RESUMEN
El artículo realiza un análisis comparativo de los sistemas presidenciales de Argentina, Colombia, Chile y Uruguay, abarcando el período entre 1989 y 2022, con el objetivo de examinar los factores que motivan a una persona en la jefatura de un ministerio a buscar la candidatura presidencial. El argumento central sostiene que tanto el presidente en funciones como los partidos políticos tienen el propósito de aprovechar el paso de una persona por un Gabinete para impulsar su candidatura presidencial dentro de la organización política. Los casos seleccionados se justifican debido a la existencia de momentos históricos en los cuales ministros y ministras han dejado sus cargos para competir por la presidencia en estos países. La metodología empleada en este estudio sigue la lógica multi-método. Utilizando primero análisis cuantitativo de regresión logística, seguido de análisis cualitativo de prensa sobre trayectorias de ministros y ministras para respaldar el argumento teórico. Los resultados más notables destacan que contar con un perfil político, ser miembro del partido político del presidente y haber ejercido un ministerio político son factores influyentes al momento de postularse en las elecciones presidenciales.
Palabras clave: ministros, candidatos presidenciales, partidos políticos, América Latina.
ABSTRACT
The paper provides a comparative analysis of the presidential systems of Argentina, Colombia, Chile, and Uruguay, covering the period between 1989 and 2022, with the aim of examining the factors that motivate a person in the head of a ministry to seek the presidential candidacy. The central argument holds that both the incumbent president and the political parties have the purpose of taking advantage of a person’s passage through a Cabinet of State to boost his or her presidential candidacy within the political organization. The selected cases are justified due to the existence of historical moments in which ministers have left their posts to compete for the presidency in these countries. The methodology employed in this study follows a multi-method logic. First, quantitative logistic regression analysis is used, followed by qualitative press analysis of ministers’ careers to support the theoretical argument. The most notable results highlight that having a political profile, being a member of the president’s political party and having held a political ministry are influential factors when running in presidential elections.
Keywords: ministers, presidential candidates, political parties, Latin America.
En sistemas presidenciales, es frecuente que, cuando el líder ejecutivo no va a reelección, los ministros sean considerados como posibles candidatos presidenciales, ya que esto garantizaría la continuidad del gobierno. Ejemplos de esta dinámica son evidentes en varios países. Michelle Bachelet, quien ocupó los cargos de ministra de Salud y Defensa durante la administración de Ricardo Lagos en Chile (2000-2006), posteriormente asumió la presidencia en dos mandatos no consecutivos (2006-2010 y 2014-2018). En el caso de Colombia, Juan Manuel Santos, titular de Defensa durante el segundo mandato presidencial de Álvaro Uribe (2006-2010), marcó el comienzo de los dos períodos presidenciales consecutivos del premio Nobel de la Paz, logrando firmar acuerdos con una de las guerrillas más longevas de la región. En Argentina, durante el año 2023, Sergio Massa fue descrito como un “ministro de día y candidato de noche” (El País, 2023), ilustrando la dualidad de su rol como miembro del gabinete y aspirante presidencial.
Estas experiencias, junto con otros casos dentro de los mismos países, dan cuenta de la importancia que puede tener el desempeño en un gabinete en las aspiraciones políticas de los individuos. En términos generales, la literatura ha centrado su atención en el reclutamiento y selección de candidatos legislativos (Field y Siavelis, 2008), relegando a un segundo plano el análisis de ministros y ministras como posibles candidatos presidenciales. Aunque se han logrado avances significativos para comprender el comportamiento de selección de candidatos en el ámbito ejecutivo, este enfoque ha estado principalmente dirigido a cargos a nivel departamental o provincial, los cuales frecuentemente sirven como plataforma de lanzamiento para las candidaturas presidenciales (Morgenstern y Siavelis, 2008; Barrientos del Monte y Pantoja López, 2024). En este sentido, existen oportunidades para explorar en mayor profundidad los factores que influyen en la decisión de ministros y ministras de postularse a la presidencia.
En algunos países la precandidatura es formal y es la participación en una elección primaria dentro del partido (o coalición política), por ejemplo, el caso uruguayo. En otros países puede ser informal para simplemente posicionar un nombre ante la opinión pública para estudiar la viabilidad de la persona de cara a la contienda electoral. Aquí radica la importancia de estudiar más que la propia candidatura, el proceso inicial de precandidatura que le permita a un actor político avanzar electoralmente en sus aspiraciones por la presidencia de un país.
La literatura sobre candidaturas presidenciales ha focalizado su atención en tres áreas primordiales. La primera se centra en la organización del partido, donde se examina el papel del partido en la selección de candidatos y los mecanismos internos de democracia para elegir a los presidenciables (Aldrich, 1993; Wuhs, 2009; Freidenberg y Došek, 2016). La segunda, se enfoca en la campaña electoral, explorando la relación de los candidatos con la opinión pública y el papel de los medios de comunicación (Holbrook y McClurg, 2005; Dockendorff, 2010; Darr, 2018). La tercera perspectiva aborda el perfil del candidato, considerando aspectos como el género y las características personalistas u oportunistas del aspirante (Lawless, 2004; Brown, 2010; Guerrero y Arana, 2019). Con todo, ha habido un descuido en el estudio del cargo ministerial como una plataforma para impulsar candidaturas presidenciales (Olivares, 2018).
Al respecto, se debe considerar que cualquier desarrollo de una candidatura puede tener fases o etapas antes de ser oficialmente constituida como tal, es decir, antes de llegar a la papeleta. Normalmente en fases preliminares de la candidatura los potenciales aspirantes no reconozcan públicamente que son candidatos, aun cuando sus actos demuestren lo contrario. Por ejemplo, en Chile destaca el caso del ministro de Obras Públicas Ricardo Lagos durante el gobierno de Eduardo Frei (Olivares, 2022). En ese sentido, los ministerios pueden jugar como catalizador de aspiraciones progresivas hacia la presidencia de un país, pero antes de ser efectiva su candidatura la persona pasa por un proceso de precandidatura.
En este contexto, los casos de Argentina, Colombia, Chile y Uruguay se seleccionan como foco de interés debido a la ambición política evidenciada por sus actores políticos en estudios previos (Botero, 2008; Cintia, 2018; Chasquetti y Micozzi 2014; Huertas-Hernández y Sosa Londoño, 2023). Además, estos países exhiben similitudes desde la perspectiva de la organización del sistema de partido (Coppedge et al. 2023) y los niveles de competitividad por parte de las organizaciones políticas (Düpont et al., 2021). A pesar de estas similitudes, es importante destacar que estos países presentan diferencias en términos de desempeños democráticos.
Otro aspecto destacado se relaciona con la institucionalización del sistema de partidos. Según los hallazgos de Piñeiro y Rosenblatt (2020), se observa un crecimiento sostenido en Chile desde 1995 hasta 2015, mientras que en Argentina se han registrado retrocesos. En Colombia y Uruguay, por otro lado, se han experimentado fluctuaciones en este indicador. A esto se suma la baja presencia de outsiders en comparación con otros países de la región, como Ecuador, Perú o Bolivia (Carreras, 2012). Estos datos evidencian que, en los casos de interés, la organización partidaria desempeña un papel crucial para impulsar precandidaturas presidenciales. Todo esto considerando que los actores—que en el presente estudio son ministros y ministras—encuentran en los partidos políticos un vehículo electoral efectivo para dar continuidad a sus carreras políticas (Luna et al., 2021).
El argumento central del trabajo se sustenta en la teoría de la elección racional y de la ambición política ascendente (Black 1972; Botero 2011), considerando la estructura de oportunidades generada por el desempeño en el ministerio (Olivares, 2018; 2022). De esta manera, los ministros y ministras con aspiraciones políticas ambiciosas buscan maximizar sus opciones de cara a la contienda electoral. Por su parte, los partidos políticos procurarán capitalizar el reconocimiento y visibilidad que obtenga una persona al liderar un gabinete ministerial. Desde esta perspectiva, un ministro o ministra con ambiciones políticas orientadas hacia la presidencia buscará que el partido al que pertenece —preferiblemente el del presidente en funciones— aproveche su capital político para impulsar su precandidatura.
Para desarrollar este argumento, el artículo se estructura de la siguiente manera: en la primera parte se realiza un análisis de los enfoques existentes en la literatura y se destaca la ausencia de un marco teórico que explique la relación entre el paso por un gabinete ministerial y competir por la precandidatura presidencial. En la segunda sección, se propone una teoría para abordar este fenómeno y se resumen las hipótesis que serán corroboradas empíricamente. La tercera sección aborda los aspectos metodológicos del estudio, incluyendo la operacionalización y medición de las variables, junto con la presentación de los casos analizados. Posteriormente, se presentan y discuten los hallazgos empíricos, destacando el papel del perfil político de una persona a cargo de una cartera de Estado y su afiliación al partido del presidente en funciones al momento de postularse a la precandidatura presidencial. Finalmente, se ofrecen las conclusiones y reflexiones finales del estudio, así como las tareas pendientes para futuras investigaciones.
La literatura sobre candidaturas presidenciales ha explorado tres perspectivas clave. En la primera, como mencionamos anteriormente, se centra en aspectos relacionados con la organización del partido y el sistema de partidos. En este contexto, Duque Daza (2007), al analizar el período de 1974 a 2006 en Colombia, destaca que los partidos Liberal y Conservador han perdido relevancia electoral debido a la rutinización y centralización en los procesos de selección de candidatos presidenciales.
En un esfuerzo comparativo para América Latina, Siavelis y Morgenstern (2008) coordinan una obra que permite examinar el reclutamiento político y la selección de candidatos en seis países de la región: Argentina, Brasil, Chile, Colombia, México y Uruguay. En relación con los candidatos ejecutivos, identifican variables partidarias, como los vínculos de financiación, la organización partidaria y el grado de inclusividad, así como variables institucionales que resaltan los obstáculos para los candidatos independientes, las reglas mayoritarias o proporcionales, y la presencia o ausencia de reelección. La interacción de estas variables genera cuatro tipos de candidatos ejecutivos, lo que a su vez propicia variaciones en las estrategias durante la campaña electoral, en la formación del gabinete y en la relación con la legislatura. De manera similar, Luján (2017) analiza el costo de coordinar candidaturas presidenciales en 18 países de América Latina para el periodo comprendido entre 1993 y 2010. En su estudio, sostiene que la polarización ideológica y el nivel de volatilidad electoral son factores que influyen en el número de candidatos presidenciales.
En cuanto a la segunda perspectiva, el estudio de Darr (2018), centrado en el caso de Estados Unidos, destaca que, en las campañas presidenciales, la exposición en los medios locales juega a favor para capitalizar votos. Por su parte, Holbrook y McClurg (2005) demuestran que la capacidad de los partidos para movilizar a sus grupos centrales tiene un fuerte impacto en el éxito electoral, más allá del efecto directo de la actividad de campaña sobre los resultados electorales. Dockendorff (2010), al analizar el caso chileno, destaca el papel de las encuestas de opinión como mecanismo de selección y proclamación de los abanderados y candidatos presidenciales en los partidos políticos. Sin embargo, un problema en esta última línea de investigación es que, por lo general, las encuestas de opinión suelen medir a candidatos y no necesariamente a los precandidatos presidenciales, lo que dificulta encontrar series de datos que reflejen la popularidad de estos sujetos.
