Artículos / Articles

DOI: 10.22325/fes/res.2025.249

Conexiones que importan: el papel del apoyo social en la relación entre estrés laboral y salud mental de las científicas españolas


Connections that matter: the role of social support in the relationship between work stress and mental health of Spanish scientists



Patricia Sánchez-Holgado * ORCID

Departamento de Sociología y Comunicación. Universidad de Salamanca, Salamanca, España. patriciasanc@usal.es. Email

Laura Rodríguez-Contreras ORCID

Departamento de Sociología y Comunicación. Universidad de Salamanca, Salamanca, España. laurarodriguezcontreras@usal.es. Email

Yangjian Xiang ORCID

Departamento de Sociología y Comunicación. Universidad de Salamanca, Salamanca, España. idu042865@usal.es. Email

Revista Española de Sociología (RES), Vol. 34 Núm. 1 (Enero - Marzo, 2025), a249. pp. 1-20. ISSN: 1578-2824


Recibido / Received: 23/01/2024
Aceptado / Accepted: 16/01/2025



RESUMEN

El estrés laboral es un factor que impacta negativamente en la salud mental. El objetivo de este trabajo es analizar los factores que pueden tener un efecto en la salud mental de las mujeres que trabajan en la ciencia y la investigación científica en España. Se examina la relación entre estrés laboral y salud mental, así como la influencia del apoyo social y la edad. Para ello se llevó a cabo una encuesta a 231 participantes, que se analizó con un enfoque descriptivo y un análisis de moderación y de mediación utilizando regresión lineal múltiple. Los resultados revelaron que existe una correlación estadísticamente significativa en la relación entre el estrés y la salud mental. Aunque no se encontró un efecto de moderación del apoyo social entre el estrés y la salud mental, los hallazgos indicaron que el apoyo social de una persona especial sí actuó como un mediador relevante. Aquellas personas que recibieron este tipo de apoyo experimentaron una reducción en su nivel de estrés y una mejora en su salud mental. En este sentido, se hace necesario mejorar las políticas laborales basadas en el apoyo, en la distribución equitativa de las tareas de cuidado y las políticas institucionales que contribuyan a la creación de un entorno más favorable a la salud mental óptima.

Palabras clave: salud mental, estrés laboral, apoyo social, investigadores académicos, género.


ABSTRACT

Work stress is a factor that negatively impacts mental health. The aim of this work is to analyse the factors that may have an effect on the mental health of women working in science and scientific research in Spain. The relationship between work-related stress and mental health is examined, as well as the influence of social support and age. To this end, a survey was carried out on 231 participants, which was analysed using a descriptive approach and a moderation and mediation analysis using multiple linear regression. The results revealed that there is a statistically significant correlation in the relationship between stress and mental health. Although a moderation effect of social support between stress and mental health was not found, the findings indicated that social support from a special person did act as a relevant mediator. Those people who received this type of support experienced a reduction in their stress level and an improvement in their mental health. In this regard, it is necessary to improve labour policies based on support, the equitable distribution of care tasks and institutional policies that contribute to the creation of an environment more favourable to optimal mental health.

Keywords: Mental health, stress, social support, academic researchers, gender.




INTRODUCCIÓN


La ansiedad, la depresión y otros trastornos que afectan a la salud mental han sido parte de la vida humana desde siempre, afectando al trabajo, a la vida y al desarrollo personal. Los asuntos de salud mental pueden considerarse un problema generalizado pero que ha sido considerado del ámbito privado y en ciertas épocas históricas un tabú. Según Naciones Unidas la salud mental se puede definir como un estado de bienestar en el que un individuo se da cuenta de sus propias capacidades y puede hacer frente a las tensiones normales de la vida, trabajar productivamente y hacer una contribución a su comunidad. En el caso de los niños, niñas y adolescentes, se refiere a la capacidad de lograr y mantener un funcionamiento y bienestar psicológico óptimos (United Nations, 2017).

Se estima que alrededor de mil millones de personas en todo el mundo padecen algún tipo de enfermedad mental y durante el período de pandemia por COVID-19, en 2020, los casos de depresión y ansiedad aumentaron más del 25% (World Health Organization [WHO], 2022). Por otro lado, pero directamente relacionado, la tasa de suicidios en España sigue aumentando. Según los datos oficiales del Instituto Nacional de Estadística (INE) en 2023 hubo 4.116 suicidios en España, lo que supone un aumento considerable en comparación con 2019 (3.671 suicidios) (Instituto Nacional de Estadística [INE], 2024; Confederación Salud Mental España, 2021). En este contexto los riesgos de la salud mental y la necesidad de tratamientos se han abierto al debate público y social, y se han desarrollado medidas desde las áreas de salud pública, como la nueva estrategia de salud mental propuesta por el gobierno en 2023, 1 que la señala como una prioridad dentro del ámbito sanitario.

Haro et al., (2006) en el Estudio Europeo de la Epidemiología de los Trastornos Mentales describieron que un 15,7% de los hombres y un 22,9% de las mujeres en España presentaron alguna vez en la vida un trastorno mental (las mujeres mostraron mayores niveles de ansiedad y trastornos emocionales, mientras que los hombres tienen una mayor prevalencia de trastornos relacionados con el uso de sustancias), e indicaron que las tasas son más altas entre las personas con un estatus socioeconómico inferior (en términos de ingresos, educación y empleo), pero son más bajas entre las personas casadas en comparación con las solteras.

Ello muestra que la salud mental o los problemas de salud no son compartimentos estancos, sino que se ven condicionados por factores personales y externos (Comisión Europea, 2023). Por lo tanto, la salud mental merece al menos el mismo nivel de atención que la salud física.

Con todo ello, el objetivo principal de esta investigación es analizar los factores que pueden tener un efecto en la salud mental de las mujeres que trabajan en el área de la ciencia y la investigación científica en España.


MARCO TEÓRICO


Entre los diversos factores que influyen en la salud mental, el estrés laboral se da en el ámbito profesional, vinculado a variables como fatiga, depresión o ansiedad y tiene efectos adversos claros en los trabajadores (Boyd, 1997), como la inestabilidad emocional que impide ejercer sus tareas correctamente (Díaz et al., 2019), o la falta de capacidad respuesta frente a las presiones laborales (Navinés et al., 2021).

Una de sus patologías comunes es el síndrome de desgaste profesional o burnout, considerado un trastorno que ocurre como resultado del estrés crónico en el lugar de trabajo que no se ha manejado con éxito (Organización Mundial de la Salud, 2023).

Lundberg (1986) descubrió que, cuando se observan medidas fisiológicas, en todos los niveles ocupacionales, las mujeres que trabajan en entornos laborales estresantes obtienen puntuaciones significativamente más bajas en variables de salud, en comparación con los hombres. Por otra parte, las mujeres también informan que el estrés laboral interfiere más en su vida personal, lo cual puede ser un reflejo de la mayor carga de responsabilidades familiares que asumen (Doyle y Hind, 1998).

