RESUMEN
Este artículo analiza el sentimiento de los mensajes publicados en la red social Twitter durante los debates de las elecciones de Galicia y País Vasco en el 2020. Se trata de comprobar si hay un sentimiento negativo dominante y si varía cuando interviene el candidato a la reelección —competición electoral—, si difiere cuando intervienen partidos de los extremos ideológicos —cámaras de eco— y si ante un tema que afecta a ambos electorados por igual se produce la misma reacción. Se demuestra que en el País Vasco importa más quién interviene —más competición electoral—, mientras que en Galicia son los temas los que motivan la conversación en Twitter.
Palabras clave: análisis de sentimientos, twitter, elecciones autonómicas, debates electorales.
ABSTRACT
This article analyzes the sentiment of messages posted on the social network Twitter during the electoral debates in for the regional elections held in Galicia and the Basque Country in 2020. The aim is to test whether a dominant negative sentiment exists in the messages and whether this varies when the candidate for re-election intervenes —election competition—, whether it differs when parties from the ideological extremes intervene —echo chambers—, and whether the same reaction occurs when the issue at stake affects both electorates equally. It is shown that in the Basque Country it is more important who intervenes —more electoral competition—, while in Galicia the issues are the ones that motivate Twitter conversations.
Keywords: sentiment analysis, Twitter, regional elections, electoral debates.
Los últimos meses han sido especialmente extraños en la vida de cualquier persona: la crisis multinivel provocada por el SARS-CoV-2 ha repercutido en todos los aspectos de la sociedad, y muchas cosas que se asumían como normales ya no lo son, o no de la misma forma. Aunque Galicia y País Vasco preveían celebrar elecciones autonómicas en abril de 2020, se produjo un aplazamiento de estas convocatorias al mes de julio, en medio de una pandemia. Es difícil valorar cuánto ha cambiado la COVID-19 a la sociedad en términos electorales, pero sí está claro que las campañas que conocíamos no podían desarrollarse de la misma forma: por ejemplo, aparecieron los mítines en YouTube y las quedadas con los líderes en foros online, lo que revela cómo internet ha ido ganando terreno a los foros tradicionales.
Hace años que desde la disciplina de la ciencia política se estudia el papel de las tecnologías 2.0, en general, y las redes sociales, en particular, en la política y más concretamente en las convocatorias electorales. La nueva normalidad invita a pensar cómo se van a vivir estas campañas en redes, qué mensajes se recogen en estas y, en este caso, cómo se viven los debates electorales en la conversación online. El interés de este análisis reside en el excepcional momento que se está viviendo, ligado al que aún hoy sigue siendo el acontecimiento electoral que más miradas concentra: el debate electoral. Se trata de un análisis de las conversaciones que tuvieron lugar en Twitter durante los principales debates electorales de las últimas elecciones gallega y vasca, un análisis de sentimiento de los mensajes ligados a estos debates, con el fin de extraer conclusiones que permitan conocer más a fondo a los espectadores y potenciales votantes.
De esta conversación en Twitter no se analiza la totalidad de mensajes producidos al respecto de los debates que se analizan aquí. Se ha recopilado una cantidad de mensajes que suponen una muestra significativa para ver cómo es la reacción manifiesta de los espectadores durante los debates. Se pone el foco en las intervenciones del candidato a la reelección, la reacción a temas concretos de especial interés general en el momento del debate o si estos usuarios reciben el efecto de cámaras de eco que condicionan sus mensajes en redes sociales. Esta conversación de Twitter, diferente a la que se tendría cara a cara, conserva peculiaridades, pero es una muestra efectiva de la opinión espontánea de los ciudadanos, y por ello merece ser analizada.
Analizamos los debates electorales celebrados en Galicia y País Vasco durante las elecciones autonómicas de 2020. Estos tuvieron lugar en unas circunstancias excepcionales en la historia democrática española, pues estuvieron condicionadas por las medidas preventivas y regulaciones sanitarias provocadas por la COVID, que obligaron a celebrar las campañas de forma diferente a cómo conocíamos hasta ahora —actos presenciales con limitación de aforo, distancia interpersonal, limitación de gestos entre candidatos y ciudadanos, entre otras medidas excepcionales—. También ocuparon un espacio relevante nuevos temas que hasta entonces no habían alcanzado tanta fuerza en el debate público electoral como la sanidad, las competencias territoriales, la educación o la generación de empleo y el cuidado a los trabajadores.