En la tercera perspectiva, centrada en las características personales de los candidatos, el trabajo de Lawless (2004) destaca el papel que juegan los rasgos y características de liderazgo masculinas, los cuales generan un mayor interés en las candidaturas de hombres frente a las de mujeres para el electorado estadounidense. Estos hallazgos sobre los rasgos que los ciudadanos desean en los candidatos presidenciales se alinean con varios estereotipos asociados a los hombres, como la dureza o la capacidad de liderazgo (Conroy, 2016). En relación con el perfil del candidato, Brow (2010) realiza un análisis histórico de las nominaciones presidenciales para acceder a la oficina oval. Demuestra que los aspirantes a la presidencia aprovechan de manera oportunista cuestiones como el paso por la vicepresidencia o tener familia en la política para obtener el respaldo de un partido político que les permita emprender la lucha por la presidencia estadounidense. A partir de los estudios presentados en las tres perspectivas de análisis en las que se ha enfocado la literatura sobre las candidaturas presidenciales, es válido considerar al partido político como un vehículo electoral que coordina las aspiraciones políticas (Luna et al., 2021).
En este sentido, los partidos políticos desempeñan la función de organizar a los aspirantes, es decir, a los precandidatos, para el máximo puesto ejecutivo de un país. La literatura discutida hasta ahora deja claro que la opinión pública y el género del candidato pueden impulsar o detener las ambiciones de un actor político para emprender una carrera política progresiva. En cuanto a la literatura sobre gabinetes ministeriales en regímenes presidenciales, las discusiones, según Camerlo (2013), han pasado por tres fases. La primera fase considera la conformación de gabinetes como una función unilateral del ejecutivo; la segunda se centra en el análisis de estrategias de negociación y gestión política; mientras que la tercera examina los perfiles de los ministros, incluyendo su trayectoria y carrera (véase: Albala et al., 2023, 2024; De Luca, 2011; Sotomayor Valarezo & Huertas-Hernández, 2017, 2021; Molina 2024). En esta última línea, es sensato referirse a algunas discusiones que pueden ayudar a esbozar argumentos para entender los posibles factores que llevan a algunos ministros a aventurarse en la contienda electoral con el objetivo de obtener, primero la precandidatura que le permita acceder a la candidatura presidencial.
En estudios previos, se ha evidenciado que características de los ministros, como la edad y la presencia de familia en la política, son variables que influyen en la ambición política de estos actores (Joignant, 2011; González-Bustamante y Garrido-Vergara, 2018). Además, la literatura sobre gabinetes ministeriales destaca otros aspectos, como el papel de los factores económicos, el perfil del ministro y la duración en el cargo (Camerlo y Pérez-Liñan, 2015; Mejía et al., 2021; Olivares, 2022). En relación con los estudios previos, es importante señalar, desde la revisión de la literatura, que solo hemos encontrado un estudio que examina de manera específica el papel del paso por el ministerio como un factor que impulsa la precandidatura presidencial. El trabajo exploratorio de Olivares (2018) se presenta como un estudio que proporciona ciertas pistas para desarrollar una teoría sobre los ministros como precandidatos para el máximo puesto ejecutivo de un país. No obstante, dicho aporte se realiza de manera inductiva, centrándose únicamente en el caso chileno y en un periodo temporal que abarca los ministerios durante los gobiernos de 1990 al 2014.
Lo discutido refuerza la falta de teorización que permita comprender los factores y elementos que influyen en la decisión de un ministro o ministra al momento de dejar su cartera de Estado para lanzarse a la campaña presidencial. Además, se evidencia que la literatura no ha profundizado en los elementos que motivan a un partido político a seleccionar a un miembro del gabinete en funciones para representar las banderas del partido en la contienda electoral. Estos son dos aspectos centrales para entender la discusión que se presenta en la siguiente sección.
Los caminos hacia la presidencia son variados e incluyen puestos legislativos, cargos ejecutivos subnacionales como alcaldías o gobernaciones, e incluso candidaturas outsiders (Siavelis y Morgenstern, 2008; Carreras, 2012). Sin embargo, ninguno de estos perfiles proporciona la misma exposición y visibilidad nacional que el cargo de un ministerio. El posible vínculo entre ser candidato presidencial —en sentido amplio incluyendo la candidatura formal e informal— mientras se ocupa un cargo en el gabinete de Estado se explica por las dinámicas propias de los sistemas presidenciales. En este tipo de gobierno, quienes están al frente de las carteras de Estado pueden generar un liderazgo mediático a nivel nacional debido a su gestión política y dirección técnica, con cierto grado de independencia del presidente. Esta independencia y liderazgo mediático individual del ministro o ministra puede ser beneficioso para ambas partes, ya que permite al presidente mostrar una buena gestión de gobierno mientras le otorga al miembro del gabinete capital político para continuar con sus ambiciones personales.
Por lo tanto, con el objetivo de identificar los factores que inciden en que una ministra o ministro decida emprender el camino electoral que le permita oficializar una candidatura presidencial, nuestro argumento se sustenta en la teoría de la elección racional y de la ambición política (Schlesinger, 1966; 1994; Abitbol y Botero, 2005). En consonancia con la teoría de la ambición política, se espera que en el gabinete ministerial exista una persona que busque una carrera progresiva, la cual debe ser viable a la luz de un partido. Esta situación se genera al maximizar la utilidad de un buen capital político y una imagen favorable ante la opinión pública, producto de la gestión del ministro en el cargo. En relación con el papel de la teoría de la elección racional, nuestro argumento se ve influenciado por la concepción schumpeteriana de los partidos como organizaciones que compiten por cargos públicos. En esta perspectiva, la idea es que tanto los partidos como ministros con aspiraciones a una carrera política progresiva actúen como agentes racionales que logran coordinar sus opciones para obtener un beneficio conjunto.
Con todo esto en mente, las personas a cargo de una cartera de Estado que tienen ambiciones políticas ascendentes buscarán aprovechar la estructura de oportunidades que el cargo les brinda. En ese sentido, los costos para el ministro o ministra pueden ser mayores o menores. Por un lado, podrían ser mayores, ya que seguir una ambición de esta magnitud implica sacrificar su vida privada y convertirse en una figura pública mucho más mediática de lo que serían si continuaran en su cargo ministerial. Por otro lado, podrían no ser mayores, dado que, si han desempeñado una buena gestión y se presentan como personas aptas para dirigir un gabinete ministerial, es más probable que tengan un perfil atractivo para cualquier partido político. Es así como los beneficios para el ministro o ministra son importantes al considerar que pueden tener posibilidades de alcanzar la máxima dignidad de elección popular en un país; igualmente, estas personas son conscientes de los posibles beneficios a largo plazo en caso de no tener éxito a corto plazo. La idea general aquí es que, como actores racionales que buscan maximizar sus beneficios, estas personas, después de su paso por la cartera de Estado y una candidatura presidencial, podrían negociar su capital político para buscar influencia nacional o participar en otro proceso electoral.
A partir de este argumento, se debe tener en cuenta que entre el partido y ministro con una ambición política progresiva se genera una relación de mutualismo al acercarse la jornada electoral, donde ambos obtienen un beneficio como resultado de la cooperación. Todo esto se basa en la comprensión de que las carreras políticas son el resultado conjunto de la ambición individual de un actor y una estructura de oportunidades generada por el partido político, que tiene la capacidad de reclutar e impulsar la candidatura presidencial del ministro (Schlesinger, 1994). No obstante, un asunto a considerar, siguiendo a Black (1972), es la función de utilidad de ocupar un cargo. En esta perspectiva, por una parte, el jefe de una cartera de Estado debe sopesar su ambición al considerar los costos y beneficios de mantenerse o decidir salir del cargo ministerial. Por otra parte, el partido debe evaluar los costos de realizar una campaña electoral, por lo que debe reclutar al mejor candidato disponible, considerando tanto la probabilidad de victoria como la de derrota electoral. El resultado de los cálculos racionales de ambos actores —partido y ministro o ministra— se resume en la candidatura presidencial respaldada por el partido político en que milita el ministro.
El caso de Luis Arce en Bolivia, quien fue ministro de economía bajo el gobierno de Evo Morales y luego se postuló con éxito como candidato del MAS, ejemplifica cómo un ministro puede convertirse en un candidato presidencial efectivo. Sin embargo, este caso propone un aspecto adicional a considerar: el tipo de perfil que interesa al coordinar la candidatura presidencial. En línea con este punto, Olivares (2018) en su estudio sobre el caso chileno identifica cuatro perfiles de personas a cargo de un ministerio según sus credenciales políticas y capital técnico. Los perfiles políticos, technopols y tecnócratas tienen más posibilidades de ser precandidatos que ministras y ministros outsiders.
Un asunto por considerar —gracias a la discusión de los perfiles ministeriales— es que los partidos en busca de maximizar una victoria electoral procurarán impulsar a un ministro o ministra que tenga un perfil político. La decisión de manera racional desde el partido se justifica al encontrar precandidaturas de personas conocidas en la esfera pública que den un impulso a la marca del partido, respaldado en la preparación y gestión técnica que tenga el jefe o la jefa de una cartera de Estado. Al mismo tiempo, se espera que el/la ministro(a)/precandidato(a) posea influencia en la política nacional del país y pueda ser leal al partido político (Joignant, 2011). Por otra parte, la ministra o ministro con ambición política progresiva espera poder obtener el apoyo del partido bajo la comprensión de que las organizaciones políticas siguen cumpliendo la función de canalizar demandas ciudadanas y ser vehículos electorales eficientes (Luna et al., 2021). Con base en estos argumentos, se desprende la siguiente hipótesis:
H1: ser ministra o ministro con un perfil político, aumenta la probabilidad de ser precandidata/o presidencial.
Otro asunto de especial importancia tiene que ver con las características propias del sistema presidencial, donde una vez que el presidente ha sido electo, actúa como formateur (Camerlo, 2013; Camerlo y Martínez-Gallardo, 2022). En esta perspectiva, Camerlo y Martínez-Gallardo (2017) sostienen que, durante el proceso de formación del gobierno y su gabinete, los presidentes deben seleccionar y designar ministros, aunque no tengan mayoría en el poder legislativo. Por lo tanto, en dicha selección, el presidente puede buscar un sucesor que continúe con las políticas propuestas durante su gestión. Lo anterior se ejemplifica a la perfección con el caso brasileño cuando Lula da Silva dio el aval a la candidatura presidencial de su jefa del gabinete presidencial, Dilma Rousseff. En este caso, considerando que la militancia en un partido político es un proxy para medir el perfil político de un ministro, la hipótesis sería la siguiente:
H2: ser ministra o ministro con militancia del partido del presidente, aumenta la probabilidad de ser precandidata/o presidencial.
En adición, considerando lo discutido por la literatura, se tiene en cuenta ciertas variables de control que permiten, además de controlar, corroborar empíricamente ciertas expectativas teóricas propuesta por estudios precedentes. Una primera variable de control tiene que ver con el efecto de la orientación ideológica del partido al que pertenezca el ministro (Olivares, 2018). A partir de las características ideológicas de los países, se esperaría analizar el efecto de dicha variable, dado que hay países tradicionalmente más alineados a la derecha (Chile y Colombia) en referencia a aquellos alineados a la izquierda del espectro ideológico (Argentina y Uruguay). A su vez, el tipo de cartera de Estado se convierte en un factor a controlar dada la visibilidad y relevancia que pueden tener ciertos ministerios frente a otros al momento de capitalizar imagen pública (Basabe-Serrano, 2020). Por lo cual se distingue y analiza entre los gabinetes económicos, políticos, sociales y mixtos siguiendo lo propuesto por Dávila et al., (2013), donde se esperaría que los ministerios políticos actúen como plataformas efectivas de cara a las aspiraciones progresivas de un miembro del gabinete. Esto se debe al impacto de las políticas públicas, la disposición de recursos económicos y la visibilidad ante la opinión pública.