En el ámbito académico, los estudios previos indican que el personal presenta niveles más altos de estrés psicológico y niveles más bajos de satisfacción laboral en comparación con otros grupos profesionales (Kinman, 2001; Kinman y Jones, 2003; Winefield et al., 2003). Además, el trabajo se presenta como la causa más importante de estrés en sus vidas y la investigación como la principal causa de estrés en el trabajo (Abouserie, 1996; Thorsen, 1996). Los académicos que trabajan más de 50 horas a la semana, o que se llevan trabajo a casa con regularidad, presentan una salud psicológica significativamente peor (Kinman et al., 2006), y en estudiantes de doctorado o postgrado hay preocupantes síntomas de ansiedad y/o depresión (ya sean moderados o graves) demostrados en estudios previos (Hall, 2023; Chirikov et al., 2020; Sorrel et al., 2020; Evans et al., 2018; Levecque et al., 2017). La falta de atención a la salud mental de los empleados puede disminuir la calidad de la investigación y provocar la pérdida de talento en la investigación (Wellcome, 2020).

Los efectos del estrés son diferentes en función de factores como el género, la etnia, la clase social, o la situación familiar, y pueden afectar de manera interseccional a la salud mental. En cuanto al factor género, hombres y mujeres presentan diferencias en el impacto que ejerce el estrés laboral sobre su salud mental. Las dinámicas de género en los contextos académicos actuales siguen siendo muy complejas, desde el enfoque de igualdad hasta el capitalismo académico. La precariedad laboral se asocia significativamente con mala salud mental en hombres y en mujeres, aunque dimensiones específicas como el nivel salarial o la vulnerabilidad (mayor en mujeres) se relacionan con un peor estado de salud mental (Valero et al., 2022). Las mujeres, en sus primeros años de carrera profesional experimentan un mayor grado de estrés que los hombres (Garcés-Delgado et al., 2023). En la productividad académica, especialmente en publicaciones o citas, las mujeres se enfrentan a barreras como la falta de tiempo para la investigación, la sobrecarga de trabajo administrativo y de enseñanza y el sesgo en las redes de citación (Dorantes-Gilardi et al., 2022; Segado-Boj et al., 2021; Huang et al., 2020). Desde la perspectiva de género, los usos del tiempo dedicado al trabajo de cuidados y doméstico ha sido largamente estudiados (Moreno-Colom et al., 2023; Selma Penalva, 2019; López y Rasskin-Gutman, 2019; Gamboa Solís y Pérez Abreu, 2017; Pacheco Ladrón de Guevara, 2017; Arriagada, 2005).

Las mujeres que trabajan en el sistema científico y académico suelen enfrentar una doble carga de trabajo, el laboral y el cuidado no remunerado, ya sea de hogar, mayores o hijos, lo que crea un estrés adicional por la gestión de sus responsabilidades.

Este trabajo de cuidados de las mujeres -tradicionalmente circunscrito al ámbito privado- se replica en la universidad tanto respecto de sus pares hombres como con estudiantes, principalmente a partir de su inserción predominante en labores de gestión universitaria (Crocco-Valdivia y Galaz-Valderrama, 2023). El cuidado es una fuente de recursos invisibles, que no se recogen en indicadores económicos, pero que supone un coste para las personas sobre las que recae, mayoritariamente las mujeres (Durán, 2018a; Durán, 2018b). El cuidado es “una actividad relacional, con varias dimensiones, aparte de la material, ya que involucra además una dimensión emocional (afectos, emociones, sentimientos, implicados en el cuidado), y otra dimensión moral (la responsabilidad que se adquiere, quién se siente llamado a cuidar y cómo lo hace)” (Martín Palomo y Damamme, 2020, p. 206)

De este modo la desigual distribución de las tareas en las sociedades occidentales afecta en mayor medida a las mujeres, en el ámbito personal hacia dimensiones como la salud, la economía o las relaciones sociales (Rogero-García, 2010), mientras que en la academia las cargas de trabajo no reconocidas formalmente afectan a su participación en actividades de investigación (Pérez-Sedeño y Ortega, 2017), y en muchas ocasiones el apoyo necesario para equilibrar las responsabilidades de cuidado y laborales es insuficiente o no existe.

Otro factor relevante de la desigualdad de género es la falta de políticas laborales flexibles, de conciliación o más apoyo institucional que facilite el cuidado, lo que se puede equiparar a una red de apoyo en el ámbito familiar privado y del mismo modo ser determinante para aliviar la carga. Esto no solo agrava el estrés laboral, sino que también afecta al desarrollo personal y profesional, afectando de manera desproporcionada a las mujeres en la academia española (Montes-López y Simbürger, 2021).

El acceso al capital social y a las redes de apoyo puede ser más limitado en los ambientes académicos, donde las jerarquías están dominadas por hombres (van Helden, 2023; van Emmerik, 2006), lo que puede afectar a la percepción de apoyo social disponible y real que presentan las mujeres.

El apoyo social puede definirse en términos generales como la disponibilidad de relaciones de ayuda y la calidad de esas relaciones (Leavy, 1983). El concepto de apoyo se considera una sensación cognitiva, donde no se trata de recibir un apoyo real o sistemático, sino más bien una sensación general de tener un entorno constructivo, preocupado, atento, comprensivo y tranquilizador (Dericks et al., 2019). El apoyo social percibido es la percepción individual de que se recibirá ayuda cuando sea necesario. El apoyo social proveniente de un grupo social permite a las personas hacer frente a eventos estresantes (Atri y Sharma, 2006; McCorkle et al., 2008).

A lo largo del tiempo, los investigadores en ciencias sociales han intentado identificar los factores que reducen o eliminan los impactos negativos del estrés en el entorno laboral y el apoyo social de la familia o amigos es uno de los que ha demostrado tener efecto regulador beneficioso en la relación entre trabajo y estrés (Wu et al., 2021) y una asociación positiva con la salud mental (Barrón López de Roda y Sánchez Moreno, 2001). A medida que aumenta el nivel percibido de apoyo social, la relación entre el estrés y la tensión laboral disminuye, es decir, las personas con altos niveles de apoyo social mostrarán menos estrés laboral (Blau, 1981; Ganster et al.,1986; Sears et al., 2000) y el apoyo social del supervisor reduce los efectos nocivos del conflicto trabajo-familia sobre el agotamiento profesional (Rhnima et al., 2016). Existe un óptimo apoyo social cuando el apoyo social percibido y el apoyo social real se alinean (Onuoha y Idemudia, 2020).

Por otro lado, el apoyo social como moderador ha generado controversia, ya que algunos estudios lo corroboran (Cobb, 1976; House y Wells, 1978), mientras que otros no (LaRocco y Jones, 1978; Hogan et al., 2002). Otros autores apuntan a que el apoyo social puede ser un modulador del impacto de las fuentes de estrés en la depresión y las molestias físicas, por lo que cuando hay altos niveles de apoyo social, el impacto de las fuentes de estrés se reduce (LaRocco et al., 1980; Ganster et al.,1986).

El objetivo principal que se plantea esta investigación es analizar el estrés y el apoyo social, como factores que tienen efectos sobre la salud mental de las mujeres que trabajan en investigación y ciencia en España, y en base a ello enunciamos las siguientes hipótesis (Se expone el modelo de investigación en la Figura 1):

  • H1. El estrés percibido ejerce un efecto directo negativo sobre la salud mental de las mujeres investigadoras españolas.