Entre las redes sociales que acaparan mayor volumen de usuarios, se ha seleccionado Twitter porque en uso que se hace de la misma es común el diálogo político, bien de forma exclusiva en y entre cuentas muy específicas que comentan los contenidos políticos de forma continuada, bien porque las circunstancias invitan a que, con un coste de participación muy bajo, cualquiera pueda adherirse a la conversación política o lanzar sus ideas de forma puntual. Twitter, no siendo una muestra perfecta de la población (Barbera y Rivero, 2015), es un potente altavoz en términos políticos. Por ello, cabe analizar cómo se reciben los debates electorales en esta red social en un momento en que la comunicación impersonal y las decisiones políticas tenían una relevancia especial.
Este artículo analiza de forma específica las conversaciones que se produjeron en Twitter durante los grandes debates electorales televisados enmarcados en las campañas electorales gallega y vasca. Estos dos debates permitirán comprobar cómo es la conversación en redes durante los mismos, el uso de la doble pantalla, así como la reacción a diferentes estímulos —partidos de extrema derecha/izquierda, el candidato a la reelección o el tema más relevante a nivel mundial— y el comportamiento comparado de los diferentes electorados. Para ello, se analizará el propio debate, teniendo en cuenta el momento en que tuvo lugar cada intervención, para comprobar los sentimientos que los debates despertaron y trasmitieron a sus espectadores en diferentes momentos.
En un contexto único, se analiza cómo es la reacción de los votantes ante los estímulos que perciben del debate, bien sea la aparición del candidato a la reelección, que se trate un tema de importancia crucial durante los últimos meses o que aparezca un líder de un partido ubicado en un extremo ideológico. El planteamiento es determinar si hay algún sentimiento —negativo— que domine las interlocuciones en Twitter. De esta forma, se pretende vislumbrar cómo es la competición electoral a través de los mensajes en Twitter, y ver si en ese momento de aumento de la polarización, la presencia de cámaras de eco tiene alguna repercusión sobre la forma en cómo se opina sobre el debate, dando lugar a más negatividad.
A través de este análisis se pretende comprobar si la competición electoral cala en usuarios activos de Twitter, de tal forma que se pueda determinar a través de sus mensajes y en función de cómo reaccionen a unos estímulos u otros si los niveles de competitividad varían de un territorio a otro. Se trata de describir las dinámicas durante los últimos debates electorales más que explicar las causas de los diferentes sentimientos —negativo, positivo o neutral— y/o su variación en diferentes momentos del debate. No se busca alcanzar un alto grado de validez externa, ya que los resultados no son automáticamente extrapolables a otros debates con una presencia significativa de usuarios multipantalla. Se trata de un análisis descriptivo del sentimiento de los mensajes en Twitter con una validez interna corroborada, respaldada en unos datos sólidos y originales. Por otra parte, y aunque el estudio de la relación entre las redes sociales y la política es cada vez más amplio, los estudios sobre el sentimiento de los mensajes en Twitter durante los debates electorales aún no han sido suficientemente explotados y en España quedan aspectos por tratar, como el que aquí se aborda.
La pregunta que plantea este artículo es: ¿cuál es el sentimiento de los mensajes en Twitter durante los debates electorales? Se tratará de responder a esta pregunta analizando tuits descargados simultáneamente a los debates electorales. Se tratarán para limpiarlos y dejar solo los que tienen interés analítico (eliminando el ruido) para someterlos a ese análisis que muestre si el sentimiento negativo domina en la conversación en Twitter. Respecto a las hipótesis, el análisis verificará esas reacciones por momentos, tras categorizar la base de datos en función al tiempo, para ver si se dan reacciones diferentes en función del candidato que interviene, del partido que tiene voz en ese momento y del tema que se trata. Conocer más sobre estos mensajes permitirá conocer más sobre los votantes, sobre lo que trasmiten y si, viendo el sentimiento de forma agrupada, se puede percibir cómo el sistema de partidos se refleja en el comportamiento de los votantes.