Además, se tiene en cuenta la militancia del ministro o ministra en los demás partidos (Duque Daza, 2007; Field y Siavelis, 2008). Otra variable de interés es el sexo de la persona que, siguiendo los estudios de Fox y Lawless (2004) y Lawless y Fox (2010), evidencian dificultades y niveles bajos de ambición política por parte de mujeres al momento de ocupar cargos electivos. Igualmente, se consideran factores que han suscitado interés en la agenda de estudios ejecutivos como, por ejemplo, la aprobación presidencial como proxy de la aprobación ministerial (Arana y Guerrero, 2022). También se controla por los días que dura la persona en el ministerio y la edad que posee al momento de dejar el cargo.
En perspectiva de atributos personales de las personas en jefaturas de carteras de Estado, Joignant et al., (2014) han considerado que poseer familia en política es una variable que explica la ambición política de un actor. El argumento teórico es que los políticos tienden a utilizar la ventaja que entrega su apellido para impulsar sus aspiraciones políticas ya sea en cargos de confianza o para participar en elecciones, que es lo que aquí interesa testear (González-Bustamante y Garrido-Vergara, 2018). Otras variables de control se encuentran referidas al efecto que pueda tener la economía (Camerlo y Pérez-Liñan, 2015), en donde el crecimiento del PIB per cápita de un país podría motivar las aspiraciones políticas progresivas de un ministro o ministra.
Para corroborar el argumento teórico de este estudio, se considera como unidad de análisis a todas las personas a cargo de ministerios que conformaron los gabinetes en Argentina, Colombia, Chile y Uruguay desde la década de 1990 hasta el 2022. Cada designación de una persona a cargo de una cartera de Estado se registra como una nueva observación en el conjunto de datos, ya sea que se trate de un traspaso de la misma persona a la dirección de un ministerio o de una nueva persona asumiendo el cargo. Esta estrategia de medición ha sido probada y validada previamente por Olivares (2022) y Mejía et al., (2021); y se utiliza en este estudio para garantizar la replicabilidad de la información capturada. Los datos con los que se trabaja son tomados del Presidential Cabinets Project que contiene información respecto al sexo, edad, militancia y la cartera que dirige el/la ministro(a) (Camerlo y Martínez-Gallardo, 2017).
Al medir la variable dependiente precandidatura presidencial, se toma el valor de (1) cuando la ministra o ministro se convierte en precandidato presidencial y (0) en caso contrario. Consideramos que un precandidato es “una figura política no institucionalizada, pero formalizada por los actores [...] Se trata de personas que están en campaña antes de que el periodo electoral se inicie, antes de que se abra la posibilidad de inscribir las candidaturas” (Olivares, 2018: 227). Generalmente, los precandidatos compiten en consultas internas de la coalición o partido al que pertenecen, siendo este el punto decisivo para formalizar la candidatura presidencial. Para codificar la variable dependiente, se revisaron los principales medios de comunicación impresos de los países identificando la participación de ministros en elecciones primarias o instancias de consulta partidaria para la selección del candidato.
Un aspecto clave con la variable dependiente, es que se limita a personas que, estando en el gabinete, se convirtieron en precandidatos. En ese sentido, no se consideran aquellas que fueron precandidatas después de dejar el gabinete. Por ejemplo, en el caso de Chile, no se registra como (1) a Felipe Kast (ministro con Sebastián Piñera y precandidato en 2017). Lo mismo aplica para Noemí Sanín en Colombia, quien fue ministra con Cesar Gaviria y luego fue precandidata en 1998, 2002 y 2010. Esta decisión se basa en el hecho de que estas personas abandonaron su cargo en el gabinete un tiempo antes de postularse como precandidatos a la presidencia del país.
La Tabla 1 presenta una visión general de los datos utilizados en el estudio. Hay un total de 1,007 observaciones, distribuidas en 8 gobiernos para Argentina y Colombia, y 7 y 6 gobiernos para Chile y Uruguay, respectivamente. Se destaca que hay una mayor cantidad de hombres a cargo de ministerios en comparación con mujeres, evidenciando una subrepresentación de mujeres en la arena política ejecutiva (Sotomayor Valarezo y Huertas-Hernández, 2021; Molina, 2024), lo cual concuerda con la teoría de la ambición política de mujeres (Fox y Lawless, 2004). La variable que indica el sexo de la persona a cargo de una cartera de estado se codifica como una variable dicotómica con valor (1) para hombres y (0) para mujeres.
Un asunto relevante es que, en los casos de estudio, en promedio, más del 70% de los ministros tienen afiliación a algún partido político, lo que subraya el papel crucial de los partidos en el ejecutivo y su posible impacto en la selección de candidatos (Altman, 2008). Esta variable se desglosa en dos variables dicotómicas. La primera permite identificar la segunda hipótesis, que es cuando el ministro es miembro del partido del presidente, codificándose como (1) si es así y (0) en caso contrario.[1] La segunda variable distingue si el ministro tiene afiliación a otros partidos políticos; en este caso, toma el valor de (1), mientras que, si la persona no tiene afiliación a ningún partido político, se codifica como (0).
Tabla 1.
Estadísticos descriptivos por gobiernos (Argentina, Colombia, Chile y Uruguay 1989-2022)
| Ministros/as | Edad promedio | Porcentaje de hombres | Porcentaje de ministros/as que militan | |
|---|---|---|---|---|
| Argentina | ||||
| Menem I (1989-1995) | 36 | 51 | 97% | 92% |
| Menem II (1995-1999) | 19 | 51 | 89% | 100% |
| De la Rúa (1999-2001) | 30 | 52 | 87% | 97% |
| Duhalde (2002-2003) | 20 | 54 | 80% | 95% |
| Kirchner (2003-2007) | 20 | 52 | 75% | 100% |
| Fernández de Kirchner I (2007-2011) | 27 | 53 | 74% | 89% |
| Fernández de Kirchner II (2011-2015) | 26 | 55 | 81% | 88% |
| Macri (2015-2019) | 35 | 53 | 86% | 51% |
| Total | 213 | 52 | 85% | 87% |
| Chile | ||||
| Aylwin (1990-1994) | 28 | 53 | 93% | 89% |
| Frei (1994-2000) | 55 | 52 | 93% | 91% |
| Lagos (2000-2005) | 54 | 49 | 74% | 93% |
| Bachelet (2006-2010) | 46 | 52 | 54% | 91% |
| Piñera (2010-2014) | 53 | 50 | 75% | 49% |
| Bachelet II (2014-2018) | 45 | 52 | 62% | 87% |
| Piñera II (2018-2022) | 66 | 53 | 70% | 55% |
| Total | 347 | 52 | 74% | 77% |
| Colombia | ||||
| Gaviria (1990-1994) | 40 | 44 | 92% | 92% |
| Samper (1994-1998) | 54 | 49 | 85% | 90% |
| Pastrana (1998-2002) | 41 | 49 | 79% | 75% |
| Uribe (2002-2006) | 23 | 50 | 68% | 41% |
| Uribe II (2006-2010) | 24 | 47 | 78% | 39% |
| Santos (2010-2014) | 37 | 51 | 78% | 88% |
| Santos II (2014-2018) | 27 | 50 | 69% | 80% |
| Duque (2018-2022) | 42 | 52 | 56% | 36% |
| Total | 288 | 49 | 76% | 71% |
| Uruguay | ||||
| Lacalle (1990-1995) | 33 | 51 | 97% | 100% |
| Sanguinetti (1995-2000) | 26 | 54 | 85% | 100% |
| Batlle (2000-2005) | 33 | 53 | 97% | 88% |
| Vázquez I (2005-2010) | 28 | 60 | 79% | 93% |
| Mujica (2010-2015) | 22 | 56 | 77% | 100% |
| Vázquez II (2015-2020) | 17 | 65 | 65% | 100% |
| Total | 159 | 56 | 86% | 96% |
Fuente: Elaboración propia a partir del Presidential Cabinets Project.
Considerando la primera hipótesis, que busca demostrar si la posibilidad de ser precandidato mientras se está en el gabinete aumenta con la presencia de un perfil político, se llevó a cabo un análisis exhaustivo de cada ministro, examinando notas de prensa. A partir de este examen, se generó una codificación, asignando el valor (1) a aquellos individuos con un perfil político y (0) a quienes carecían de él. La Tabla 2 presenta la operacionalización y la fuente de información de las demás variables independientes del estudio.[2] Además, se incluyó la aprobación presidencial en el momento de la salida del ministro del gabinete ministerial, tomada de Carlin et al. (2023), como un indicador proxy de la popularidad ministerial. Se postula que los ministros cuyos presidentes son altamente populares tendrán mayores incentivos para postularse. Asimismo, se controla el nivel de institucionalización de los partidos a través de la medición proporcionada por V-Dem (Coppedge et al. 2023).
Tabla 2.
Operacionalización de las variables del estudio
| Variable | Operacionalización | Fuente |
|---|---|---|
| VD: Nombramiento de precandidatura presidencial | Dicotómica: 1= La ministra o ministro es nombrado precandidato presidencial 0= caso contrario |
Argentina: Clarín, La Nación y Página/12. Chile: El Mercurio, La Segunda y La Tercera.
Colombia: El Tiempo, El Espectador y Revista Semana. Uruguay: El País, El Observador y La Diaria. |
| Perfil político del ministro | Dicotómica: 1= Políticos 0= caso contrario |
Revisión de las hojas de vida de los ministros mediante notas de prensa y demás recursos electrónicos. |
| Militar en partido del presidente | Dicotómica: 1= si milita partido del presidente 0= no milita |
Revisión de notas de prensa y demás recursos electrónicos. |
|
Orientación ideológica
de ministro(a) |
Continua: La variable toma valores entre 1 (izquierda) y 10 (derecha) |
Proyecto de Elites Parlamentarias de América Latina (PELA) de la Universidad de Salamanca. |
| Tipo de ministerio | Dicotómica para cada categoría: 1= Ministerios económicos 0= Caso contrario 1= Ministerios sociales 0= Caso contrario 1= Ministerios políticos 0= Caso contrario 1= Ministerios mixtos 0= Caso contrario |
Presidential Cabinets Project y Dávila, Olivares y Avendaño (2013). |
| Militar en partidos políticos | Dicotómica: 1= si milita en partidos políticos 0= no milita |
Revisión de notas de prensa y demás recursos electrónicos. |
| Edad del ministro | Continua: Edad del ministro al momento de dejar el cargo |
Presidential Cabinets Project y revisión de notas de prensa y demás recursos electrónicos. |
| Sexo | Dicotómica: 1= hombre 0= mujer |
Presidential Cabinets Project |
| Familia en política | Dicotómica: 1= si tiene 0= no tiene |
Revisión de las hojas de vida de los ministros mediante notas de prensa y demás recursos electrónicos. |
| Variación en PIB pc | Continua: Variación del PIB per cápita entre el valor del año en que asume el cargo y el año en que sale del cargo |
Revisión de datos reportados en World Development Indicators del Banco Mundial. |
| Duración en el cargo | Continua: Cantidad de días que dura el ministro en la cartera. |
Presidential Cabinets Project y Olivares (2018) |
| Índice de institucionalización partidaria | Continua: Índice que considera los atributos de los partidos dominantes que definen el sistema de partidos |
V-Dem version 13 (Coppedge et al. 2023) |
| Aprobación presidencial | Continua: La variable toma valores entre 0 y 100. Valores más altos indican mejor aprobación. |
Executive Approval Database 3.0 (Carlin et al. 2023) |
Fuente: elaboración propia.