  • H2. El apoyo social percibido es un moderador de la relación de influencia entre el estrés y la salud mental de las mujeres investigadoras españolas, de manera que, a mayor apoyo social percibido, menor efecto del estrés sobre la salud mental de las mujeres investigadoras españolas.

  • H3. La edad es un moderador de la relación de influencia entre el estrés y la salud mental de las mujeres investigadoras españolas, de manera que, a mayor edad, menor efecto del estrés sobre la salud mental de las mujeres investigadoras españolas.

  • H4. El apoyo social y la edad son moderadores de la relación de influencia entre el estrés y la salud mental de las mujeres investigadoras españolas, de manera que, a mayor apoyo social percibido, menor efecto del estrés sobre la salud mental y a mayor edad, menor efecto del estrés sobre la salud mental de las mujeres investigadoras españolas.


Figura 1 Modelo de investigación de la relación entre el estrés y la salud mental, moderado por el apoyo social y la edadv34n1a1image001.png



METODOLOGÍA


Participantes

La muestra de conveniencia estaba comprendida por 231 registros de mujeres investigadoras de cualquier área científica de España (M años = 49,94, DE = 11,09, rango de edad = de 25 a 75). Las Comunidades Autónomas más presentes fueron Madrid (26,52%), Cataluña (13,04%), Valencia (11,30%), Andalucía (12,61%) y Aragón (11,74%). Se recogió el consentimiento informado de todas las participantes, respetando las normativas éticas y deontológicas y los datos fueron anonimizados para su tratamiento.

Instrumento y medidas

En primer lugar, se consideraron las variables sociodemográficas: edad (divididas en grupos de 18-25, 26-35, 36-45, 46-55, 56-65, más de 66), estado civil (Soltera/ Pareja de hecho/ Casada / Separada / Divorciada / Viuda), comunidad autónoma de residencia y circunstancias familiares (tener hijos menores o mayores de edad, o no tener hijos).

Salud mental auto-percibida. Se utilizó el cuestionario GHQ-12 (Goldberg y Williams, 1988), test auto-administrado de cribado que identifica el malestar psicológico y detecta trastornos comunes en la población general (Goldberg y Williams, 1988; McDowell, 2006) y es uno de los instrumentos de cribado validado más utilizado (Brabete, 2014). Consta de 12 ítems, distribuidos en positivos (ítems 1, 3, 4, 7, 8 y 12) y negativos (ítems 2, 5, 6, 9, 10 y 11), cada uno de los cuales evalúa la gravedad de un problema mental durante los últimos meses utilizando una escala tipo Likert de 4 puntos (desde 0 = Nunca / No, en absoluto a 3 = Siempre / Mucho más de lo habitual). La puntuación se utiliza para generar un índice total, que va desde 0 hasta 36, sumando todos los valores obtenidos en los enunciados de la escala (a medida que aumentan las puntuaciones disminuye el nivel de salud mental; valores positivos α = 0.85, M =3.09, DE = 0.75; valores negativos α = 0.84, M = 3.53, DE = 0.62).

Apoyo social percibido. Se utilizó la escala multidimensional de apoyo social percibido (MSPSS) (Zimet et al., 1988), que se compone de 12 ítems sobre el apoyo social percibido de tres fuentes: familia (ítems 1, 2, 3, y 4; α = 0.93), amigos (ítems 5, 6, 7, y 8; α = 0.93) y pareja/persona especial (ítems 9, 10, 11 y 12; α = 0.97), utilizando una escala Likert de 5 puntos (desde 1 = totalmente en desacuerdo hasta 5 = totalmente de acuerdo).

Estrés percibido. Se utilizó la Escala de Estrés Percibido (Perceived Stress Scale, PSS) de Cohen et al. (1983) . Esta escala es un instrumento de auto informe que evalúa el nivel de estrés percibido durante los últimos meses. Consta de 14 ítems de carga positiva (ítems 1, 2, 3, 8, 11, 12, y 14; α= 0.82) o negativa (4, 5, 6, 7, 9, 10, y 13; α = 0.80; desde 0 = nunca, hasta 4 = muy a menudo. Se detallan los indicadores utilizados en las escalas en la tabla 1.


Tabla 1 Variables, escalas y medias por ítems.

M DE
Salud mental auto-percibida
POSITIVO 1 ¿Ha podido concentrarse bien en lo que hace? 1.91 0.59
NEGATIVO 2 ¿Sus preocupaciones le han hecho perder mucho el sueño? 1.34 0.84
POSITIVO 3 ¿Ha sentido que está desempeñando un papel útil en la vida? 1.65 0.80
POSITIVO 4 ¿Se ha sentido capaz de tomar decisiones? 1.42 0.76
NEGATIVO 5 ¿Se ha sentido constantemente agobiada y en tensión? 1,41 0,85
NEGATIVO 6 ¿Ha sentido que no puede superar sus dificultades? 1.04 0.84
POSITIVO 7 ¿Ha sido capaz de disfrutar de sus actividades normales de cada día? 1.69 0.68
POSITIVO 8 ¿Ha sido capaz de hacer frente adecuadamente a sus problemas? 1.63 0.67
NEGATIVO 9 ¿Se ha sentido poco feliz o deprimida? 1.04 0.82
NEGATIVO 10 ¿Ha perdido confianza en sí misma? 0.93 0.87
NEGATIVO 11 ¿Ha pensado que usted es una persona que no vale para nada? 0,54 0,82
POSITIVO 12 ¿Se siente razonablemente feliz considerando todas las circunstancias? 1.47 0.72
Apoyo social percibido 4.27 0.72
FAMILIA 1 Mi familia realmente intenta ayudarme 4.26 1.03
FAMILIA 2 Obtengo la ayuda emocional y el apoyo que necesito de mi familia 4.17 1.05
FAMILIA 3 Puedo hablar de mis problemas con mi familia 4.13 1.09
FAMILIA 4 Mi familia está dispuesta ayudarme a tomar decisiones 4.17 1.04
AMIGOS 1 Mis amigos(as) realmente tratan de ayudarme 4.17 0.88
AMIGOS 2 Puedo contar con mis amigos(as) cuando las cosas van mal 4.27 0.89
AMIGOS 3 Tengo amigos(as) con los que puedo compartir mis alegrías y tristezas 4.33 0.94
AMIGOS 4 Puedo hablar de mis problemas con mis amigos(as) 4.29 0.94
PERSONA ESPECIAL 1 Hay una persona especial que está cerca cuando lo necesito 4.40 0.99
PERSONA ESPECIAL 2 Hay una persona especial con quien puedo compartir mis alegrías y tristezas 4.43 0.99
PERSONA ESPECIAL 3 Tengo una persona especial que es una verdadera fuente de consuelo para mí 4.31 1.02
PERSONA ESPECIAL 4 Hay una persona especial en mi vida que se preocupa por mis sentimientos 4.37 1.02
Estrés percibido
POSITIVO 1 ¿Ha estado afectada por algo que ha ocurrido inesperadamente? 1.91 1.04
POSITIVO 2 ¿Se ha sentido incapaz de controlar las cosas importantes en su vida? 1.58 1.09
POSITIVO 3 ¿Se ha sentido nerviosa o estresada? 2.50 1.02
NEGATIVO 4 ¿Ha manejado con éxito los pequeños problemas irritantes de la vida? 1.24 0.76
NEGATIVO 5 ¿Ha sentido que ha afrontado efectivamente los cambios importantes que han estado ocurriendo en su vida? 1.40 1.03
NEGATIVO 6 ¿Ha estado segura sobre su capacidad para manejar sus problemas personales? 1.28 0.90
NEGATIVO 7 ¿Ha sentido que las cosas le van bien? 1.23 0.88
POSITIVO 8 ¿Ha sentido que no podía afrontar todas las cosas que tenía que hacer? 2.12 1.15
NEGATIVO 9 ¿Ha podido controlar las dificultades de su vida? 1.23 0.88
NEGATIVO 10 ¿Ha sentido que tenía todo bajo control? 1.88 0.97
POSITIVO 11 ¿Ha estado enfadada porque las cosas que le han ocurrido estaban fuera de su control? 1.84 1.10
POSITIVO 12 ¿Ha pensado sobre las cosas que le quedan por hacer? 3.07 0.89
NEGATIVO 13 ¿Ha podido controlar la forma en que pasa el tiempo? 2.05 1.00
POSITIVO 14 ¿Ha sentido que las dificultades se acumulan tanto que no puede superarlas? 2.59 1.20