Las campañas electorales son un elemento imprescindible dentro de las convocatorias electorales. Regulado por ley[1], en España a cada cita electoral le precede un periodo de quince días previos a la votación en los que los candidatos pueden acercarse a la ciudadanía con el fin de demandar su voto y convencerles de que son la mejor opción. Aunque parece que actualmente las campañas no terminan y que la realidad política absorbe a los ciudadanos en un continuo ruego del voto, no han perdido fuelle y siguen acaparando todas las miradas antes de los días claves de la campaña. Martínez i Coma (2008: 8) señala que es el momento en que los partidos cuentan con todos los medios para conseguir el voto y, aunque actualmente la campaña parece no terminar nunca, ningún momento acapara tal atención electoral como la campaña.
La influencia de campañas electorales en el voto ha sido un objeto de estudio habitual, desde teóricos clásicos como Lazarsfeld a estudios centrados en el caso español, como el realizado por Martínez i Coma (íd.). Los pioneros en el estudio de las campañas electorales fueron Lazarsfeld et al. (1944), pertenecientes a la escuela de Columbia, que en 1940 fueron los primeros en medir los efectos de las campañas electorales en el voto. Su conclusión no fue tanto que las campañas produjeran cambios muy fuertes, sino que reforzaban ideas que ya se tenían, consolidándolas. Las campañas, más que influir, activan disposiciones que con más o menos fuerza ya se tienen y no introducen nuevas percepciones que no se tuvieran.
Ferrán Martínez i Coma (2008) analizó la importancia de las campañas electorales en España. Afirmaba su influencia era limitada; pese a ello, siguen totalmente vigentes y esto es así porque importan: los medios centran su atención en estas y los ciudadanos siguen consumiéndolas. A lo largo del tiempo, han conseguido evolucionar, transmitirse de formas diferentes e incorporar nuevos elementos que, hoy en día, se han convertido en imprescindibles, como los debates electorales, evento sobresaliente en lo que a atención respecta. Los debates, además, rompen con la exposición selectiva de los mensajes ya que, independientemente de que contribuyan a reforzar la percepción inicial del espectador de sus intereses ideológicos/partidistas, todos los mensajes de los diferentes partidos llegan a la vez sin que sea posible seleccionar exponerse a uno de ellos, aunque sí pueda retenerse solo uno de los mensajes (Canel, 1998: 52-53).
Este artículo analiza los debates electorales enmarcados dentro de dos campañas electorales autonómicas. Si bien estas podrían calificarse de menor importancia, al corresponder a una arena electoral ocasionalmente contaminada por la nacional, también poseen buena cantidad de competencias, unas reconocidas por el votante y otras desapercibidas para este, que hacen muy atractivo analizar cómo se reciben estos debates. Por otra parte, cabe recordar que el primer debate electoral que tuvo lugar en España, al contrario de lo que se piensa e incluso muchos conocedores de esta materia señalan, no fue el de Fraga con Morán en 1987 dentro de la campaña para las elecciones europeas (Campo Vidal, 2016: 38) o el de Aznar con González en 1993, el primero entre cabezas de lista para las elecciones generales. El primer debate electoral fue el de las elecciones autonómicas de Cataluña de 1984 televisado por TV3[2]).
Uno de los grandes teóricos de los debates electorales es Alan Schroeder (2008), quien ha estudiado extensamente los debates acontecidos en Estados Unidos y cuya teoría, salvando las distancias, sirve para comprender el fenómeno en el caso de España. A esta americanización en el uso de los debates en las campañas electorales se han referido muchos autores, entre ellos Anstead (2016: 5), que observa acertadamente cómo las campañas a lo largo del mundo se están americanizando progresivamente, siendo la escalada de popularidad de los debates electorales el mejor ejemplo de esto (ibid.: 6). Los debates que tienen lugar en España no son como los estadounidenses, pero la costumbre se hibridiza (ibid.: 7) tanto que hoy en día es difícil imaginar una convocatoria electoral sin la celebración de debates.
La razón de celebración de estos no es porque tengan un efecto significativo sobre las tendencias de los votantes en términos de cambio de preferencia del voto, ya que en muchos casos los debates refuerzan sus ideas de partida, consolidadas al verlas confrontadas con las de los adversarios electorales directos, aunque los debates sí pueden influir sobre el votante indeciso (ibid.: 4). Canel también señala el efecto limitado de los debates (1998: 64) al señalar cómo estos refuerzan las ideas preexistentes del votante, cuando la decisión ya está tomada hacia determinado candidato. También hay que tener en cuenta la advertencia de Schroeder (2008: 296-298) respecto al modelo electoral presidencial mayoritario estadounidense, que puede extrapolarse a España: no debe trasladarse el ganador del debate al vencedor electoral. Esto es una simplificación errónea de la dinámica electoral, aunque el diálogo posterior, la agenda mediática y las conversaciones las encabeza el ganador.