Como se puede observar, el modelo incorpora variables que podrían ser relevantes dadas las orientaciones ideológicas prevalentes en los países examinados. Según datos de Latinobarómetro, se evidencia que las personas tienden a autoidentificarse como de centroderecha en Chile y Colombia, mientras que en Uruguay y Argentina la autoidentificación es más inclinada hacia la centro-izquierda (Saiegh, 2015). Para obtener una medida precisa en la escala de izquierda a derecha sobre la orientación ideológica de los ministros, se recurre a la encuesta del Observatorio de Elites Parlamentarias de América Latina (PELA). En este estudio, se utiliza el promedio asignado al partido político al que el ministro pertenece; en caso de las ministras y ministros sin afiliación partidaria, se registra el valor como perdido.[3]
Además, se considera el tipo de ministerio utilizando la codificación propuesta por Dávila et al. (2013), que se divide en cuatro categorías y toma los ministerios mixtos como referencia. Asimismo, siguiendo la perspectiva de Joignant et al. (2014), se toma en cuenta si el ministro tiene familia con vínculos directos en la política (hermanos, cónyuges, padres, tíos). Esta variable se obtuvo revisando las hojas de vida de los ministros a través de notas de prensa y recursos electrónicos disponibles. A su vez, se incorporan factores contextuales como la duración en funciones de los ministros, expresada en días, y se tiene en cuenta el estado de la economía mediante el Producto Interno Bruto per Cápita (PIBpc). Para esta variable, se llevó a cabo una revisión de los datos reportados por el Banco Mundial para cada país. Con el fin de evitar una sobreestimación del modelo, se incluye en el análisis la variación del PIBpc (t1-t2), considerando t1 como la fecha de nombramiento en el cargo y t2 como la fecha de salida.
Como ya se señaló, el propósito de esta investigación es analizar los factores que podrían explicar por qué algunos ministros abandonan sus carteras de Estado para buscar una precandidatura presidencial. Para abordar este tema, se realiza un análisis en dos niveles con un enfoque de multi-método (Seawright, 2016). En primer lugar, se adopta un enfoque cuantitativo mediante regresiones logísticas para examinar los efectos promedio de las diversas variables discutidas anteriormente. En una segunda etapa, siguiendo la propuesta metodológica de Goertz y Haggard (2023), se lleva a cabo un análisis cualitativo para verificar las hipótesis y el mecanismo causal cuando un ministro o ministra decide postularse como precandidato presidencial (Y=1), utilizando análisis de prensa como herramienta de investigación.
Este análisis se contrasta tanto en presencia como en ausencia de las variables independientes que conforman las hipótesis del presente trabajo. Es decir, se evalúa el lanzamiento a la arena electoral por el cargo ejecutivo máximo en dos escenarios: cuando hay y cuando no hay un perfil político (X1=1 y X1=0), así como cuando el ministro milita o no en el partido del presidente (X2=1 y X2=0). Este ejercicio permite comprender las regularidades estadísticas junto con las trayectorias mecanicistas para entender de manera más profunda los factores que inciden en que ministros se lancen como precandidatos presidenciales en Argentina, Colombia, Chile y Uruguay.
En una primera instancia, se presentan modelos de regresión logística binomial (logit), verificando la ausencia de multicolinealidad a través de un análisis de correlaciones entre las variables del estudio. El Gráfico A1 del anexo exhibe la matriz de correlaciones, evidenciando la ausencia de correlaciones fuertes (superiores a 0.7), descartando así posibles problemas de multicolinealidad. Asimismo, se abordó la estructura de los datos por país, considerándolos como conglomerados, y se aplicaron modelos robustos con errores estándares ajustados para cuatro clusters, uno por cada país, siguiendo la metodología propuesta por Abadie et al. (2017). Este enfoque permitirá evaluar cuantitativamente los factores que influyen en la decisión de un(a) ministro(a) de postularse en la contienda electoral por la presidencia.
Como se observa en la Tabla 3, se han empleado seis especificaciones de modelos en el análisis. En el Modelo 1, se examinan las variables de índole político, mientras que en el Modelo 2 se consideran las variables de contexto y factores personales. El Modelo 3 incluye todas las variables mencionadas anteriormente, y el Modelo 4 añade la institucionalización del sistema de partidos. Posteriormente, en el Modelo 5 se lleva a cabo una interacción entre la ideología y el perfil político, y finalmente, en el Modelo 6 se incorpora la aprobación presidencial como variable adicional. La inclusión de estas seis especificaciones tiene como objetivo demostrar la consistencia de los datos, y los errores estándar robustos tipo cluster permiten tener en cuenta situaciones en las que las observaciones dentro de cada grupo no son distribuidas de forma independiente e idéntica.
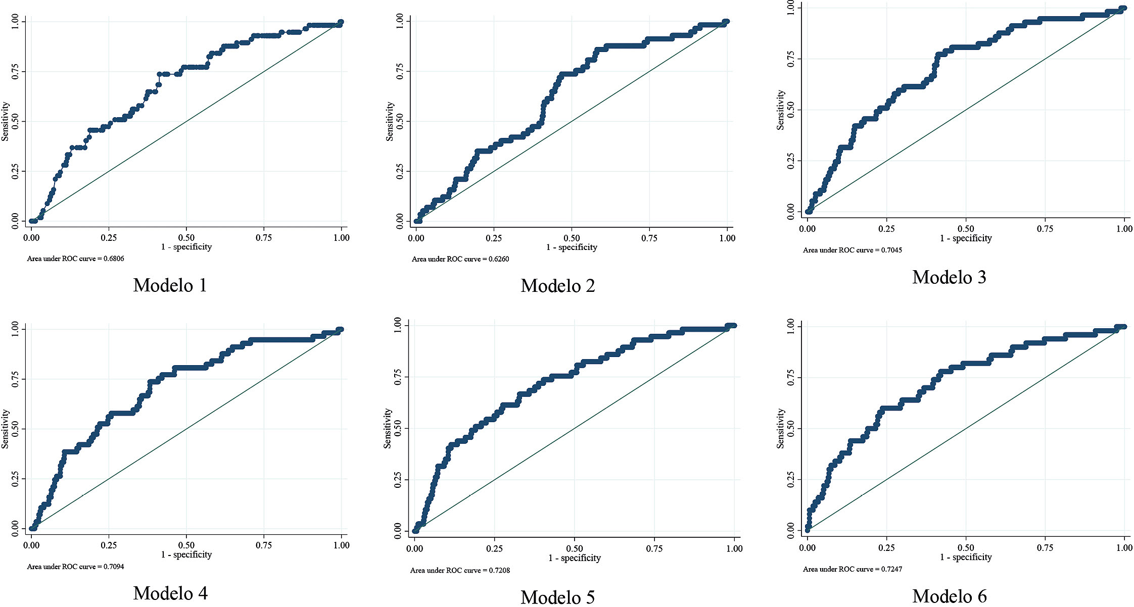
La Tabla 3 indica que aproximadamente la mitad de las variables incluidas en el estudio son estadísticamente significativas y tienen los signos teóricamente esperados. Además, el ajuste del modelo, evaluado a través de las observaciones correctamente clasificadas, demuestra que las seis especificaciones tienen una buena bondad de ajuste. Es relevante destacar que el Modelo 6, que incorpora todas las variables, muestra el mejor ajuste. Esta conclusión se refuerza al examinar los ROC Plot (consultar anexo).
Los resultados obtenidos a través de las regresiones logísticas binarias confirman las dos hipótesis planteadas en este estudio. Es decir, se ha demostrado que ministras y ministros con un perfil político tienen mayores probabilidades de lanzarse a la contienda electoral por la presidencia. Del mismo modo, se ha corroborado que la militancia en el partido del presidente es una variable estadísticamente significativa, lo que indica las personas en la jefatura de un gabinete ministerial con ambiciones políticas progresivas y que pertenecen a la organización política del presidente tienen mayores posibilidades de ser precandidatos presidenciales. Es importante señalar que los resultados de la Tabla 3 deben ser analizados considerando los odds ratios de las variables, lo cual se presenta en la Gráfica 1. Esto permite una mejor interpretación y comprensión de los hallazgos obtenidos en el estudio.
La Gráfica 1 ilustra de manera clara que los ministros y ministras con un perfil político tienen aproximadamente 3.26 veces más probabilidades de lanzar su candidatura presidencial, y este efecto es estadísticamente significativo al 95% de confianza. Este resultado es consistente con las conclusiones previas de Olivares (2018), quien también identificó un fuerte respaldo hacia las aspiraciones presidenciales de ministros con un perfil político. Estos resultados confirman de manera contundente que la experiencia política, medida a través del perfil político, se posiciona como una variable crucial en el contexto de la competencia electoral (Portmann, 2022).
De manera complementaria, el análisis muestra que, por cada aumento de 1 unidad en la variable de militancia en el partido del presidente, las posibilidades de que un ministro o ministra se lance como precandidato presidencial aumentan en un 60%. Estos resultados no solo son relevantes para los países específicos explorados en el estudio, sino que también pueden extrapolarse a otros casos en América Latina. Esto se evidencia al examinar la sucesión entre Luiz Inácio Lula da Silva y Dilma Rousseff del Partido de los Trabajadores en Brasil, lo que permite confirmar que estas variables poseen un alto poder explicativo sobre la variable dependiente estudiada. De esta manera, los hallazgos presentados aquí tienen implicaciones más amplias y potenciales para comprender los procesos de competencia electoral por la presidencia en Latinoamérica.
Tabla 3.