Procedimiento

Se realizó una encuesta online a mujeres investigadoras pertenecientes a cualquier área científica de España. Para ello, el cuestionario fue distribuido de forma online a través de la plataforma Qualtrics. Las respuestas se recogieron entre marzo y abril de 2023.

Análisis de datos

Se comenzó el análisis realizando una revisión de los datos después de codificarlos para detectar posibles errores. Los valores perdidos fueron estimados con la media. A continuación, con los datos depurados, se realizó un análisis descriptivo de todas las variables. Para contrastar las hipótesis planteadas se llevó a cabo un análisis de moderación con la macro PROCESS v.4.2 para SPSS v.28 (Modelo 1 y 3) (Hayes, 2022). Este método está basado en el análisis de regresión lineal múltiple estimado por mínimos cuadrados ordinarios (OLS).


RESULTADOS


Análisis preliminares

A través de un ANOVA de un factor, se observó que existían diferencias en el bienestar y estrés en función del grupo de edad (p < 0,001). El grupo de edad de entre 26 a 35 años (M = 2,25, DE = 0,61), mostró mayores niveles de estrés con respecto a las personas de 46 a 55 años (p = 0,01), de 56 a 65 años (p = 0,001) y aquellas de 66 o más años (p = 0,002). En el caso del bienestar, las personas jóvenes (M = 4,55, DE = 0,00) o mayores de 66 años (M = 4,31, DE = 0,52), eran los que reportaron mayores niveles de bienestar con respecto al resto de grupos de edad. Así mismo, se observaron correlaciones estadísticamente significativas entre la salud metal, el apoyo social y el estrés. Es decir, a mayores niveles de estrés, peor salud mental (r(228) = 0,78, p < 0,001) y a menor apoyo social, peor salud mental (r(223) = 0,.247, p < 0,001).

Análisis de moderación de las variables apoyo social y edad

El modelo hipotetizado presentado en la figura 1 esperaba observar un efecto de interacción estadísticamente significativo entre el estrés y la salud mental moderado por la edad y el apoyo social. En primer lugar, se realizó un análisis de moderación con el modelo 1 de PROCESS (Hayes, 2022) (figura 2). Se observó un efecto estadísticamente significativo y positivo entre el estrés y la salud mental (B = 0,71, SE = 0,19, p < 0,001), lo que significa que, a mayores niveles de estrés por parte de las mujeres investigadoras, peor salud mental (Tabla 2). Esto confirma H1, que enunciaba que el estrés percibido ejerce una influencia directa negativa sobre la salud mental de las mujeres investigadoras españolas.


Figura 2 Moderador apoyo social

v34n1a1image002.png

Coeficientes no normalizados de regresión (B) *** = P < 0,001


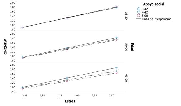
Ahora bien, no se observó un efecto del apoyo social sobre la salud mental (B = -0,00, SE = 0,09, p = 0,98) y, por tanto, no existe un efecto de interacción o de moderación del apoyo social entre la relación de estrés y salud mental (Tabla 2). La H2, que enunciaba que el apoyo social percibido es un moderador de la relación de influencia entre el estrés y la salud mental de las mujeres investigadoras españolas, no recibió soporte empírico (Figura 3).


Figura 3 Moderador apoyo social visualización gráfica

v34n1a1image003.jpg


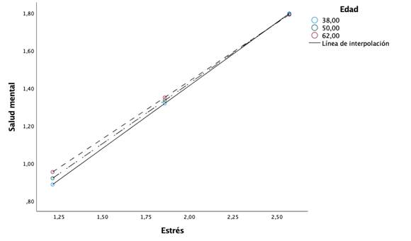
A continuación, se realizó un análisis de moderación con el modelo 1 de PROCESS (Hayes, 2022) con la variable edad como variable moderadora (figura 4).

Coeficientes no normalizados de regresión (B)

*** = P < 0,001


Figura 4 Moderador edadv34n1a1image004.png


Se observó un efecto estadísticamente significativo y positivo entre el estrés y la salud mental (B = 0,76, SE = 0,15, p < 0,001), lo que significa que, a mayores niveles de estrés por parte del personal investigador, peor salud mental (Tabla 2). Ahora bien, no se observó un efecto de la edad en la salud mental (B = -0,00, SE = 0,00, p = 0,91) y, por tanto, no existe un efecto de interacción o de moderación entre la edad en la relación de estrés y salud mental (Figura 5). Esto no apoya H3, que enunciaba que la edad es un moderador de la relación de influencia entre el estrés y la salud mental de las mujeres investigadoras españolas, de manera que, a mayor edad, menor efecto del estrés sobre la salud mental de las mujeres investigadoras españolas.


Figura 5 Moderador edad visualización gráfica

v34n1a1image005.jpg


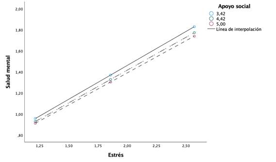
Finalmente, se llevó a cabo un análisis de moderación con el modelo 3 de PROCESS (Hayes, 2022) con la edad y la salud mental como variables moderadoras (figura 6)

No se observaron efectos entre el estré s (B = 0,03, SE = 0,92, p = 0,97), la edad ( B = - 0,00, SE = 0,03, p = 0,80) y el apoyo social ( B = - 0,18, SE = 0,45, p = 0,69) sobre la variable dependiente. (Tabla 2) Tampoco se observaron efectos de interacción entre las variables consideradas (p > 0,05), por lo tanto, la edad y el apoyo social no moderan el efecto del estrés sobre la salud mental de las mujeres investigadoras españolas (Figura 7). Con ello, la H4 no recibió apoyo empírico.