También hay literatura especializada que subraya la pérdida de interés que están experimentando los debates electorales (Pérez-Curiel y García Gordillo, 2019). Sin embargo, gracias a los medios actuales las audiencias de los debates crecen tanto en directo como en las emisiones en diferido (Rodríguez-Breijo y Gallardo-Camacho, 2020). Actualmente se sigue dando importancia a quién gana, pero cada vez importa más lo que se trasmite. Hoy en día, se puede conocer el sentimiento de los mensajes que se comparten en redes sociales, un acercamiento muy eficaz a lo que perciben los espectadores. Las redes sociales permiten ver qué se recibe del debate y qué provoca lo que se dice y quién lo dice. La consolidación de los debates y de Twitter como herramienta para la comunicación política hacen que este análisis sea plenamente relevante.
La literatura también ha abordado los efectos de los debates. Así, por ejemplo, García Hipola (2021) ha señalado que los debates tienen la capacidad de influir en los votantes, además de ser una herramienta muy efectiva para llegar al electorado por medio del «efecto refuerzo». En este artículo se pretende analizar qué provocan los debates en la audiencia, no si estos son capaces de generar un cambio en sus percepciones iniciales o en el voto. De acuerdo con la teoría clásica, el efecto de la campaña —y de los debates— es muy limitado, pues las tendencias partidistas y de voto muy estables, ligadas al entorno familiar, provocaban que, aun generándose influencias durante la campaña, a la larga no llegaban a ser significativas en tanto que el voto siempre se revertía hacía la primera tendencia (Campbell et al., 1960). El objetivo es saber qué despiertan los debates en el votante y qué lo mueve a manifestar su opinión al exponerse a un debate electoral.
Tras someterse a todas las propuestas y mensajes del candidato durante el debate, el espectador trasmite su opinión. Publicar una opinión y acceder a ella hoy en día es muy sencillo con las redes sociales. Esto hace que sea muy fácil publicar y consumir contenidos en redes sociales mientras se ve un contenido televisado, como puede ser un debate electoral. Los debates acaparan la atención de la audiencia porque son una oportunidad única para ver a los candidatos defendiéndose y ensalzándose frente a sus adversarios, y el espectador puede ver a los candidatos intercambiar argumentos de forma natural y espontánea (Schroeder, 2008: 283-284). Esto da lugar a que se consuma el debate y, paralelamente, se produzca un contenido que responde a lo que se está visionando con potencial capacidad de influencia en otros lectores o en los medios.
Andrew Chadwick (2010: 39) mostró los cambios en la circulación de conocimiento al demostrar cómo el ciclo de las noticias se compone de diversos actores: medios tradicionales y nuevos, que entendidos en su contexto forman parte imprescindible del nuevo ciclo de información política. Por ello, ver solo el debate nos informa, pero solo es una parte del ciclo de noticias. Se debe contar con las redes sociales para comprender de qué se habla en el momento en que se producen los titulares, abarcando a todo el espectro de usuarios: blogueros, líderes de opinión, medios y ciudadanos; todos ellos componen una nueva esfera generadora de noticias e interesa ver qué se trasmite.
Las redes sociales han adquirido una importancia tangencial no solo como un elemento de comunicación entre pares iguales, también como un elemento capaz de generar información relevante que introduce temas en la agenda mediática y, como otros autores han analizado, son un generador de debate e información política. Observando esta nueva realidad es como surge el término viewertariat, acuñado por Nick Anstead y Ben O’Loughlin (2011). Con este término definen el uso de dos pantallas de forma simultánea, de forma que mientras se consume contenido en una —el debate— se genera de manera simultánea contenido en otra —publicaciones en redes— (ibid.: 441). Por otra parte, la realidad se impone a las redes sociales como un elemento fundamental en la campaña electoral. Durante la campaña, y concretamente durante la emisión de los debates electorales, las redes sociales son fuertemente usadas por líderes (Fontenla et al., 2019) y medios de comunicación (Fontenla et al., 2020) para mantener el debate y captar la atención, aunque sea con conversaciones unidireccionales.
