunque ya se adelantaron algunas tendencias en el apartado de análisis bivariado, comprobamos cómo el sexo influye significativamente en los resultados de las potenciales parejas del PP y de Vox (ver Tabla 6 y Tabla 7). En ambos casos, ser mujer reduce el agrado a la relación de pareja con estos votantes (β8 Modelo 2 PP=-.111 , p<0,001; β8 Modelo 2 Vox=-.109, p<0,001). Sin embargo, el sexo no influye de ninguna forma en los resultados sobre las parejas de PSOE y UP (ser hombre no aumenta el rechazo a tener una pareja de estos partidos).

Investigaciones previas en el ámbito norteamericano ya han advertido sobre la existencia de una gender gap en los afectos políticos, mostrando cómo las mujeres tienen más probabilidades de ser partidistas y de estar más polarizadas (Ondercin y Lizotte, 2021). Estos resultados no dejan de ser sorprendentes en varios sentidos. En la mayoría de las democracias occidentales, el sexo no ha sido considerado habitualmente como una variable relevante para explicar los fenómenos políticos (no ha adquirido la condición de clivaje al estilo de la religión o de la clase social). De igual forma, las tesis iniciales sobre la gender gap se formularon en un sentido opuesto al que parece describirse en la actualidad. Las primeras teorías a este respecto defendían que las mujeres tendían a ser más conservadoras y a estar menos implicadas políticamente (Inglehart y Norris, 2000). Nuestros datos apuntan en otra dirección, constatando un proceso de cambio social en los valores políticos de las mujeres.

La condición de mujer incrementa el distanciamiento social respecto a los votantes de la derecha en un momento en el que las reivindicaciones de los movimientos feministas se han convertido en un eje de diferenciación entre los bloques ideológicos en España y, singularmente, en un objeto de recurrente cuestionamiento por parte de Vox. La controversia en torno al término de violencia de género, la regulación de la interrupción voluntaria del embarazo o la promoción de la representación paritaria son solo algunos de los temas protagonistas de este conflicto. Así, las mujeres podrían estar asumiendo que los votantes de Vox o del PP -con quien Vox comparte numerosos gobiernos- tienen también valores y comportamientos poco coincidentes con los reivindicados por el movimiento feminista, lo que impregnará su filosofía de vida. Y este no es un tema nimio, pues, en el ámbito de la pareja, se trata de adelantar conductas que afectarían al desarrollo de la vida en común y que condicionarán el propio bienestar de la mujer. Lo político es personal y lo personal es político (Rojo-Martínez y Crespo-Martínez, 2023). Esta explicación es una propuesta especulativa que necesita ser contrastada en futuras investigaciones.

Por último, aunque el conflicto territorial ha aparecido con frecuencia como uno de los orígenes singulares de la polarización en nuestro país (Rodon, 2022), no se conoce demasiado sobre el efecto de las identidades territoriales en el plano de las relaciones personales. Nuestros modelos de regresión corroboran que la identidad tiene efectos significativos sobre las relaciones de pareja con tres de los cuatro grupos de votantes (PP, Vox y UP), expandiendo así las evidencias del análisis bivariado. La potencia de esta identidad social en la explicación de la PA ha sido constatada, pero se obtienen algunos resultados sorprendentes. Si bien era esperable que conforme el individuo se situara más claramente en posiciones de identidad no españolista aumentara el rechazo a los partidos de la derecha, situación que se cumple (β9 Modelo 2 PP=-.091, p<0,05; β9 Modelo 2 Vox=-.082, p<0,05), el mismo efecto se produce para las relaciones con los votantes Unidas Podemos (β9 Modelo 2 UP=-.145, p<0,001). En general, la identidad social no españolista provoca rechazo a las relaciones con votantes de partidos de ámbito estatal (en el caso del PSOE también sucede, aunque no sea estadísticamente significativo), demostrando una relativa disociación entre la dimensión ideológica y la territorial-identitaria y un sesgo de rechazo exogrupal entre quienes tienen estas identidades no españolistas hacia los votantes de partidos no nacionalistas.