Figura 6 Moderadores apoyo social y edadv34n1a1image006.png

Coeficientes no normalizados de regresión (B) *** = P < 0,001



Figura 7 Moderadores apoyo social y edad, visualización gráfica

v34n1a1image007.jpg



Tabla 2 Efectos de las variables estrés, apoyo social y edad sobre la salud mental en los tres modelos analizados

GHQ (SALUD MENTAL) Coeficientes path (Estandarizados β) BootSE t p BootLLCI BootULCI
ESTRÉS -> GHQ 0,71 0,20 3,60 0,00*** 0,32 1,11
Apoyo Social -> GHQ 0,00 0,10 -0,03 0,98 -0,19 0,07
ESTRÉS * Apoyo Social -> GHQ -0,02 0,05 -0,46 0,65 -0,11 0,07
R2 = 0,61            
             
GHQ (SALUD MENTAL) Coeficientes path (Estandarizados β) BootSE t p BootLLCI BootULCI
ESTRÉS -> GHQ 0,76 0,15 4,91 0,00*** 0,45 1,06
Edad -> GHQ 0,01 0,01 0,91 0,36 -0,01 0,02
ESTRÉS * Edad -> GHQ 0,00 0,00 -0,73 0,47 -0,01 0,00
R2 = 0,62            
             
GHQ (SALUD MENTAL) Coeficientes path (Estandarizados β) BootSE t p BootLLCI BootULCI
ESTRÉS -> GHQ 0,03 0,93 0,03 0,97 -1,79 1,86
Apoyo Social -> GHQ -0,18 0,46 -0,40 0,69 -1,09 0,72
Edad -> GHQ -0,01 0,04 -0,25 0,81 -0,08 0,07
ESTRÉS*Apoyo Social -> GHQ 0,18 0,21 0,87 0,39 -0,24 0,60
ESTRÉS*Edad -> GHQ 0,01 0,02 0,82 0,41 -0,02 0,05
Apoyo Social * Edad -> GHQ 0,00 0,01 0,47 0,64 -0,01 0,02
ESTRÉS*Apoyo Social*Edad -> GHQ 0,00 0,00 -1,06 0,29 -0,01 0,00
R2 = 0,62            

Nota: *** = P < 0,001


Aunque no se detectaron efectos condicionales significativos de las variables moderadoras, a través de un modelo 4 (PROCESS versión 4.3.; 10000 muestras de boostraping) se observó que un mayor apoyo social mejoraba el bienestar de las personas (B = 0,19, SE = 0,05, p = 0,001) y, con ello, disminuía el estrés (B = -0,48, SE = 0,04, p < 0,001). De este modo se aprecia un efecto indirecto estadísticamente significativo en el cual el apoyo social reduce el estrés gracias al incremento del bienestar de las personas (B = -0,09, SE = 0,03, CI 95% [-.16008, -.0365]).

El apoyo social por parte de una persona especial puede ser un mediador relevante entre el estrés y la salud mental. El estrés se veía reducido cuando se incrementaba el apoyo en concreto de una persona especial (B = -0,30, SE = 0,11, p = 0,007) y esto, a su vez, incrementaba la salud mental de las personas (B = -0,04, SE = 0,02, p = 0,04). Es decir, se observó un efecto indirecto estadísticamente significativo donde el apoyo social de la persona especial ejercía como mediador relevante en dicha relación (B = 0,01, SE = 0,00, CI 95% [.0006, .0346]).




CONCLUSIONES Y DISCUSIÓN


Los problemas de salud mental son comunes y de larga duración, estrechamente relacionados con el estrés, que está presente en la vida cotidiana y constantemente amenaza la salud de las personas, e indirectamente afecta a las organizaciones y a la sociedad. La literatura previa demuestra que el estrés laboral tiene efectos generalmente adversos para los trabajadores, mientras que se ha observado que el apoyo social tiene efectos beneficiosos. La falta de apoyo en un ámbito laboral y personal puede afectar a los niveles de ansiedad, el agotamiento emocional, la tensión y la satisfacción laborales.

Para las personas que trabajan en la academia en concreto, el nivel de estrés psicológico es más alto, en comparación con otros grupos con una educación superior. En investigaciones anteriores se ha planteado que el apoyo social tiene un impacto significativo en la salud y la felicidad, y puede actuar como un amortiguador entre las fuentes de estrés y el bienestar. Las cuatro hipótesis que se han planteado en este estudio para analizar la relación entre la salud mental, el apoyo social y el estrés se han puesto a prueba con resultados diversos. En primer lugar, el análisis de moderación demostró una influencia positiva significativa entre el estrés y la salud mental (B = 0,71, SE = 0,19, p < 0,001), lo que indica que a medida que aumenta el nivel de estrés en las mujeres investigadoras, empeora su salud mental, lo que confirmó H1. En base a ello, el estrés percibido tiene un impacto directo negativo en la salud mental de las mujeres investigadoras en España. Se observó también que el apoyo social no tiene influencia en la salud mental (B = -0,00, SE = 0,09, p = 0,98), lo que indica que el apoyo social no interactúa ni modera la relación entre el estrés y la salud mental, con lo que H2 no quedó demostrada.

Por otra parte, se confirmó una influencia positiva significativa entre el estrés y la salud mental (B = 0,76, SE = 0,15, p < 0,001), pero no se encontró ninguna influencia de la edad en la salud mental (B = -0,00, SE = 0,00, p = 0,91), lo que indica que la edad no interactúa ni modera la relación entre el estrés y la salud mental. La H3 no ha sido soportada. Tampoco se observó ninguna influencia de la edad (B = -0,00, SE = 0,03, p = 0,80), el estrés (B = 0,03, SE = 0,92, p = 0,97) ni del apoyo social (B = -0,18, SE = 0,45, p = 0,69) en la variable dependiente. Por lo tanto, la edad y el apoyo social no moderaron el impacto del estrés en la salud mental de las mujeres investigadoras en España, lo que no apoya H4.

Esta investigación muestra que el apoyo social puede ser un elemento relevante para la reducción del estrés y mejora de la salud mental, pues se observó que el apoyo social, al mejorar el bienestar de las personas, reducía el estrés. Así mismo, se observó que aquellas personas que reciben más apoyo por parte de una persona especial reducen su estrés y, por tanto, su salud mental mejora.