Anstead y O’Loughlin ya estudiaron cómo las emisiones televisivas podían motivar la publicación de contenido en redes sociales, generándose una conversación dinámica entre lo que recibe el espectador y los comentarios que produce a ese respecto. Anstead y O’Loughlin percibieron esto en 2009 y hoy en día, con la situación actual de expansión de las redes sociales a más ámbitos, edades y usos de la vida, el consumo de contenidos audiovisuales va acompañado del uso de redes sociales para poder compartir qué se ve y la opinión que ese contenido está despertando en quien lo ve, también los debates electorales. Este será el objeto de interés en este artículo: si este espectador multipantalla describe la realidad política no apreciable a simple vista.
Esos mensajes son el objeto de estudio de este artículo, si bien es cierto que estos autores advierten de la limitada cantidad de espectadores que abarcaba este concepto (Anstead y O’Loughlin, 2011: 459). Es razonable pensar que diez años después del análisis en que se basa su teoría, la situación haya avanzado de forma paralela al incremento del uso de las redes sociales y que la cantidad de espectadores activos en dos pantallas sea mayor y abarque a una cuota de audiencia mayor (ibid.: 457). Ya no se trata solo de quiénes ven el debate, sino de aquellos que comparten sus reacciones inmediatas sobre lo que ven. Este es un análisis del consumo de contenidos que genera otro contenido, otra conversación. El debate generando un debate paralelo. También hay evidencia positiva del uso, en términos participativos, que supone el consumo de contenido político en dos pantallas, ya que se consigue que los ciudadanos se motiven para expresar su opinión, seguir la campaña y, por ende, informarse (Chadwick et al., 2017).
En España aún no se cuenta con estudios que analicen el viewertariat, pero sí hay estudios cuyos resultados consiguen perfilar al usuario de redes sociales con motivaciones políticas, como el de Eva Anduiza et al. (2012), que analizaron cómo era la exposición política a través de internet a comienzos de década. De este estudio se puede extraer que el perfil de quienes hacen un uso político frecuente de internet: ciudadanos jóvenes, con un nivel de estudios alto, además de tener un interés marcado en cuestiones políticas (ibid.: 680).
Esos jóvenes hoy se contabilizan como población adulta en una sociedad aún más digitalizada, por lo que la conclusión a la que llegaban estos autores es que el dominio de los medios tradicionales (ibid.: 684) ha evolucionado hacia la coexistencia de ambos medios, más aún cuando el contexto actual ha llevado a las campañas a situaciones excepcionales como los mítines vía streaming en YouTube o las rondas de preguntas para candidatos, sin público, en las que las inquietudes de los ciudadanos se recojan vía online.
El estudio de las redes sociales en contacto con la política se ha desarrollado en múltiples vértices: se han estudiado los debates en Twitter (Elmer, 2013), el uso que hacen de las redes candidatos y partidos (Aragón et al., 2013; Evans et al., 2014), los umbrales de participación política en Twitter (Vaccari et al., 2015), así como otros han estudiado la predicción de resultados electorales con datos de Twitter (Gayo-Avello, 2013). Incluso existen revisiones de toda esta literatura, como la de Jungherr (2016), que recopila una gran cantidad de estudios para macroanalizar el uso de Twitter en las campañas electorales. Congosto (2015) publicó un estudio centrado en España sobre el sentimiento de los mensajes en Twitter durante la campaña de las elecciones al Parlamento Europeo en el 2014. Todos tienen una gran relevancia y mantienen aún la puerta abierta a ampliar el análisis sobre el sentimiento de los mensajes producidos durante los debates electorales autonómicos en España.
El análisis de sentimiento está mostrándose como una técnica especialmente adecuada para el análisis político y de la situación de la opinión de la ciudadanía (Liu, 2012: 6; Ahlgren, 2016) en lo que a los sentimientos que mueven estas se refiere. Por ello, cada día se emplea más esta técnica en las ciencias sociales en general y la ciencia política en particular (Hollander et al., 2016). Desde hace diez años, el análisis de sentimiento se ha usado para estudiar multitud de cuestiones: así pues, cada vez son más los análisis de sentimiento que encontramos, aplicados para estudios de percepción ciudadana —que se han mostrado de especial utilidad en la época de pandemia— (Paul, 2022), de las élites (Mehmetcik y Salihi, 2022), de la situación social (Suárez Estrada et al., 2022) y el comportamiento electoral (Belcastro et al., 2022), así como está demostrando ser de gran utilidad para el estudio de la polarización (Belcastro et al., 2020).