Modelos Logit: factores que inciden para que ministras y ministros se lancen a la candidatura presidencial en Argentina, Colombia, Chile y Uruguay
| Variables Independientes | VD: Nombrado precandidato(a) presidencial | |||||
|---|---|---|---|---|---|---|
| Modelo 1 | Modelo 2 | Modelo 3 | Modelo 4 | Modelo 5 | Modelo 6 | |
| Perfil Político del Ministro(a) | 1.181[**] (0.570) |
1.166[*] (0.606) |
1.109[**] (0.556) |
3.738[**] (1.643) |
4.503[***] (1.710) |
|
| Orientación Ideológica | 0.065 (0.046) |
0.056 (0.082) |
0.071 (0.061) |
0.451[***] (0.139) |
0.626[***] (0.184) |
|
| Perfil Político del Ministro(a) [*] Orientación Ideológica | -0.470[**] (0.207) |
-0.694[***] (0.247) |
||||
| Milita en el Partido del Presidente | 0.471[*] (0.277) |
0.469 (0.29) |
0.492 (0.313) |
0.520[*] (0.293) |
0.710[**] (0.322) |
|
| Ministerio Económico | 1.315[*] (0.758) |
1.270 (0.786) |
1.270 (0.773) |
1.253 (0.767) |
1.217 (0.814) |
|
| Ministerio Social | 0.438 (0.362) |
0.471 (0.323) |
0.484 (0.325) |
0.549[*] (0.321) |
0.455 (0.395) |
|
| Ministerio Político | 0.936[***] (0.330) |
0.961[**] (0.394) |
0.969[**] (0.400) |
1.000[***] (0.385) |
0.950[**] (0.442) |
|
| Militar en Partidos Políticos | -0.443 (0.746) |
-0.51 (0.699) |
-0.452 (0.677) |
0.171 (0.402) |
0.627[*] (0.322) |
|
| Edad del Ministro(a) | -0.015 (0.014) |
-0.02 (0.018) |
-0.023 (0.020) |
-0.023 (0.022) |
-0.016 (0.025) |
|
| Sexo del Ministro(a) | 0.823[**] (0.401) |
0.603 (0.478) |
0.597 (0.482) |
0.598 (0.501) |
0.494 (0.466) |
|
| Familia en Política | 0.455 (0.412) |
0.345 (0.373) |
0.324 (0.375) |
0.297 (0.370) |
0.289 (0.220) |
|
| Variación PIB pc | 0.015[*] (0.009) |
0.012[*] (0.006) |
0.01 (0.008) |
0.01 (0.008) |
0.027 (0.033) |
|
| Días en el cargo | 0.000 (0.000) |
0.000 (0.000) |
0.000 (0.000) |
0.000 (0.000) |
0.000 (0.000) |
|
| Inst. Sistema de Partidos | 0.519 (0.723) |
0.422 (0.805) |
0.785 (0.984) |
|||
| Aprobación presidencial | -0.005[*] (0.003) |
|||||
| Constante | -4.742[***] (0.619) |
-3.044[***] (0.992) |
-4.363[***] (1.028) |
-4.712[***] (0.975) |
-7.441[***] (0.738) |
-8.976[***] (1.400) |
| Log pseudolikelihood | -207.293 | -214.694 | -204.225 | -203.8932 | -201.6800 | -174.4972 |
| Pseudo R2 | 0.0462 | 0.0198 | 0.0603 | 0.0618 | 0.072 | 0.0809 |
| Clasificados correctamente | 94.17% | 94.34% | 94.17% | 94.17% | 94.17% | 94.08% |
| Observaciones | 978 | 1,007 | 978 | 978 | 978 | 845 |
Los resultados adicionales del estudio son igualmente interesantes. La Gráfica 2, muestra que, en los países analizados, los ministros con una mayor orientación ideológica hacia la izquierda tienen mayores probabilidades de lanzar su precandidatura a la presidencia. La gráfica de interacción refuerza la relevancia del perfil político al momento de optar por una candidatura presidencial. No obstante, al examinar detalladamente los intervalos de confianza, la evidencia sugiere que el efecto es estadísticamente significativo cuando la persona a cargo de una cartera de Estado ostenta una posición ideológica entre 3 y 5, lo que podría equivaler aproximadamente a un centro izquierda. Esto implica que, si bien el perfil político es un factor influyente en general, su impacto se destaca especialmente en aquellos ministros con una orientación ideológica más cercana al centro izquierda. Estos hallazgos ofrecen una perspectiva más completa sobre la relación entre la orientación ideológica y las aspiraciones presidenciales de ministras y ministros.
Gráfica 1.
Odds Ratio con intervalo de confianza al 95 por ciento de las variables del modelo 1 para que ministras y ministros se lancen a la candidatura presidencial en Argentina, Colombia, Chile y Uruguay (1989-2022)

Fuente: Elaboración propia a partir del modelo 1 de Tabla 3
En Uruguay, la sucesión del partido Frente Amplio entre Tabaré Vázquez y José Mujica, quien ostentaba un perfil claramente político, ejemplifica cómo los ministros con estas características pueden aspirar con éxito a la presidencia. Según los datos del PELA, y la literatura especializada, el Frente Amplio puede ser categorizado como de centro izquierda (véase, Bidegain et al., 2021; Pérez et al., 2020). El efecto correspondiente a los perfiles no políticos (línea gris oscura) tiene sentido en países como Colombia y Chile, donde los casos de Andrés Felipe Arias y Laurence Golborne podrían explicar este comportamiento. Sin embargo, al observar los intervalos de confianza en la gráfica, se nota que el efecto sobre la variable dependiente no es significativo en dichos casos, lo que sugiere que la influencia de los ministros con perfiles no políticos en la decisión de lanzarse a una candidatura presidencial es menos clara y potente en comparación con los ministros con perfiles políticos.
Por otra parte, al incluir todas las variables en el modelo (M6), el perfil político de los ministros se mantiene como el principal predictor. El resto de las variables significativas tiene un efecto menor: ser titular de un ministerio político, la orientación ideológica, la militancia en partidos políticos, ya sea el presidente u otro de la coalición, y la aprobación presidencial. Respecto a las demás variables de control, como la familia en política, los días en el cargo y la institucionalización del sistema de partidos, no muestran efectos significativos en la decisión de ministras y ministros de postularse a la presidencia.
Gráfica 2.
Valores predichos interacción entre orientación ideológica y perfil político sobre la probabilidad de ser nombrado precandidato presidencial, IC del 95%

Fuente: Elaboración propia a partir del modelo 5 de Tabla 3.
Con la finalidad de comprender de manera más precisa los mecanismos que subyacen detrás de los efectos significativos en nuestros resultados, presentamos en la Tabla 4 algunos casos de precandidaturas presidenciales en los cuatro países estudiados, considerando las variables de perfil político y militancia en el partido del presidente. De esta manera, para clarificar el argumento expuesto por las dos hipótesis, exponemos de manera cualitativa mediante análisis de prensa casos de precandidaturas presidenciales. Estos hallazgos cualitativos, presentados en la Tabla 4, complementan los resultados cuantitativos obtenidos en el estudio, proporcionando una visión más detallada y contextualizada de cómo los perfiles políticos y la militancia en el partido del presidente interactúan para influir en las aspiraciones presidenciales de ministras y ministros en América Latina.
Tabla 4.
Ministras y ministros que permiten analizar el argumento causal propuesto
| Y = Nombrado precandidato presidencial | X1 = Perfil político del ministro | X2 = Militar en el partido del presidente | Ministros Argentina | Ministros Colombia | Ministros Chile | Ministros Uruguay |
|---|---|---|---|---|---|---|
| Si | Si | Si | Florencio Randazzo | Juan Carlos Pinzón | Andrés Allamand | Juan Andrés Ramírez |
| Si | Si | No | — | Humberto de la Calle | Soledad Alvear | — |
| Si | No | Si | Roberto Lavagna | Arturo Sarabia Better | — | Carolina Cosse |
| Si | No | No | — | Andrés Felipe Arias | Laurence Golborne | — |
Fuente: Elaboración propia
En el caso de Chile, se observa una combinación vacía donde la persona no tiene perfil político, pero sí milita en el partido del presidente. Por otro lado, en los casos de Uruguay y Argentina, se presentan dos combinaciones vacías que corresponden a ministros que no militan en el partido del presidente, pero tienen un perfil político, y aquellos que no tienen ni perfil político ni militancia en el partido del presidente. Esto refuerza la idea de que la militancia en el partido del presidente juega un papel relevante en la carrera política de ministras y ministros con aspiraciones presidenciales en estos países. Además, esto destaca la importancia que tienen los partidos políticos como vehículos electorales que les permiten a estas personas con ambiciones ascendentes continuar sus carreras políticas (Luna et al., 2021).
En el caso de Argentina, la figura del exministro del interior, Florencio Randazzo, en los gobiernos de Cristina Fernández de Kirchner expone la presencia de las dos variables de interés: perfil político y pertenencia al partido presidencial. Randazzo se presentaba como una potente figura para la candidatura presidencial en 2014, asegurando que, si tenía éxito en su gestión ministerial, se postularía por el Frente para la Victoria (La Nación, 2014). Sin embargo, unos meses después, anunció su decisión de retirar la candidatura presidencial con una carta a la presidenta, tras el anuncio de que Carlos Zannini acompañaría como precandidato a vicepresidente a Daniel Scioli (Página 12, 2015; Clarín, 2015).
En Argentina, por otra parte, Roberto Lavagna se presenta como una figura que propiamente no tenía un perfil político, sino más bien uno de technopols, asegurándose de resguardar la cartera de economía durante los gobiernos de Eduardo Duhalde y Néstor Kirchner. Aunque exhibía credenciales del Partido Justicialista, Lavagna tomó distancia del partido del presidente al denunciar cartelización en la obra pública (Clarín, 2005). Esta cuestión lo llevó a apartarse del gabinete ministerial para lanzar su candidatura integrada por peronistas no kirchneristas (Página 12, 2007). Finalmente, con un 16% de la votación, logró el tercer lugar, perdiendo así contra Cristina Fernández en las elecciones argentinas de 2007 (Página 12, 2007).
En lo que atañe a Colombia, se analiza que las dos condiciones: perfil político y militancia en el partido del presidente, las cumplía Juan Carlos Pinzón, ministro de defensa en el segundo gobierno de Juan Manuel Santos. Sin embargo, Pinzón bajó su candidatura presidencial para ser la fórmula vicepresidencial de Germán Vargas Lleras del partido Cambio Radical, quien también formaba parte del gabinete de Santos. De acuerdo con la Revista Semana (2018), esta alianza se generó para lograr un mayor caudal electoral y generar acercamientos entre tres importantes partidos políticos del país (Cambio Radical, Conservadores y Partido de la U). Respecto a la condición de poseer un perfil político, pero no militar en el partido del presidente, se encuentra el miembro del partido liberal Humberto de la Calle, quien en su momento renunció a la embajada en Londres para fungir como ministro del interior del presidente conservador Andrés Pastrana (El Tiempo, 2000). No obstante, se debe puntualizar que, si bien Humberto de la Calle tuvo la opción de desarrollar una candidatura presidencial, él mismo declinó dar un paso al costado en las elecciones presidenciales de 2002.
En el caso de Arturo Sarabia Better, quien ocupó la cartera de educación en el gobierno de Ernesto Samper, a pesar de ser militante del partido del presidente, no tenía un perfil político definido. Según el diario El Tiempo, Sarabia Better retiró su candidatura al no desarrollarse el mecanismo de democracia interna para definir al candidato presidencial del partido liberal (El Tiempo, 1998). En lo que respecta a la ausencia de las dos variables, es decir, no poseer un perfil político y no ser militante del partido del presidente, se encuentra el exministro de Agricultura y Desarrollo Rural, Andrés Felipe Arias, quien se desempeñó bajo el segundo mandato del expresidente Álvaro Uribe Vélez. A pesar de que Arias se perfilaba como el heredero político de Uribe, pese a no militar en el colectivo político del presidente, perdió ante Noemí Sanín la candidatura presidencial en las consultas internas del partido conservador para las elecciones de 2010 (El País, 2011).
En el caso de Chile, Andrés Allamand, quien dirigía el Ministerio de Defensa en el primer gobierno de Sebastián Piñera, poseía las dos características de interés: (a) perfil político y (b) militancia en el partido del presidente. Aunque gozaba de reconocimiento público y pertenecía al partido del presidente en funciones, fue derrotado por Pablo Longueira en las elecciones primarias (BBC, 2013). Respecto a la ausencia de la condición de militar en el partido político del gobierno, pero poseer un perfil político, se encuentra Soledad Alvear, ministra en la cartera de relaciones exteriores con el expresidente Ricardo Lagos. Aunque Alvear logró la precandidatura tras derrotar en la elección efectuada en enero de 2005 al entonces senador Adolfo Zaldívar, decidió retirar su candidatura y dejar el camino libre a Michele Bachelet, quien era su compañera en el gabinete de Lagos (El Universo, 2005).