Estos resultados aun siendo contradictorios en comparación con algunos estudios previos, resultan interesantes para el caso concreto de las mujeres investigadoras. En la literatura existen estudios que soportan el apoyo social como factor determinante, pero otros no. Se ha confirmado que el apoyo social aumenta la percepción de auto valía y confianza personal, sin embargo, ha existido controversia en los estudios empíricos sobre si el apoyo social actúa como un moderador. Tal como se avanzó previamente, algunas investigaciones han confirmado esta relación (House et al., 1979; Cobb, 1976; House y Wells, 1978), pero otras no presentaban evidencias (LaRocco y Jones, 1978; Hogan et al., 2002). En este trabajo los resultados no aportan tampoco esa evidencia de que el apoyo social sea un moderador con un efecto fuerte en la relación entre el estrés y la salud mental de las mujeres investigadoras, sin embargo, sí se demuestra que en el caso específico del apoyo social de una persona especial existe un efecto significativo que se debe considerar. Desde el punto de vista de las implicaciones prácticas, en el ámbito laboral el apoyo de una persona especial puede entenderse como figuras de mentoría, referentes o líderes que forman parte de una red de apoyo y la sustentan. Este capital social que las redes laborales ofrecen a las mujeres investigadoras se pone de manifiesto como recursos intangibles que a su vez reducen la carga de trabajo y facilitan el progreso profesional, de manera que el estrés laboral baja y por ende la salud mental mejora.

El rol que desempeña el apoyo social con respecto a la conciliación es que al participar de esas redes de apoyo la capacidad de las mujeres de gestionar la doble carga laboral (trabajo remunerado y no remunerado) es mayor y el capital social les permite delegar tareas o compartir responsabilidades, aumentando su resistencia al estrés. Los diferentes enfoques con que las ciencias sociales han abordado el estudio de los cuidados (trabajo, familia, infancia, vejez, migraciones, conciliación, discapacidad, educación, salud, entre otros muchos), han dado muestras de ser insuficientes para abarcar su complejidad y la de las estructuras de desigualdad de género, de clase social, de lugar de origen y de etnia que lo sustentan (Martín Palomo y Damamme, 2020, p. 206)

En este sentido, se hace necesario mejorar las políticas laborales basadas en el apoyo, en la distribución equitativa de tareas de cuidado y las facilidades disponibles, la lucha contra la precariedad o la racionalización de los horarios y de la burocracia. Este tipo de políticas institucionales contribuirá a la creación de un entorno más cohesivo, menos estresante, y por tanto más favorable a la salud mental óptima, aunque deben acompañarse de un cambio cultural que reconozca y valore los aportes tanto de hombres como de mujeres en el ámbito del cuidado.

Con respecto a algunas limitaciones encontradas, en primer lugar, la muestra se limitó a mujeres investigadoras, que trabajaban en el sector de ciencia y/o académico en España, lo que presenta limitaciones en términos de cantidad y categorías representadas. Además, la muestra en este estudio es femenina, con lo que no se han podido analizar las posibles diferencias de género. En segundo lugar, en el análisis de la moderación del apoyo social y la edad, no se tuvieron en cuenta factores como el estado civil de las investigadoras, las cargas familiares, o la influencia de su posición laboral, que pueden ser otros elementos para considerar al centrarnos en el ámbito laboral. Los instrumentos utilizados en este estudio, como por ejemplo el Cuestionario General de Salud (GHQ), pueden verse afectados por algunos factores relacionados con enfermedades, ya sean físicas o mentales, pero no se ha tenido en cuenta esta diferenciación en los análisis.

Considerando algunas líneas futuras de investigación, el apoyo social es de vital importancia para las personas que vivimos en sociedad y teniendo en cuenta los resultados incongruentes, es necesario avanzar con más investigación al respecto. En trabajos siguientes se puede profundizar en el apoyo social y analizar en mayor detalle los diferentes tipos de apoyo social, no sólo familia, amigos y persona especial. También se pueden estudiar las diferencias en el apoyo social obtenido en diferentes entornos sociales, así como las variaciones en los efectos del apoyo social en diferentes situaciones de estrés. Sería interesante explorar en qué circunstancias se obtiene el apoyo social óptimo y qué factores influyen en ello. Por otro lado, al conocer factores como el estrés, se reconoce que la ansiedad y la depresión pueden convertirse en enfermedades crónicas. Esto es especialmente relevante para los investigadores con interés en enfoques integrales a largo plazo para mejorar la salud mental, aumentar el nivel y la calidad de vida.



AGRADECIMIENTOS


Las autoras de este trabajo agradecen la colaboración y participación de la Asociación de Mujeres Investigadoras y Tecnólogas de España (AMIT) en este estudio




NOTAS


[2] Los autores declaran que no se ha realizado uso de la IA en la revisión de literatura, edición o revisión del borrador, análisis de datos, traducción, u otras funciones durante el proceso de elaboración de este trabajo.

Sugerencia de cita / Suggested citation: Sánchez-Holgado, P., Rodríguez-Contreras, L., y Xiang, Y. (2025). Conexiones que importan: el papel del apoyo social en la relación entre estrés laboral y salud mental de las científicas españolas. Revista Española de Sociología, 34(1), a249. https://doi.org/10.22325/fes/res.2025.249


REFERENCIAS


Abouserie, R. (1996). Stress, coping strategies and job satisfaction in university academic staff. Educational Psychology, 16(1), 49-56. https://doi.org/10.1080/0144341960160104

Arriagada, I. (2005). Los límites del uso del tiempo: Dificultades para las políticas de conciliación, familia y trabajo. En I. Arriagada (Ed.), Políticas hacia las familias, protección e inclusión sociales (pp. 131-148). Naciones Unidas. https://hdl.handle.net/11362/6808

Atri, A., & Sharma, M. (2006). Designing a mental health education program for South Asian international students in United States. Californian Journal of Health Promotion, 4(2), 144-154. https://doi.org/10.32398/cjhp.v4i2.1940

Barrón López de Roda, A., y Sánchez Moreno, E. (2001). Estructura social, apoyo social y salud mental. Psicothema, 13(19), 17-23. https://www.psicothema.com/pdf/408.pdf

Brabete, A. C. (2014). El Cuestionario de Salud General de 12 ítems (GHQ-12): estudio de traducción y adaptación de la versión rumana. Revista Iberoamericana de Diagnóstico y Evaluación-e Avaliação Psicológica, 1(37), 11-29. https://www.redalyc.org/pdf/4596/459645433002.pdf

Blau, G. (1981). An empirical investigation of job stress, social support, service length, and job strain. Organizational Behavior and Human Performance, 27(2), 279-302. https://doi.org/10.1016/0030-5073(81)90050-7

Boyd, A. (1997). Employee traps-corruption in the workplace. Management Review, 86(8), 9-10. https://link.gale.com/apps/doc/A20076969/AONE?u=anon~662ea3f9&sid=googleScholar&xid=c58ca7bc

Chirikov, I., Soria, K. M., Horgos, B., & Jones‐White, D. (2020). Undergraduate and graduate students’ mental health during the COVID‐19 pandemic. SERU Consortium, University of California ‐ Berkeley and University of Minnesota. https://hdl.handle.net/11299/215271

Cobb, S. (1976). Social support as a moderator of life stress. Psychosomatic Medicine, 38(5), 300-314. https://doi.org/10.1097/00006842-197609000-00003

Cohen, S., Kamarck, T., & Mermelstein, R. (1983). A global measure of perceived stress. Journal of Health and Social Behavior, 24(4), 385-396. https://doi.org/10.2307/2136404