En este artículo se emplearán tres hipótesis que pretenden ampliar el conocimiento respecto a la reacción de los ciudadanos a varios aspectos de los debates televisados: a) el candidato, b) los partidos (según se ubiquen estos en el centro o en los extremos ideológicos) y c) los temas del debate (si ambos electorados afrontan un tema común de la misma forma o lo reciben con más negatividad). Tomando como objeto de estudio los mensajes producidos en la red social Twitter durante el desarrollo de cada debate electoral principal de las últimas elecciones gallega y vasca, se establece el sentimiento de los mensajes en Twitter como variable dependiente y se formulan tres hipótesis para determinar la influencia y cómo condicionan a los espectadores dos variables independientes: el sujeto de la intervención (hipótesis 1 y 2) y la temática del debate (hipótesis 3).
Hipótesis 1. El sentimiento negativo aumenta durante las intervenciones del incumbent[3]
Las elecciones son el momento en que los votantes hacen efectiva la rendición de cuentas: pueden manifestar su satisfacción o decepción con quien preside, y expresan si vuelven a confiar en este candidato o no. Por el tono en redes, cabe esperar que la reacción de los espectadores sea más negativa cuando Alberto Núñez Feijóo (Galicia) o Iñigo Urkullu (País Vasco) intervienen en el debate (Pérez-Curiel y García Gordillo, 2019: 262). Morlino (2007: 10) definió la rendición de cuentas como el mecanismo de evaluación de los ciudadanos a sus gobernantes, que garantiza que quien gobierna deba someterse a la revisión de los votantes. Hoy en día, la rendición de cuentas apenas ha cambiado y sigue haciéndose visible por la vía electoral, aunque puede percibirse en otros medios, como las redes sociales, que permiten ver cómo los ciudadanos reciben y valoran la labor del candidato que se plantea renovar el mandato.
Fiorina (1981) argumentó que los ciudadanos eran capaces de valorar las políticas y acciones del Gobierno, aunque no conocieran exactamente cuáles se habían empleado. El desconocimiento no impide al votante valorar su nivel de bienestar y su satisfacción. De acuerdo con esto, optará por una opción electoral u otra, premiando o castigando —absteniéndose o votando a otro partido—. Si el votante no está satisfecho, cuando se le presente la oportunidad de mostrar su opinión habrá más opciones de expresión de esta cuanto más bajo sea el coste de participación (y el coste de participación en redes sociales es mínimo). Este artículo analiza si se puede percibir la rendición de cuentas negativa[4] a través de las redes sociales teniendo en cuenta el sentimiento con el cual se reacciona a las apariciones del candidato a la reelección.
Muy próxima a la rendición de cuentas está la competición electoral, pues quien gobierna debe ensalzarse frente al resto para mantener y capturar los votos del electorado (Martínez i Coma, 2008: 8), solventando también deficiencias que hayan tenido lugar durante la legislatura y puedan dar lugar a una rendición de cuentas perjudicial —los candidatos han de mantenerse activos en campaña para evitar el voto de castigo (Alaminos y Alaminos-Fernández, 2018: 49)—. El papel de la oposición es fundamental en la rendición de cuentas (Downs, 1957), pues es quien reta al partido en el Gobierno. Y es en el debate cuando se ve de forma directa la competición entre ambos, pues son quienes se focalizan en superar al candidato, revisando sus actos y justificando sus hechos. La oposición, más crítica en el debate y más activa en redes sociales (Jungherr, 2016), se espera que pueda incentivar más negatividad en redes contra su adversario.
Hipótesis 2. Los partidos ubicados en los extremos ideológicos generan un sentimiento más negativo que los ubicados en el centro
Los grupos de afines como redes de socialización llevan años estudiándose, demostrándose que estos alejan a los no afines y que se refuerzan con ideas más próximas a sus intereses (Putnam, 2000; Van Alstyne et al., 1996). Hoy los denominamos «cámaras de eco», y han alcanzado más fuerza con el crecimiento de Twitter y su uso político. Las redes sociales permiten que cualquiera pueda participar en discusiones políticas con un coste de participación mínimo, así como exponerse únicamente a mensajes de afines. Entre la variedad, escogen informarse e incluirse en redes de información que se componen de mensajes afines con su ideología (Putnam, 2000; Aiello, 2012; Barberá, 2015; Barberá et al., 2015; Sunstein, 2018).