Los ejemplos presentados en la Tabla 4 para Chile dan cuenta de la ausencia de un ministro o ministra que no ostente un perfil político pero que sí posea una militancia en el partido del presidente. Esta situación sugiere que en Chile no se ha explorado el camino de personas con este perfil para las contiendas electorales a la presidencia. Esto permite conjeturar que los partidos políticos chilenos en ejercicio del gobierno prefieren respaldar a personas con una trayectoria política que continúen liderando las banderas del partido. En contraste, se observa la presencia de un ministro que no tiene un perfil político y no milita en el partido del presidente, como en el caso de Laurence Golborne, ministro en tres diferentes carteras (Obras Públicas y biministro de Energía y Minería) bajo el primer gobierno de Piñera. A pesar de que este emergente actor político auguraba una potencial candidatura presidencial, decidió declinar su candidatura argumentando una falta de apoyo del partido político que lo había avalado, la UDI (La Tercera, 2013). Este ejemplo ilustra cómo el respaldo y la aceptación dentro del partido político pueden ser determinantes en las aspiraciones presidenciales de un ministro.
En Uruguay[4], el caso de Carolina Cosse, a cargo de la cartera de Industria, Energía y Minería, ejemplifica la combinación de credenciales tecnócratas (ausencia de perfil político) y la militancia en el partido del presidente Tabaré Vázquez (El Observador, 2018). Gracias a una buena gestión en su cargo, logró obtener el apoyo de diversos sectores políticos dentro del Frente Amplio, lo que le permitió lanzar su precandidatura presidencial en 2018 (El País, 2017). Sin embargo, en las elecciones internas del Frente Amplio en 2019 para decidir al candidato presidencial, Cosse quedó en segundo lugar (La Diaria, 2019). Aunque no resultó elegida como candidata presidencial en las elecciones internas de su partido en 2019, todo este capital político que había acumulado le sirvió para luego ser electa senadora y más adelante hacerse con la intendencia de Montevideo en 2020 (El País, 2020).
En contraste, encontramos el caso de Juan Andrés Ramírez, quien, ejerciendo el cargo de senador por el Partido Nacional en Uruguay, fue llamado por el presidente Lacalle para ser ministro del Interior. A diferencia de Cosse, Ramírez logra contar con el apoyo de su partido para participar formalmente en las elecciones generales de Uruguay en 1994, pero solo obtiene el 13% de los votos, perdiendo frente a Julio María Sanguinetti (El País, 2019). Este ejemplo destaca cómo el hecho de tener experiencia política previa, como en el caso de Ramírez siendo senador y ministro, no siempre garantiza el éxito en una candidatura presidencial.
Los casos analizados ilustran el desafiante camino que enfrentan ministros y ministras al aspirar a una carrera progresiva por el máximo puesto ejecutivo en un país. No obstante, es relevante destacar que el puesto ministerial ha sido en numerosas ocasiones una plataforma electoral exitosa para alcanzar las ambiciones políticas hacia la presidencia. Figuras como Ernesto Samper Pizano en Colombia, quien fue ministro de Desarrollo Económico en el gobierno de Cesar Gaviria, o Ricardo Lagos en Chile, que ocupó el cargo ministerial durante las presidencias de Patricio Aylwin y Eduardo Frei, ejemplifican el importante rol que desempeña el paso por los gabinetes ministeriales en el impulso de carreras políticas.
Este estudio ha analizado las características que favorecen que un ministro opte por participar en una candidatura presidencial. A lo largo de más de 30 años, considerando cuatro países de América Latina, hemos argumentado que tanto el presidente en funciones como los partidos políticos tienen como objetivo capitalizar el paso de un actor político por un Gabinete de Estado para impulsar la precandidatura presidencial de su organización política. En los países estudiados, se han presentado casos de ministros que dejan sus cargos para competir por la presidencia. En resumen, las principales conclusiones de este trabajo indican que los ministros que ostentan un perfil político y militan en el partido del presidente aumentan la probabilidad de ser candidatos presidenciales. Además, el análisis cuantitativo sugiere que las personas que ejercen carteras políticas aprovechan los recursos, la visibilidad y la importancia de este tipo de gabinetes, lo que incrementa su probabilidad de lanzarse a la contienda electoral por la presidencia de un país.
Respecto al argumento propuesto, una posible crítica sería que en América Latina los niveles de confianza ciudadana en los partidos políticos siguen bajando. A lo que se suma la evidencia de Carreras (2012), quien demuestra que, en la región, al momento de generarse las contiendas electorales por la oficina presidencial, hay un incremento innegable de candidaturas de outsiders. Estas dos cuestiones podrían generar desincentivos para el desarrollo de nuestra propuesta teórica. Sin embargo, el argumento cobra vitalidad en perspectiva a lo discutido por Luna et al. (2021), quienes mencionan que los partidos siguen cumpliendo un importante rol dentro del sistema político, ya que son funcionales para la representación democrática como vehículos electorales que coordinan de manera eficiente durante las elecciones. A pesar de los desafíos que enfrentan los partidos políticos en la región, su papel como actores clave en la política electoral no puede subestimarse y seguirán siendo importantes en la configuración de las candidaturas presidenciales.
En esta misma línea, los hallazgos de este estudio refuerzan la importancia tanto del perfil político como de la militancia en el partido del presidente al incentivar las ambiciones políticas progresivas de ministros. Aunque se reconoce que los casos seleccionados pertenecen a países democráticos de América Latina con relativa estabilidad en sus partidos políticos, se espera que la teoría propuesta funcione también en contextos presidenciales fuera de la región. Además, los argumentos aquí esbozados cobran peso dentro de Latinoamérica al observar las experiencias durante el último siglo, como la sucesión exitosa entre Laura Chinchilla y Óscar Arias en Costa Rica o el caso de Salvador Sánchez Cerén y Mauricio Funes en El Salvador.
El argumento planteado en este estudio también permite examinar casos no tan exitosos, como la primera aspiración presidencial de Laurentino Cortizo, quien después de su renuncia al gabinete del expresidente panameño Martin Torrijos, lanzó en 2008 su precandidatura presidencial. Tras las elecciones primarias del Partido Revolucionario Democrático (PRD), quedó en tercer lugar de las preferencias y se sumó al equipo de campaña de Balbina Herrera para las elecciones panameñas de 2009. Sin embargo, continuó trabajando en sus ambiciones políticas y logró alcanzar la máxima dignidad ejecutiva de su país con el 33% de los votos en el proceso electoral de 2019. Estos ejemplos muestran que el paso por un gabinete ministerial puede ser una plataforma relevante para impulsar carreras políticas, y que la teoría propuesta en este estudio puede tener aplicabilidad en distintos contextos presidenciales,
En consecuencia, como líneas de investigación pendientes, resulta imperativo profundizar en estudios comparados que proporcionen una comprensión más precisa de la plataforma de oportunidades que brinda la experiencia ministerial para potenciar las aspiraciones políticas en la región. Además, la extensión de los periodos bajo observación se revela crucial para avanzar y obtener un registro histórico más completo en la investigación de los estudios ejecutivos y la ambición de los actores políticos en América Latina. Sería enriquecedor explorar otros factores que podrían influir en la decisión de ministros y ministras de postularse para la presidencia, como la percepción pública, las estrategias de los partidos políticos, y hasta aspectos culturales y sociales que pudieran desempeñar un papel relevante en este proceso.
En última instancia, se hace necesario abordar estudios de caso más amplios y contextualizados para obtener conclusiones más robustas y comprensivas acerca de las complejas dinámicas políticas y la interacción entre ministros, partidos y ciudadanos en la búsqueda de la presidencia. De esta manera, se fortalecerían las bases teóricas y empíricas para comprender cómo se desarrollan las aspiraciones políticas progresivas y cómo los gabinetes ministeriales influyen en este proceso. Un análisis exhaustivo de los casos permitiría una mejor comprensión de cómo el desempeño en un ministerio puede actuar como plataforma para potenciar las aspiraciones hacia la presidencia, y cómo los partidos políticos desempeñan un papel crucial en este proceso. Estos conocimientos resultarían fundamentales para comprender las dinámicas políticas en América Latina y enriquecer el debate académico sobre las estrategias y comportamientos de los actores políticos en su búsqueda del máximo cargo ejecutivo del país.
Los autores agradecen los comentarios recibidos por los asistentes al X Congreso Latinoamericano de Ciencia Política de ALACIP del año 2019 y al XVI Congreso Nacional de Ciencia Política de la SAAP del año 2019, que comentaron las primeras versiones del trabajo. Del mismo modo, se agradece los comentarios de Germán Bidegain, Francisco Urdinez y Daniel Chasquetti.
Alejandro Olivares L. recibió financiamiento de la Agencia Nacional de Investigación y Desarrollo de Chile (ANID) a través del Núcleo Milenio de Desigualdades y Oportunidades Digitales (NUDOS — NCS2022_046).