Comisión Europea. (2023). Comunicación de la Comisión al Parlamento Europeo, al Consejo, al Comité Económico y Social Europeo y al Comité de las Regiones. https://eur-lex.europa.eu/legal-content/ES/TXT/PDF/?uri=CELEX:52023DC0298#:~:text=La%20salud%20mental%20o%20los,se%20ve%20influenciada%20por%20ellas

Confederación Salud Mental España. (2021). Informe sobre el estado de los derechos humanos de las personas con trastorno mental en España. https://consaludmental.org/centro-de-documentacion/publicaciones-de-salud-mental/informes-derechos-humanos/

Crocco-Valdivia, A. A., y Galaz-Valderrama, C. (2023). Mujeres en la academia: exploración de una organización generizada a partir de una revisión sistemática. Estudios Pedagógicos, 49(2), 439-454. https://doi.org/10.4067/S0718-07052023000200439

Dericks, G., Thompson, E., Roberts, M., & Phua, F. (2019). Determinants of PhD student satisfaction: the roles of supervisor, department, and peer qualities. Assessment & Evaluation in Higher Education, 44(7), 1053-1068. https://doi.org/10.1080/02602938.2019.1570484

Díaz, F., Guevara, S. E., y Vidaurre, W.E. (2019). Estrés laboral y clima organizacional en colaboradores del hospital Solidaridad, Chiclayo. UCV-HACER. Revista de Investigación, 8(1), 31-40. https://www.redalyc.org/articulo.oa?id=521758809014

Dorantes-Gilardi, R., Ramírez-Álvarez, A.A., & Terrazas-Santamaría, D., (2022). The role of highly intercited papers on scientific impact: the Mexican case. Applied Network Science, 7, 58. https://doi.org/10.1007/s41109-022-00497-5

Doyle, C. & Hind, P. (1998). Occupational stress, burnout and job status in female academics. Gender, Work & Organization, 5(2), 67-82. https://doi.org/10.1111/1468-0432.00047

Durán, M.A. (2018a). Las cuentas del cuidado. Revista Española de Control Externo, 20(58), 57-89. http://hdl.handle.net/10261/276262

Durán, M.A. (2018b). La riqueza invisible del cuidado. Universidad de Valencia.

Evans, T. M., Bira, L., Gastelum, J. B, Weiss, L. T., & Vanderford, N. L. (2018). Evidence for a mental health crisis in graduate education. Nature Biotechnology, 36(3), 282-284. https://doi.org/10.1038/nbt.4089

Gamboa Solís, F. M., y Pérez Abreu, A. M. (2017). Tiempo de academia y el poder ‘poder’de las mujeres en el desafío familia-trabajo. Las académicas de la Universidad Michoacana de San Nicolás de Hidalgo. La Ventana. Revista de estudios de género, 5(45), 241-268. https://doi.org/10.32870/lv.v5i45.5370

Ganster, D. C., Fusilier, M. R., & Mayes, B. T. (1986). Role of social support in the experience of stress at work. Journal of Applied Psychology, 71(1), 102-110. https://psycnet.apa.org/doi/10.1037/0021-9010.71.1.102

Garcés-Delgado, Y., García-Álvarez, E., López-Aguilar, D. y Álvarez-Pérez, P. R. (2023). Incidencia del género en el estrés laboral y burnout del profesorado universitario. Revista Iberoamericana sobre Calidad, Eficacia y Cambio en Educación, 21(3), 41-60. https://doi.org/10.15366/reice2023.21.3.003

Goldberg, D. P., & Williams, P. (1988). A user’s guide to the General Health Questionnaire. NFER-Nelson.

Hall, S. (2023). A mental-health crisis is gripping science-toxic research culture is to blame. Nature, 617(7962), 666-668. https://doi.org/10.1038/d41586-023-01708-4

Haro, J. M., Palacín, C., Vilagut, G., Martínez, M., Bernal, M., Luque, I., Codony, M., Dolz, M., y Alonso, J. (2006). Prevalencia de los trastornos mentales y factores asociados: resultados del estudio ESEMeD-España. Medicina Clínica, 126(12), 445-451. https://doi.org/10.1157/13086324

Hayes, A. F. (2022). Introduction to mediation, moderation, and conditional process analysis: A regression-based approach (3rd ed.). The Guilford Press.

Hogan, J. M., Carlson, J. G., & Dua, J. (2002). Stressors and stress reactions among university personnel. International Journal of Stress Management, 9, 289-310. https://doi.org/10.1023/A:1019982316327

House, J. S., & Wells., J. A. (1978). Occupational stress, social support, and health. En B. McLean & M. Colligan (Eds.), Reducing Occupational Stress. Proceedings of the Conference on Occupational Stress (pp. 78-140). Washington, DC: National Institute of Occupational Safety and Health.

House, J. S., Wells, J. A., Landerman, L. R., McMichael, A. J., & Kaplan, B. H. (1979). Occupational stress and health among factory workers. Journal of Health and Social Behavior, 20(2), 139-160. https://doi.org/10.2307/2136435

Huang, J., Gates, A. J., Sinatra, R., & Barabási, A. L. (2020). Historical comparison of gender inequality in scientific careers across countries and disciplines. Proceedings of the National Academy of Sciences, 117(9), 4609-4616.

Instituto Nacional de Estadística (INE) (2024). Defunciones según la causa de muerte en España. Secretaría de Estado de Economía y Apoyo a la Empresa. Ministerio de Economía, Comercio y Empresa del Gobierno de España https://www.ine.es/dyngs/INEbase/es/operacion.htm?c=Estadistica_C&cid=1254736176780&menu=ultiDatos&idp=1254735573175

Kinman, G. (2001). Pressure points: A review of research on stressors and strains in UK academics. Educational Psychology, 21(4), 473-492. https://doi.org/10.1080/01443410120090849

Kinman, G., & Jones, F. (2003). 'Running Up the Down Escalator': Stressors and strains in UK academics. Quality in Higher Education, 9(1), 21-38. https://doi.org/10.1080/13538320308162

Kinman, G., Jones, F., & Kinman, R. (2006). The Well‐being of the UK Academy, 1998-2004. Quality in Higher Education, 12(1), 15-27. https://doi.org/10.1080/13538320600685081

LaRocco, J. M., House, J. S., & French, J. R. (1980). Social support, occupational stress, and health. Journal of Health and Social Behavior, 21(3), 202-218. https://doi.org/10.2307/2136616

La Rocco, J. M., & Jones, A. P. (1978). Co-worker and leader support as moderators of stress-strain relationships in work situations. Journal of Applied Psychology, 63(5), 629-634. https://doi.org/10.1037/0021-9010.63.5.629

Leavy, R. L. (1983). Social support and psychological disorder: A review. Journal of Community Psychology, 11(1), 3-21. https://doi.org/10.1002/1520-6629(198301)11:1%3C3::AID-JCOP2290110102%3E3.0.CO;2-E

Levecque, K., Anseel, F., De Beuckelaer, A., Van der Heyden, J., & Gisle, L. (2017). Work organization and mental health problems in PhD students. Research Policy, 46(4), 868-879. https://doi.org/10.1016/j.respol.2017.02.008

López, E. M., y Rasskin-Gutman, I. (2019). Los retos de la conciliación de la vida personal, familiar y laboral percibidos por el profesorado femenino de universidades españolas. En L. I. Castañeda-Rentería, K. A. Contreras Tinoco, y M. F. Parga Jiménez (Coords.). Mujeres en las Universidades Iberoamericanas: la búsqueda de la necesaria conciliación trabajo-familia (pp. 247-268). Universidad de Guadalajara.