CONCLUSIONES


A lo largo de esta investigación hemos aportado evidencia inédita sobre un nuevo componente de la homogamia: la influencia de las identidades partidistas. Nos propusimos conocer mejor qué actitudes mostraban los españoles ante la posibilidad de tener una pareja que votase por alguno de los principales partidos políticos del país y, seguidamente, buscábamos conocer qué factores influían en la expresión de desagrado/aceptación frente a esas situaciones. Los análisis llevados a cabo nos han permitido concluir que la PA es el factor explicativo primordial de los procesos de distanciamiento social por razones políticas, mientras que el sesgo de favoritismo endogrupal es el motor fundamental de la homofilia. La polarización afectiva no solo tiene consecuencias sobre la democracia o las instituciones, también promueve la segregación social y hace que los individuos otorguen mayor importancia a las identidades políticas en situaciones no políticas. Esto es preocupante porque, cuanto menos contacto e intercambio relacional se produzca entre quienes pertenecen a grupos diferentes, más se exacerbarán los estereotipos, los recelos y las hostilidades (Allport, 1954).

Asimismo, a lo largo de este artículo hemos contrastado la ausencia de efectos equiparables entre los dos principales tipos de sesgos grupales. Los sentimientos positivos hacia los exogrupos no generan un efecto de distanciamiento. No es posible aportar evidencia consistente sobre el papel desempeñado por el sesgo de hostilidad exogrupal. Estos resultados coinciden con los obtenidos por Rudolph y Hetherington (2021) para los Estados Unidos: la fuente más importante de polarización afectiva en contextos no políticos es el amor hacia el endogrupo. Por último, se ha evidenciado la relevancia creciente del sexo y de la identidad territorial en la explicación de las actitudes interpersonales de base política, así como la singularidad afectiva existente en torno a la derecha radical. El carácter desafiante de Vox ha promovido una sensación de amenaza entre el votante de izquierdas (Torcal, 2023). Esto explica el hecho de que los votantes de Vox generen reacciones emocionales adversas de morfología asimétrica en una parte considerable del electorado. Como otros estudios han constatado, existe un estigma social sobre el votante de la derecha radical (Lindskog et al., 2023), lo que puede explicar que el rechazo a las relaciones con estos votantes sea producto de la internalización de normas o elementos de deseabilidad. En cualquier caso, la emergencia de este partido puede considerarse un punto de inflexión en las dinámicas de polarización en España. Esto guarda una especial relación con la activación de fracturas prepolíticas como el sexo y la identidad territorial, que se muestran igualmente como motores de la discriminación interpersonal.

A partir de los datos aquí expuestos, futuras investigaciones deben profundizar en un elemento clave no resuelto hasta ahora: ¿qué estereotipo, qué imagen, aparece en la mente de los entrevistados cuando les invitamos a pensar en si les gustaría o no ser pareja de cierto tipo de votantes? Es evidente que las actitudes hacia los diferentes reactivos utilizados están mediadas por presunciones estereotípicas -inferidas a partir de la identidad partidista- sobre las características y formas de ser de esa persona. Necesitamos conocer en mayor profundidad cuáles son esas representaciones que habitan en el imaginario colectivo y que explican los procesos de distanciamiento social. También necesitamos comprender mejor por qué la identidad partidista puede ser una señal relevante para orientar la elección de pareja, esto es, qué información decisiva aporta sobre los individuos y por qué esa información influye a la hora de determinar las elecciones de pareja o las preferencias de relación familiar.


AGRADECIMIENTOS


El autor agradece los comentarios recibidos sobre el primer borrador de este artículo por parte del profesor Ismael Crespo, así como por los revisores anónimos y los asistentes al Seminario del Observatorio AxPo de Sciences Po (mayo de 2024)




APPENDICES


Apéndice

Figura A.1 Diferencias según sexo en las medidas de la escala de desagrado/aceptación de una relación de pareja con un o una votante de Vox

v34n1a2image002.png

Fuente: elaboración propia con Jamovi Project (2022).



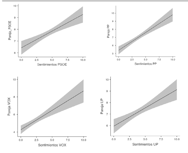
Figura A.2 Medias marginales estimadas de las escalas de agrado/desagrado frente a una relación de pareja con votantes del PSOE, PP, Vox y UP según los sentimientos hacia cada uno de esos grupos

v34n1a2image003.png

Fuente: elaboración propia con Jamovi Project (2022). Nota: visualización con intervalos de confianza del 95%.