| [1] |
En el caso de Uruguay se considera al Frente Amplio como un solo partido, independiente de que existen en el lemas, facciones o listas que operan como orgánicas. |
| [2] |
Igualmente, en el Tabla A1 del anexo se presentan las estadísticas descriptivas de las variables del estudio. |
| [3] |
Como se observa en el anexo esta variable junto aprobación presidencial cuentan con menor número de observaciones con un total de 29 y 140 valores perdidos, respectivamente. |
| [4] |
Con todo, los casos de Cosse y Ramirez no son del todo comparables entre sí. La reforma Constitucional del año 1996 eliminó el doble voto simultaneo (DVS) e introdujo las elecciones primarias como obligatorias para los partidos (con participación voluntaria de los ciudadanos). Desde esa fecha cada partido está puede llevar solo un candidato presidencial definido en primarias, con el DVS cada partido podía llevar tantos candidatos como lemas o listas internas tuviera, la votación de cada lista sumaba a la votación del partido (sobre los efectos de la reforma ver Vairo (2008)). |
|
Abadie, Alberto, Susan Athey, Guido W. Imbens, y Jeffrey Wooldridge. 2017. When should you adjust standard errors for clustering? (No. w24003). National Bureau of Economic Research. http://dx.doi.org/10.1093/qje/qjac038 |
|
|
Abitbol, Pablo, y Felipe Botero. 2005. “Teoría de elección racional: estructura conceptual y evolución reciente.”Colombia Internacional, (62): 132-145. http://dx.doi.org/10.7440/colombiaint62.2005.08 |
|
|
Albala, Adrián, André Borges, y Lucas Couto. 2023. “Pre-electoral coalitions and cabinet stability in presidential systems.”The British Journal of Politics and International Relations, 25.1: 64-82. http://dx.doi.org/10.1177/13691481211056852 |
|
|
Albala, Adrián, Paula Clerici, y Alejandro Olivares. (2024). “Determinants of the cabinet size in presidential systems.”Governance, 37(3): 771-784. http://dx.doi.org/10.1111/gove.12803 |
|
|
Aldrich, John. H. 1993. “Presidential Selection.” En Researching the Presidency, ed. George C. Edwards III, John H. Kessel, and Bert A. Rockman. Pittsburgh: University of Pittsburgh Press. http://dx.doi.org/10.2307/jj.11249278.5 |
|
|
Altman, David. 2008. “Political recruitment and candidate selection in Chile (1990-2003): The executive branch.” En P. Siavelis & S. Morgenstern (Eds.), Pathways to Power: Political Recruitment and Candidate Selection in Latin America. Penn State University Press, pp. 241-270. |
|
|
Arana, Ignacio, y Carolina Guerrero. 2022. “When Do First Ladies Run for Office? Lessons from Latin America.” Latin American Politics and Society 64 (3): 93-116. http://dx.doi.org/10.1017/lap.2022.13 |
|
|
Basabe-Serrano, Santiago. 2020. “La sub representación de mujeres en gabinetes ministeriales: El caso ecuatoriano en perspectiva comparada, 1979-2015.”Latin American Research Review 55(1): 31-49. |
|
|
Barrientos del Monte, Fernando y Edgar Everardo Pantoja López. 2024. “¿A más democracia interna, mayor éxito electoral? La selección de candidaturas presidenciales de los partidos en el Gobierno en América Latina”. Colombia Internacional (118): 197-229 http://dx.doi.org/10.7440/colombiaint118.2024.08 |
|
|
BBC. 2013, Julio 23. “Allamand renuncia a ser candidato de la derecha chilena”. Extraído dehttps://www.bbc.com/mundo/ultimas_noticias/2013/07/130723_ultnot_chile_allamand_renuncia_candidatura_lav |
|
|
Black, Gordon. 1972. “A Theory of Political Ambition: Career Choices and the Role of Structural Incentive.”American Political Science Review, 66 (1): 144-159. http://dx.doi.org/10.2307/1959283 |
|
|
Bidegain, German, Martin Freigedo, y Cristina Zurbriggen. 2021. Los gobiernos del Frente Amplio y su impacto en la configuración del Estado uruguayo y sus políticas públicas. Udelar. FCS-DCP |
|
|
Botero, Felipe. 2008. Ambitious career-seekers: An analysis of career decisions and duration in Latin America. The University of Arizona. |
|
|
Botero, Felipe. 2011. “Carreras Políticas en América Latina: Discusión teórica y ajuste de supuesto”. Postdata, 16(2): 167-187. |
|
|
Brown, Lara M. 2010. Jockeying for the American Presidency: The Political Opportunism of Aspirants. Amhers, New York: Cambria Press. |
|
|
Carlin, Ryan E., Jonathan Hartlyn, Timothy Hellwig, Gregory J. Love, Cecilia Martinez-Gallardo, and Matthew M. Singer. 2023. Executive Approval Database 3.0. http://www.executiveapproval.org. |
|
|
Camerlo, Marcelo. 2013. “Ministros del presidente, Presentación.”América Latina Hoy, (64): 11-12 |
|
|
Camerlo, Marcelo, y Aníbal Pérez-Liñán. 2015. “The politics of minister retention in presidential systems: Technocrats, partisans, and government approval.”Comparative Politics, 47 (3): 315-333. http://dx.doi.org/10.5129/001041515814709310 |
|
|
Camerlo, Marcelo, y Cecilia Martinez-Gallardo, eds. 2017. Government formation and minister turnover in presidential cabinets: comparative analysis in the Americas. Routledge. |
|
|
Camerlo, Marcelo, y Cecilia Martinez-Gallardo. 2022. “¿Por qué son importantes los ministerios importantes? Un marco de análisis”, Política y Gobierno, 29 (1): 1-19. |
|
|
Carreras, Miguel. 2012. “The rise of outsiders in Latin America, 1980-2010: An institutionalist perspective.”Comparative Political Studies, 45 (12): 1451-1482. http://dx.doi.org/10.1177/0010414012445753 |
|
|
Ceaser, James W. 1979. Presidential Selection: Theory and Development. Princeton University Press. http://dx.doi.org/10.1515/9780691215907 |
|
|
Clarín. 2005, Noviembre 23. “Lavagna denunció sobrecostos y cartelización en la obra pública”. Extraido de https://www.clarin.com/ediciones-anteriores/lavagna-denuncio-sobrecostos-cartelizacion-obra-publica_0_Skozp8JAFx.html |
|
|
Clarín. 2015, Julio 17. “El texto completo de la carta de Randazzo a Cristina”. Extraido de https://www.clarin.com/politica/elecciones-2015-florencio-randazzo-cristina-kirchner_0_B1PGcPYvXl.html |
|
|
Chasquetti, Daniel, y Juan Pablo Micozzi. 2014. “The Subnational Connection in Unitary Regimes: Progressive Ambition and Legislative Behavior in Uruguay.”Legislative Studies Quarterly 39(1): 87-112. http://dx.doi.org/10.1111/lsq.12034 |
|
|
Cintia, Rodrigo. 2018. “Convertirse en representante: trayectorias y carreras políticas de diputados nacionales bonaerenses.”Revista de Sociologia e Política 26: 91-105. http://dx.doi.org/10.1590/1678987318266705 |
|
|
Conroy, Meredith. 2016. Masculinity, Media, and the American Presidency. New York: Palgrave Macmillan US. http://dx.doi.org/10.1007/978-1-137-45645-8 |
|
|
Coppedge, Michael, John Gerring, Carl Henrik Knutsen, Staffan I. Lindberg, Jan Teorell, David Altman, Michael Bernhard, Agnes Cornell, M. Steven Fish, Lisa Gastaldi, Haakon Gjerløw, Adam Glynn, Ana Good God, Sandra Grahn, Allen Hicken, Katrin Kinzelbach, Joshua Krusell, Kyle L. Marquardt, Kelly McMann, Valeriya Mechkova, Juraj Medzihorsky, Natalia Natsika, Anja Neundorf, Pamela Paxton, Daniel Pemstein, Josefine Pernes, Oskar Ryd´en, Johannes von Romer, Brigitte Seim, Rachel Sigman, Svend-Erik Skaaning, Jeffrey Staton, Aksel Sundstrom, Eitan Tzelgov, Yi-ting Wang, Tore Wig, Steven Wilson and Daniel Ziblatt. 2023. “V-Dem [Country-Year/Country-Date] Dataset v13” Varieties of Democracy (V-Dem) Project. https://doi.org/10.23696/vdemds23. |
|
|
Darr, Joshua P. 2018. “Reports from the Field: Earned Local Media in Presidential Campaigns.”Presidential Studies Quarterly, 48 (2): 225-247. http://dx.doi.org/ 10.1111/psq.12443 |
|
|
Dávila, Mireya, Alejandro A. Olivares Lavados, y Octavio Avendaño. 2013. “Los gabinetes de la Concertación en Chile (1990-2010).”América Latina Hoy (64): 67-94. http://dx.doi.org/10.14201/alh.10232 |
|
|
De Luca, Miguel. 2011. Del Príncipe y sus secretarios. Cinco apuntes sobre gabinetes presidenciales en Argentina reciente. En A. Malamud & M. De Luca (Eds.), La política en tiempos de los Kirchner. Eudeba. |
|
|
Dockendorff, Andrés. 2010. “El rol de las encuestas en las elecciones de 2005: Selección de candidatos presidenciales en Chile.”Revista Enfoques: Ciencia Política y Administración Pública, 8 (13): 159-180. |
|
|
Duque Daza, Javier. 2007. “Institucionalización organizativa y procesos de selección de candidatos presidenciales en los partidos Liberal y Conservador colombianos 1974-2006.”Estudios Políticos, (31): 141-181. |
|
|
Düpont, Nils., Kavasoglu, B., Lührmann, A., y Reuter, O. J. 2021. Party Organizations Around the Globe. Introducing the Varieties of Party Identity and Organization Dataset (V-Party). Introducing the Varieties of Party Identity and Organization Dataset (V-Party) (June 2021). V-Dem Working Paper, 124. http://dx.doi.org/10.2139/ssrn.3871668 |
|
|
El Observador. 2018, Noviembre 10. “Plenario del FA nominó precandidatos presidenciales sin la postulación de Mujica”. Extraído de https://www.elobservador.com.uy/nota/plenario-del-fa-cerro-lista-de-precandidatos-presidenciales-sin-mujica-20181110132731 |
|
|
El País. 2011, Julio 19. “Un exministro de Colombia, inhabilitado por corrupción”. Extraído de https://elpais.com/internacional/2011/07/19/actualidad/13110264 15_850215.html |
|
|
El País. 2017, Enero 14. “Frente inicia debate por las candidaturas al 2019”. Extraído de https://www.elpais.com.uy/informacion/frente-inicia-debate-por-las-candidaturas-al-2019 |
|
|
El País. 2019, Septiembre 13. “Julio María Sanguinetti gana otra vez: el tercio mayor de una elección pareja”. Extraído de https://www.elpais.com.uy/informacion/politica/julio-maria-sanguinetti-gana-otra-vez-el-tercio-mayor-de-una-eleccion-pareja |
|
|
El País. 2020, Septiembre 27. “Carolina Cosse es la nueva intendenta de Montevideo”. Extraído de https://www.elpais.com.uy/informacion/politica/carolina-cosse-es-la-nueva-intendenta-de-montevideo |
|
|
EL País. 2023, Julio 10. “Sergio Massa, ministro de día y candidato de noche en Argentina”. Extraído de https://elpais.com/argentina/2023-07-10/sergio-massa-ministro-de-dia-y-candidato-de-noche-en-argentina.html |
|
|
El Universo. 2005, Mayo 25. “Precandidata presidencial se retira de las elecciones en Chile”. Extraído de https://www.eluniverso.com/2005/05/25/0001/14/C0B9217 95A9E4CCE851F901043D97B82.html/ |
|
|
El Tiempo. 1998, Enero 21. “Sarabia Better declinó su aspiración a la Presidencia”. Extraído de https://www.eltiempo.com/archivo/documento/MAM-739593 |
|
|
El Tiempo. 2000, Mayo 10. “Mininterior a Humberto De La Calle”. Extraído de https://www.eltiempo.com/archivo/documento/MAM-1271745 |
|
|
Fox, Richard L., y Jennifer L. Lawless. 2004. “Entering the arena? Gender and the decision to run for office.”American Journal of Political Science, 48 (2): 264-280. http://dx.doi.org/10.1111/j.0092-5853.2004.00069.x |
|
|