Lundberg, O. (1986) Class and health: comparing Britain and Sweden. Social Science and Medicine, 23(5), 511-517. https://doi.org/10.1016/0277-9536(86)90011-0

Navinés, R, Olivé, V., Fonseca, F. y Martín, R. (2021). Estrés laboral y burnout en los médicos residentes, antes y durante la pandemia por COVID-19: una puesta al día. Medicina Clínica, 157(3), 130-140. https://doi.org/10.1016/j.medcli.2021.04.003

Martín Palomo, M. T., y Damamme, A. (2020). Cuidados, en la encrucijada de la investigación. Cuadernos de Relaciones Laborales, 38(2), 205-216. https://doi.org/10.5209/crla.70878

McCorkle, B. H., Rogers, E. S., Dunn, E. C., Lyass, A., & Wan, Y. M. (2008). Increasing social support for individuals with serious mental illness: Evaluating the compeer model of intentional friendship. Community Mental Health Journal, 44, 359-366. https://doi.org/10.1007/s10597-008-9137-8

McDowell, I. (2006). Measuring health: a guide to rating scales and questionnaires. Oxford University Press.

Montes-López, E., & Simbürger, E. (2021). Juggling academics in the absence of university policies to promote work-life balance: A comparative study of academic work and family in Chile and Spain. Education Policy Analysis Archives, 29(August - December), 175. https://doi.org/10.14507/epaa.29.5751

Moreno-Colom, S., Borràs Català, V., y Rodríguez-Soler, J. (2023). Igualdad de género en los usos del tiempo: cambios, resistencias y continuidades. Perspectiva teórica y modelo de análisis. QUIT Working Paper Series, 29. https://ddd.uab.cat/record/286587

Onuoha, C. U., & Idemudia, E. S. (2020). Academic demands and mental health among undergraduate students in full-time employment: the moderating role of perceived social support. Journal of Psychology in Africa, 30(2), 89-95. https://doi.org/10.1080/14330237.2020.1712805

Organización Mundial de la Salud. (2023). International Classification of Diseases, Eleventh Revision (ICD-11). QD85 Burnout. https://icd.who.int/browse11/l-m/en#/http%3a%2f%2fid.who.int%2ficd%2fentity%2f129180281

Pacheco Ladrón de Guevara, L. C. (2023). Académicas universitarias: el tiempo entre los libros y el cuidado. Géneroos, 24(22), 9-30. https://revistasacademicas.ucol.mx/index.php/generos/article/view/1079

Pérez-Sedeño, E., y Ortega, C. (2017). Género y ciencia en la Universidad española: Reflexiones sobre la producción académica y la carga administrativa. Revista de Estudios de Género y Sexualidad, 9(2), 127-147.

Rhnima, A., Richard, P., Núñez, J. F., y Pousa, C. E. (2016). El conflicto trabajo-familia como factor de riesgo y el apoyo social del supervisor como factor protector del agotamiento profesional. Ciencia Ergo Sum, 23(3). https://www.redalyc.org/articulo.oa?id=10448076005

Rogero-García, J. (2010). Las consecuencias del cuidado familiar sobre el cuidador: Una valoración compleja y necesaria. Index de Enfermería, 19(1), 47-50. https://doi.org/10.4321/S1132-12962010000100010

Sears, S. F., Jr, Urizar, G. G., Jr, & Evans, G. D. (2000). Examining a Stress-Coping Model of Burnout and Depression in Extension Agents. Journal of Occupational Health Psychology, 5(1), 56-62. https://doi.org/10.1037/1076-8998.5.1.56

Segado-Boj, F., Prieto-Gutiérrez, J.-J., y Quevedo-Redondo, R. (2021). El Efecto Matilda en la red de coautorías Hispanoamericana en Comunicación. Revista Mediterránea de Comunicación, 12(2), 77. https://link.gale.com/apps/doc/A687770591/IFME?u=anon~fd9183dd&sid=googleScholar&xid=65a04340

Selma Penalva, A. (2019). La conciliación en la Universidad, ¿un asunto solo de mujeres?. Revista De Educación y Derecho, (20). https://doi.org/10.1344/REYD2019.20.30031

Sorrel, M. A., Martínez-Huertas, J. Á., & Arconada, M. (2020). It must have been burnout: Prevalence and related factors among Spanish PhD students. The Spanish Journal of Psychology, 23, e29. https://doi.org/10.1017/SJP.2020.31

Thorsen, E. J. (1996). Stress in academe: What bothers professors?. Higher Education, 31(4), 471-489. https://doi.org/10.1007/BF00137127

United Nations. (2017). Mental health and human rights. Asamblea General A/HRC/34/32. http://undocs.org/A/HRC/34/32

Valero, E., Utzetc, M., y Martína, U. (2022). ¿Cómo afectan las distintas dimensiones de la precariedad laboral a la salud mental?. Gaceta Sanitaria, 36(5), 477-483. https://doi.org/10.1016/j.gaceta.2021.11.006

van Emmerik, I. J. H. (2006). Gender differences in the creation of different types of social capital: A multilevel study. Social Networks, 28(1), 24-37. https://doi.org/10.1016/j.socnet.2005.04.002

van Helden, D. L., den Dulk, L., Steijn, B., & Vernooij, M. W. (2023). Gender, networks and academic leadership: A systematic review. Educational Management Administration & Leadership, 51(5), 1049-1066. https://doi.org/10.1177/17411432211034172

Wellcome. (2020, January 15). What researchers think about the culture they work in. https://wellcome.org/reports/what-researchers-think-about-research-culture

Winefield, A. H., Gillespie, N., Stough, C., Dua, J., Hapuarachchi, J., & Boyd, C. (2003). Occupational stress in Australian university staff: Results from a national survey. International Journal of Stress Management, 10(1), 51-63. https://doi.org/10.1037/1072-5245.10.1.51

World Health Organization [WHO]. (2022). COVID-19 pandemic triggers 25% increase in prevalence of anxiety and depression worldwide. https://www.who.int/news/item/02-03-2022-covid-19-pandemic-triggers-25-increase-in-prevalence-of-anxiety-and-depression-worldwide

Wu, F., Ren, Z., Wang, Q., He, M., Xiong, W., Ma, G., Fan, X., Guo, X., Liu, H. & Zhang, X. (2021). The relationship between job stress and job burnout: the mediating effects of perceived social support and job satisfaction. Psychology, Health & Medicine, 26(2), 204-211. https://doi.org/10.1080/13548506.2020.1778750

Zimet, G. D., Dahlem, N. W., Zimet, S. G., & Farley, G. K. (1988). The multidimensional scale of perceived social support. Journal of Personality Assessment, 52(1), 30-41. https://doi.org/10.1207/s15327752jpa5201_2