Figura A.3 Medias marginales estimadas de las escalas de agrado/desagrado frente a una relación de pareja con votantes del PSOE, PP, Vox y UP según los niveles de PA

v34n1a2image004.png

Fuente: elaboración propia con Jamovi Project (2022). Nota: visualización con intervalos de confianza del 95%.



Tabla A.1 Estructura de sexo y edad de la muestra utilizada. Frecuencia de casos (N).

Edad en tramos
Sexo 18-30 31-44 45-64 65 y más Total
Hombre 88 145 223 138 594
Mujer 88 145 227 182 642
Total 176 290 450 320 1236

Fuente: II Encuesta Nacional de Polarización Política del CEMOP.



Tabla A.2 Distribución de la muestra atendiendo a la variable de nivel de estudios. Frecuencia de casos (N).

Categoría de estudios N
Sin estudios universitarios 722
Con estudios universitarios 513
Total 1235

Fuente: II Encuesta Nacional de Polarización Política del CEMOP.



Tabla A.3 Distribución de la muestra atendiendo al tamaño de hábitat del municipio en el que está empadronado el entrevistado/a. Frecuencia de casos (N).

Categoría de tamaño de hábitat N
Menos o igual a 2.000 habitantes 72
2.001 a 10.000 177
10.001 a 50.000 318
50.001 a 100.000 158
100.001 a 400.000 283
400.001 a 1.000.000 99
Más de 1.000.000 129
Total 1236

Fuente: II Encuesta Nacional de Polarización Política del CEMOP.



Tabla A.4 Distribución de la muestra atendiendo a la comunidad autónoma en la que está empadronado/a el entrevistado/a. Frecuencia de casos (N).

Comunidad autónoma N
Andalucía 226
Aragón 35
Asturias, Principado de 30
Balears, Illes 26
Canarias 53
Cantabria 16
Castilla y León 72
Castilla-La Mancha 55
Cataluña 193
Comunitat Valenciana 126
Extremadura 29
Galicia 79
Madrid, Comunidad de 172
Murcia, Región de 35
Navarra, Comunidad Foral de 17
País Vasco 60
Rioja, La 9
Ceuta 2
Melilla 1
Total 1236

Fuente: II Encuesta Nacional de Polarización Política del CEMOP.





NOTAS


[8] Véanse los siguientes titulares, elegidos como una pequeña muestra: “¿Puede funcionar una relación de pareja entre ‘enemigos’ políticos?” (La Vanguardia, 07/04/2019); “Vox y los toros frustraron una cita de ‘First Dates’ con preguntas polémicas” (Eldiario.es, 3/11/2023); “Un pretendiente independentista de izquierdas rechaza a su cita en First Dates por hablar mucho castellano” (El Mundo, 31/01/2024); “Una política del PP se casa con otra del PSOE en tiempos de polarización” (El Mundo, 23/03/2024).

[9] Esta definición se corresponde con la dimensión individual de la PA, centrada en las evaluaciones afectivas y en el intercambio intolerante de ideas dentro del discurso político, según lo apuntado por Romero-Martín et al. (2024). A esta primera dimensión añaden los autores una segunda, la institucional, relacionada con el sistema de partidos.

[10] El cuestionario completo del estudio, la ficha técnica y la base de datos está disponible en el siguiente enlace: https://www.cemopmurcia.es/estudios/ii-encuesta-nacional-de-polarizacion-politica/

[11] Los teléfonos se seleccionaron de forma aleatoria al interior de los estratos definidos por el cruce de las 17 comunidades autónomas y las dos ciudades autónomas con 7 categorías de tamaño de hábitat.

[12] La ecuación que formaliza el modelo de regresión lineal a implementar es: Y i (Relación de pareja Partido i )= β0 + β1(SentimientosPSOE) + β2(SentimientosPP) + β3(SentimientosVOX) + β4(SentimientosUP) + β5(Extremismo ideológico) + β6(Nivel de estudios) + β7(Edad) + β8(Sexo) + β9(Identidad territorial) + β10(Tolerancia democrática) + β11(PA individual)+ ε

[13] Al centrarse el artículo en los cuatro grandes partidos de ámbito estatal, asumimos que todos ellos son relevantes en términos sistémicos y simbólicos, con un protagonismo equiparable, por lo que corregir su contribución al clima afectivo por medio de una ponderación parece una solución algo artificial —más matemática que operativa—.