Field, Bonnie N., y Peter M. Siavelis. 2008. “Candidate selection procedures in transitional polities: A research note.”Party Politics, 14 (5): 620-639. http://dx.doi.org/10.1177/1354068808093393 |
|
|
Freidenberg, Flavia, y Tomáš Došek. 2016. “La selección de candidaturas presidenciales en México. Una propuesta metodológica para medir el nivel de democracia interna de los partidos.”Política y Gobierno, 23 (2): 365-408. |
|
|
Guerrero, Carolina, y Ignacio Arana. 2019. “Las primeras damas como miembros de la élite política.”América Latina Hoy, (81): 31-49. |
|
|
González-Bustamante, Bastián, y Luis Garrido-Vergara. 2018. “Socialización, trayectorias y poscarrera de ministros en Chile, 1990-2010.”Política y Gobierno, 25 (1): 31-64. |
|
|
Goertz, Gary, y Stephan Haggard. 2023. “Large-N Qualitative Analysis (LNQA): Causal Generalization in Case Study and Multimethod Research.”Perspectives on Politics, 21(4): 1221-39. http://dx.doi.org/10.1017/S1537592723002037 |
|
|
Holbrook, Thomas M., y Scott D. McClurg. 2005. “The mobilization of core supporters: Campaigns, turnout, and electoral composition in United States presidential elections.”American Journal of Political Science, 49 (4): 689-703. http://dx.doi.org/10.1111/j.1540-5907.2005.00149.x |
|
|
Huertas-Hernández, Sergio, y Yeison Sosa Londoño. 2023. Caminos al poder político: el efecto de la magnitud del distrito y la experiencia previa para las carreras políticas de congresistas en Colombia. Revista SAAP, 17(2): 299-332. http://dx.doi.org/10.46468/rsaap.17.2.a4 |
|
|
Joignant, Alfredo. 2011. “The politics of technopols: Resources, political competence and collective leadership in Chile, 1990-2010.”Journal of Latin American Studies, 43 (3): 517-546. http://dx.doi.org/10.1017/S0022216X11000423 |
|
|
Joignant, Alfredo, Lucas Perelló, y Javier Torres. 2014. “Political capital and the unequal career origins of the political elite in Chile.” En Political Inequality in an Age of Democracy. Cross-national Perspectives, London, and New York: Routledge, pp. 87-94. http://dx.doi.org/10.4324/9780203797907-10 |
|
|
La Diaria. 2019, Julio 2. “Para el Espacio 609 Carolina Cosse es la candidata natural a la vicepresidencia”. Extraido de https://ladiaria.com.uy/elecciones/articulo/2019/7/para-el-espacio-609-carolina-cosse-es-la-candidata-natural-a-la-vicepresidencia/ |
|
|
La Tercera. 2013, Abril 29. “Laurence Golborne baja candidatura presidencial y dice que “no quiero ser un obstáculo” para la UDI”. Extraído de https://www.latercera.com/noticia/laurence-golborne-baja-candidatura-presidencial-y-dice-que-no- quiero-ser-un-obstaculo-para-la-udi/ |
|
|
La Nación. 2014, Enero 15. “Randazzo confirmó su intención de ser candidato a presidente en 2015”. Extraido de https://www.lanacion.com.ar/politica/randazzo-confirmo-su-intencion-de-ser-candidato-a-presidente-en-2015-nid1655675/ |
|
|
Lawless, Jennifer L. 2004. “Women, war, and winning elections: Gender stereotyping in the post-September 11th era.”Political Research Quarterly, 57 (3): 479-490. http://dx.doi.org/10.1177/106591290405700312 |
|
|
Lawless, Jennifer L., y Richard L. Fox. 2010. It still takes a candidate: Why women don’t run for office. Cambridge University Press. http://dx.doi.org/10.1017/CBO9780511778797 |
|
|
Luna, Juan Pablo, Rafael Piñeiro Rodríguez, Fernando Rosenblatt, y Gabriel Vommaro, eds. 2021. Diminished Parties: Democratic Representation in Contemporary Latin America. Cambridge University Press. http://dx.doi.org/10.1017/9781009072045 |
|
|
Luján, Diego. 2017. “El costo de coordinar: número de candidatos presidenciales en América Latina 1993-2010.”Revista de Ciencia Política (Santiago), 37 (1): 25-46. |
|
|
Morgenstern, Scott, y Peter M. Siavelis. 2008. “Pathways to power and democracy in Latin America”. En Pathways to Power. Political Recruitment and Candidate Selection in Latin America, compilado por Peter M. Siavelis y Scott Morgenstern Pennsylvania: The Pennsylvania State University Press/University Park. |
|
|
Molina, Anabella. 2024. “La representación de género en los gabinetes de gobierno-RGGG: Una revisión de literatura enfocada en América Latina (1997-2023).”Revista SAAP, 18(1): 103-129. http://dx.doi.org/10.46468/rsaap.18.1.n1 |
|
|
Mejía, Luis Bernardo, Andrés Felipe Barinas Forero y Michelle Lorena Mora Oviedo. 2021. “¿Es hora de un cambio de ministro? La supervivencia del gabinete en Colombia 1958-2018”. Desafíos, 33 (2): 72-104. http://dx.doi.org/10.12804/revistas.urosario.edu.co/desafios/a.8524 |
|
|
Olivares, Alejandro. 2018. “Ministros y precandidatos presidenciales en Chile.”Revista Chilena de Derecho y Ciencia Política, 9 (2): 230-258. |
|
|
Olivares, Alejandro. 2022. Survival of Ministers and Configuration of Cabinets in Chile and Uruguay. Springer Nature. http://dx.doi.org/10.1007/978-3-030-92802-5 |
|
|
Página 12. 2007, Junio 8. “El radical Morales será el candidato a vice de Lavagna, el ex ministro completó la fórmula”. Extraído de https://www.pagina12.com.ar/diario/elpais/1-86220-2007-06-08.html |
|
|
Página 12. 2007, “Concluyo el escrutinio definitivo de las elecciones presidenciales y CFK superó la barrera del 45”. Extraído de https://www.pagina12.com.ar/diario/elpais/1-94612-2007-11-13.html |
|
|
Página 12. 2015, Junio 19. “Florencio Randazzo se bajó del tren”. Extraido de https://www.pagina12.com.ar/diario/elpais/1-275258-2015-06-19.html |
|
|
Pérez, Verónica., Rafael Piñeiro, & Fernando Rosenblatt. 2020. How party activism survives: Uruguay’s Frente Amplio. Cambridge University Press. |
|
|
Piñeiro, Rafael, y Fernando. 2020. “Stability and incorporation: Toward a new concept of party system institutionalization.”Party Politics, 26 (2): 249-260. |
|
|
Portmann, Lea. 2022. “What Makes a Successful Candidate? Political Experience and Low-Information Cues in Elections.”Journal of Politics, 84 (4). http://dx.doi.org/10.1086/719638 |
|
|
Schlesinger, Joseph A. 1966. Ambition and politics: Political careers in the United States. Chicago, Rand McNally. |
|
|
Schlesinger, Joseph A. 1994. Political Parties and the Winning of Office. Ann Arbor, The University of Michigan Press. http://dx.doi.org/10.3998/mpub.7811 |
|
|
Semana. 2018a, Marzo 16. “Pinzón acepta ser la fórmula vicepresidencial de Vargas Lleras”. Extraído de https://www.semana.com/juan-carlos-pinzon-formula-a-la- vicepresidencia-de-german-vargas-lleras/560491/ |
|
|
Siavelis, Peter M., y Scott Morgenstern. 2008. “Candidate recruitment and selection in Latin America: a framework for analysis.”Latin American Politics and Society, 50 (4): 27-58. http://dx.doi.org/10.1111/j.1548-2456.2008.00029.x |
|
|
Saiegh, Sebastián M. 2015. “Using joint scaling methods to study ideology and representation: Evidence from Latin America”. Political Analysis, 23(3): 363-384. http://dx.doi.org/10.1093/pan/mpv008 |
|
|
Seawright, Jason. 2016. Multi-method social science: Combining qualitative and quantitative tools. Cambridge University Press. http://dx.doi.org/10.1017/CBO9781316160831 |
|
|
Sotomayor, Patricia, y Sergio Huertas-Hernández. 2017. “Mujeres en gabinetes ministeriales. Un estudio de Ecuador desde el retorno a la democracia (1979-2015).”Política. Revista de Ciencia Política, 55(2): 7-32. |
|
|
Sotomayor, Patricia, y Sergio Huertas-Hernández. 2021. “El camino hacia los gabinetes ministeriales: un estudio de los factores que influyen en la designación de mujeres ministras en Ecuador y Colombia, 1978-2018.”Colombia Internacional, (105): 29-55. http://dx.doi.org/10.7440/colombiaint105.2021.02 |
|
|
Vairo, Daniela. 2008. “Juntos pero no casados: los efectos de la reforma constitucional al interior de los partidos”. Revista Uruguaya de Ciencia Política, 17(1), 159-181 |
|
|
Wuhs, Steven. 2009. “Las reglas “democráticas” y las implicaciones antidemocráticas: Selección de candidatos presidenciales en el PAN y el PRD para las elecciones de 2006.”Política y Gobierno (2): 51-75. |
Tabla A1.
Estadísticas descriptivas de las variables utilizadas en la regresión
| Variable | Observaciones | Media | Desv. Estándar | Min | Max |
|---|---|---|---|---|---|
| Nombrado Precandidato presidencial | 1,007 | 0.0566 | 0.2312 | 0 | 1 |
| Perfil Político del Ministro(a) | 1,007 | 0.5889 | 0.4923 | 0 | 1 |
| Milita en el Partido del Presidente | 1,007 | 0.4866 | 0.5001 | 0 | 1 |
| Orientación Ideológica | 978 | 5.3437 | 1.7829 | 1.90 | 9.46 |
| Ministerio Mixto | 1,007 | 0.0745 | 0.2627 | 0 | 1 |
| Ministerio Económico | 1,007 | 0.3615 | 0.4807 | 0 | 1 |
| Ministerio Social | 1,007 | 0.3108 | 0.4631 | 0 | 1 |
| Ministerio Político | 1,007 | 0.2532 | 0.4351 | 0 | 1 |
| Militar en Partidos Políticos | 1,007 | 0.8083 | 0.3938 | 0 | 1 |
| Edad del Ministro(a) | 1,007 | 51.5911 | 8.8477 | 24 | 83 |
| Sexo del Ministro(a) | 1,007 | 0.7805 | 0.4141 | 0 | 1 |
| Familia en Política | 1,007 | 0.2493 | 0.4328 | 0 | 1 |
| Variación PIB pc | 1,007 | 4.8576 | 8.1364 | -17.752 | 34.180 |
| Días en el cargo | 1,007 | 733.9017 | 487.1525 | 3 | 2191 |
| Inst. Sistema de Partidos | 1,007 | 0.7356 | 0.2424 | 0.2260 | 0.9720 |
| Aprobación Presidencial | 867 | 45.8203 | 11.0581 | 22.5 | 74.2 |
| [a] |
Es candidato a Doctor en Ciencia Política por la Pontificia Universidad Católica de Chile, en donde tiene una maestría en Ciencia Política. Además, tiene una maestría en Política Comparada de la Facultad Latinoamericana de Ciencias Sociales, Ecuador y una licenciatura en Ciencia Política de la Universidad del Tolima (Colombia). Sus intereses de investigación se centran en el campo de la política comparada e incluyen instituciones políticas, democracia, estudios legislativos y ejecutivos. |
| [b] |
Doctor en Ciencias Sociales y Magíster en Ciencia Política, ambos de la Universidad de Chile. También obtuvo una Licenciatura en Ciencia Política de la Universidad Central de Chile. Es investigador del Fondecyt Regular 1241123 financiado por la Agencia Nacional de Investigación y Desarrollo de Chile. Además, es investigador adjunto del Centro de Investigaciones en Salud y Sociedad de la Universidad Mayor e investigador joven del Núcleo Milenio sobre Desigualdades y Oportunidades Digitales (NUDOS). Desde 2022 es director de la carrera de Administración Pública de la Universidad Mayor. Anteriormente fue profesor visitante en FLACSO Ecuador (2018-2020). |
| [c] |
Es candidato doctoral en la Universidad de Colorado Boulder, donde tiene una maestría en Ciencia Política. Además, tiene una maestría en Política Comparada de la Facultad Latinoamericana de Ciencias Sociales, Ecuador y una licenciatura en economía de la Pontificia Universidad Católica del Ecuador. Sus principales áreas de investigación son la economía política comparada, metodología en ciencia política, el comportamiento político y la política latinoamericana. |