[14] Hacemos un guiño aquí al reciente libro publicado por Mariano Torcal (2023), De votantes a hooligans. La polarización política en España. Madrid: Catarata.

[15] Por otra parte, se constata un nivel de ajuste superior en los modelos implementados en relación a los dos partidos de la derecha, especialmente en el caso de Vox (R2 ajustado=.334). Esto evidencia que las actitudes hacia las posibles parejas de estos partidos se explican de una forma más relevante mediante las variables seleccionadas, lo que a su vez nos permite sostener que estas actitudes son más sensibles a anclajes cognitivos y elementos estructurales como los seleccionados (sentimientos partidistas, PA, características sociodemográficas…). Sin embargo, el resultado del R2 ajustado para el modelo del PSOE nos advierte de una mayor complejidad a la hora de explicar los resultados de esa variable —que presentan una menor desviación, respuestas más similares y centradas y un patrón, en definitiva, menos sensible a las variaciones de los factores explicativos incluidos—.

[16] Se han realizado análisis de multicolinealidad en todos los modelos mediante el Factor de Inflación de la Varianza, descartando situaciones problemáticas (VIF>5).

Sugerencia de cita / Suggested citation: Rojo-Martínez, J. M. (2025). Amor y política: polarización afectiva y relaciones de pareja en España. Revista Española de Sociología, 34(1), a250. https://doi.org/10.22325/fes/res.2025.250

[18] Financial disclosure Este trabajo ha contado con la financiación de la Fundación Séneca-Agencia de Ciencia y Tecnología de la Región de Murcia a través del proyecto nº21876/PI/22 (POLARIZA) y del Programa Estatal de Desarrollo, Atracción y Retención del Talento del Ministerio de Ciencia, Innovación y Universidades (FPU20/01033). Asimismo, el artículo se desarrolló en el marco de una estancia internacional en Sciences Po-París financiada por el Ministerio de Ciencia, Innovación y Universidades (EST24/00223).


REFERENCIAS


Algara, C., & Zur, R. (2023). The Downsian roots of affective polarization. Electoral Studies, 82, 102581. https://doi.org/10.1016/j.electstud.2023.102581

Allport, G. W. (1954). The nature of prejudice. Addison-Wesley.

Almond, G. A., & Verba, S. (1960). Civic Culture Study, 1959-1960. ICPSR07201-V2. https://www.icpsr.umich.edu/web/ICPSR/studies/7201

Álvarez Benavides, A., y Jiménez Aguilar, F. (2021). La contraprogramación cultural de Vox: secularización, género y antifeminismo. Política y Sociedad, 58(2). https://doi.org/10.5209/poso.74486

Amira, K., Wright, J. C., y Goya-Tocchetto, D. (2021). In-group love versus out-group hate: Which is more important to partisans and when? Political Behavior, 43, 473-494. https://doi.org/10.1007/s11109-019-09557-6

Buitrago, E. M., & Caraballo, M.Á. (2022). Measuring social diversity in economic literature: An overview for cross‐country studies. Journal of Economic Surveys, 36(4), 880-934. https://doi.org/10.1111/joes.12484.

Cabezas Fernández, M., Pichel-Vázquez, A., y Enguix Grau, B. (2023). El marco ‘antigénero’y la (ultra)derecha española. Grupos de discusión con votantes de Vox y del Partido Popular. Revista de Estudios Sociales, (85), 97-114. https://doi.org/10.7440/res85.2023.06

Carabaña, J. (1983). Homogamia y movilidad social. Revista Española de Investigaciones Sociológicas (REIS), (21), 61-81. https://doi.org/10.2307/40182999

CEMOP (2021). Informe de resultados de la I Encuesta nacional de Polarización Política. Grupo de Investigación CEMOP de la Universidad de Murcia. https://www.cemopmurcia.es/estudios/polarizacion-politica/

Comellas, J. M., & Torcal, M. (2023). Ideological identity, issue-based ideology and bipolar affective polarization in multiparty systems: The cases of Argentina, Chile, Italy, Portugal and Spain. Electoral Studies, 83, 102615. https://doi.org/10.1016/j.electstud.2023.102615

Crespo Martínez, I., Garrido Rubia, A., Martínez Rodríguez, M.A., y Mora Rodríguez, A. (2021). Polarización afectiva, partidismo negativo y brecha perceptiva. Una aproximación teórica. Más Poder Local, 45, 7-20. https://dialnet.unirioja.es/servlet/articulo?codigo=7992749

Devine, C. J. (2015). Ideological social identity: Psychological attachment to ideological in-groups as a political phenomenon and a behavioral influence. Political Behavior, 37, 509-535. https://doi.org/10.1007/s11109-014-9280-6

Druckman, J. N., & Levendusky, M. S. (2019). What do we measure when we measure affective polarization? Public opinion quarterly, 83(1), 114-122. https://doi.org/10.1093/poq/nfz003

Easton, M. J., & Holbein, J.B. (2021). The democracy of dating: how political affiliations shape relationship formation. Journal of Experimental Political Science, 8(3), 260-272. https://doi.org/10.1017/xps.2020.21

Fiore, A. T., & Donath, J. S. (2005). Homophily in online dating: when do you like someone like yourself? En CHI'05 extended abstracts on Human factors in computing systems (pp. 1371-1374). ACM Digital Library. https://doi.org/10.1145/1056808.1056919

Freidin, E., Moro, R., y Silenzi, M. I. (2022). El estudio de la polarización afectiva: una mirada metodológica. Revista SAAP, 16(1), 40-68. https://dx.doi.org/10.46468/rsaap.16.1.a2

Hamley, L., Houkamau, C.A., Osborne, D., Barlow, F. K., y Sibley, C.G. (2020). Ingroup love or outgroup hate (or both)? Mapping distinct bias profiles in the population. Personality and Social Psychology Bulletin, 46(2), 171-188. https://doi.org/10.1177/0146167219845919

Hetherington, M. J., & Rudolph, T.J. (2015). Why Washington Won’t Work. The Chicago University Press.

Huber, G. A., y Malhotra, N. (2017). Political homophily in social relationships: Evidence from online dating behavior. The Journal of Politics, 79(1), 269-283. https://doi.org/10.1086/687533

Huddy, L., y Yair, O. (2021). Reducing affective polarization: Warm group relations or policy compromise? Political Psychology, 42(2), 291-309. https://doi.org/10.1111/pops.12699

Huddy, L., Bankert, A., & Davies, C. (2018). Expressive versus instrumental partisanship in multiparty European systems. Political Psychology, 39(s1), 173-199. https://doi.org/10.1111/pops.12482

Inglehart, R., & Norris, P. (2000). The developmental theory of the gender gap: Women’s and men’s voting behavior in global perspective. International Political Science Review, 21(4), 441-463. https://doi.org/10.1177/0192512100214007

Iyengar, S., Konitzer, T., & Tedin, K. (2018). The home as a political fortress: Family agreement in an era of polarization. The Journal of Politics, 80(4), 1326-1338. https://doi.org/10.1086/698929

Iyengar, S., Lelkes, Y., Levendusky, M., Malhotra, N., & Westwood, S.J. (2019). The origins and consequences of affective polarization in the United States. Annual review of political science, 22, 129-146. https://doi.org/10.1146/annurev-polisci-051117-073034

Iyengar, S., Sood, G., & Lelkes, Y. (2012). Affect, not ideology: A social identity perspective on polarization. Public opinion quarterly, 76(3), 405-431. https://doi.org/10.1093/poq/nfs059

Jacoby-Senghor, D.S., Sinclair, S., & Smith, C.T. (2015). When bias binds: Effect of implicit outgroup bias on ingroup affiliation. Journal of personality and social psychology, 109(3), 415. https://doi.org/10.1037/a0039513

Kalmijn, M. (1998). Intermarriage and homogamy: Causes, patterns, trends. Annual Review of Sociology, 24(1), 395-421. https://doi.org/10.1146/annurev.soc.24.1.395

Lelkes, Y. (2021). Policy over party: comparing the effects of candidate ideology and party on affective polarization. Political Science Research and Methods, 9(1), 189-196. https://doi.org/10.1017/psrm.2019.18

Lelkes, Y., & Westwood, S.J. (2017). The limits of partisan prejudice. The Journal of Politics, 79(2), 485-501. https://doi.org/10.1086/688223

Lindskog, H., Dahlberg, S., Öhrvall, R., & Oscarsson, H. (2023). The Voter Next Door: Stigma Effects on Advance Voting for Radical Right Parties. Political Studies, 72(4), 1591-1608. https://doi.org/10.1177/00323217231216305

Mason, L. (2015). “I disrespectfully agree”: The differential effects of partisan sorting on social and issue polarization. American journal of political science, 59(1), 128-145. https://doi.org/10.1111/ajps.12089.

Mason, L. (2016). A cross-cutting calm: How social sorting drives affective polarization. Public Opinion Quarterly, 80(1), 351-377. https://doi.org/10.1093/poq/nfw001

Mason, L. (2018). Ideologues without issues: The polarizing consequences of ideological identities. Public Opinion Quarterly, 82(1), 866-887. https://doi.org/10.1093/poq/nfy005

Mason, L., & Wronski, J. (2018). One tribe to bind them all: How our social group attachments strengthen partisanship. Political Psychology, 39(s1), 257-277. https://doi.org/10.1111/pops.12485

Molenberghs, P. (2013). The neuroscience of in-group bias. Neuroscience & Biobehavioral Reviews, 37(8), 1530-1536. https://doi.org/10.1016/j.neubiorev.2013.06.002

Ondercin, H. L., & Lizotte, M. K. (2021). You’ve lost that loving feeling: How gender shapes affective polarization. American Politics Research, 49(3), 282-292. https://doi.org/10.1177/1532673x20972103

Parker, M. T., & Janoff-Bulman, R. (2013). Lessons from morality-based social identity: The power of outgroup “hate,” not just ingroup “love”. Social Justice Research, 26(1), 81-96. https://doi.org/10.1007/s11211-012-0175-6

Rodon, T. (2022). Affective and territorial polarisation: the impact on vote choice in Spain. South European Society and Politics, 27(1), 147-169. https://doi.org/10.1080/13608746.2022.2044235

Rojo-Martínez, J. M., & Crespo-Martínez, I. (2023). “Lo político como algo personal”: una revisión teórica sobre la polarización afectiva. Revista de Ciencia Política, 43(1), 25-48. https://doi.org/10.4067/s0718-090x2023005000102

Rojo-Martínez, J. M., Crespo-Martínez, I., & Mora-Rodríguez, A. (2023). Intergroup Emotional Dynamics: An Analysis of the Characteristics of Affectively Polarised Spanish Voters. Revista Española de Investigaciones Sociológicas (REIS), (184), 205-242. https://doi.org/10.5477/cis/reis.184.105

Romero-Martín, G., Caraballo-Pou, M.Á., & Merchán-Hernández, C. (2024). Individual and institutional dimensions of affective polarisation: A proposal for an analytical framework. Revista Española de Sociología (RES), 33(1), a206. https://doi.org/10.22325/fes/res.2024.206

Rudolph, T.J., & Hetherington, M.J. (2021). Affective polarization in political and nonpolitical settings. International Journal of Public Opinion Research, 33(3), 591-606. https://doi.org/10.1093/ijpor/edaa040

Simón, P. (2022). Two-bloc logic, polarisation and coalition government: the November 2019 general election in Spain. En A. Bosco, y S. Verney (Eds.), The Politics of Polarisation (pp. 280-310). Routledge. https://doi.org/10.4324/9781003317012-13

Tajfel, H. (1970). Experiments in intergroup relations. Scientific American, 223(5), 96-102. https://doi.org/10.1038/scientificamerican1170-96

The Jamovi Project. (2022). Jamovi (2.3).

Torcal, M. (2023). De votantes a hooligans. La polarización política en España. Catarata.

Turner, J. C., Brown, R. J., & Tajfel, H. (1979). Social comparison and group interest in ingroup favouritism. European Journal of Social Psychology, 9(2), 187-204. https://doi.org/10.1002/ejsp.2420090207

Wagner, M. (2021). Affective polarization in multiparty systems. Electoral Studies, 69, 102199. https://doi.org/10.1016/j.electstud.2020.102199