Barberá (2015, 2020) estudió si estas cámaras de eco favorecen o no la polarización. En sus análisis no halló presencia de polarización, pero sí corroboró la existencia de cámaras de eco (Barberá, 2020:4), que muchos autores señalan como parte de la polarización latente. En este artículo, tras ubicar ideológicamente a los partidos dentro del eje izquierda-derecha, se comparan las reacciones a los partidos de los extremos frente a los ubicados en el centro de ideológico. Se pretende comprobar si hay cámaras de eco que incentivan conversaciones con mayor carga negativa, ubicando los momentos del debate en los que interviene cada partido con el sentimiento correspondiente según la hora. Lo mismo sucede con un reciente estudio de Javier Lorenzo-Rodríguez y Mariano Torcal (2022) en el que no se han encontrado indicios para afirmar que las redes sociales son capaces de generar polarización.
Tanto en esta hipótesis como en la primera, la expectativa es encontrar un sentimiento negativo dominante. La literatura, sin embargo, ha demostrado que la carga de sentimiento negativo no es dominante para ningún grupo de usuarios (Boulianne, 2016: 570), e incluso entre los ciudadanos Boulianne encuentra un sentimiento dominante positivo. Se espera negatividad por las extraordinarias circunstancias actuales, enclavadas en un momento de crispación mediática sostenida que impone una dinámica en Twitter de dominio de la negatividad. Además, ya advierte Boulianne (ibid.: 571) que la negatividad de los mensajes debe explorarse aún con más profundidad.
Hipótesis 3. La crisis por el coronavirus provoca el mismo sentimiento en ambas audiencias
Aún no se cuenta con literatura que refuerce esta hipótesis, pero la actualidad invita a estudiar qué sucede cuando se menciona en diferentes debates una crisis, como la provocada por la COVID, que ha afectado a ambos territorios por igual. Se comprueba si se producen sentimientos diferenciados entre electorados. Ambos han compartido la presión mediática y el contexto global, pero a nivel territorial la gobernanza, las medidas y las políticas han sido ligeramente diferentes entre territorios. Los debates han tratado el tema de la COVID-19 con gran profundidad, y por la intensidad con la que se ha vivido esta cuestión en los últimos meses, resulta relevante estudiar no solo si el tema ha marcado la diferencia en cómo reacciona el electorado, sino si un tema común, que afecta a ambos territorios, genera las mismas reacciones durante el debate electoral.
Se analizan los tuits recogidos[5] durante los dos grandes debates televisados enmarcados en las últimas campañas electorales gallega y vasca. Son dos elecciones simultáneas en el tiempo, pero distantes en su contexto: en Galicia el Gobierno se componía de un partido con mayoría absoluta, con previsión de revalidar la victoria electoral; mientras, en el País Vasco, aun previéndose que pudiera repetirse el ganador —como finalmente ocurrió—, la competición electoral era mayor, ya que la gobernabilidad dependía de pactos. El sentimiento nacionalista regional es fuerte en ambos territorios, con un sentimiento nacionalista independentista más fuerte en País Vasco, y en Galicia un sentimiento nacionalista que no tiende a los enunciados independentistas y, excepcionalmente, en su vertiente moderada se identifica con el Partido Popular (PP).
El sistema de partidos en ambas comunidades tampoco es el mismo. En Galicia, el dominio del Partido Popular de Galicia (en adelante, PPG) en la convocatoria electoral en 2016 fue claro: consiguió 41 escaños, tres más de los necesarios para la mayoría absoluta, lo que les reportó una cómoda mayoría parlamentaria con la que gobernar sin necesidad de pactos. El escenario en el País Vasco difería: aunque el Partido Nacionalista Vasco (en adelante, PNV) consiguió ser el partido más votado, con una diferencia de 10 escaños sobre el segundo partido, Bildu, necesitaba un socio de Gobierno al no alcanzar la mayoría absoluta. Esto obligaba a que todas las decisiones fueran pactadas entre PNV y Partido Socialista de Euskadi/Euskadiko Ezkerra (PSE-EE).
En el tiempo, el PPG nunca ha tenido grandes dificultades para obtener mayorías que le garantizaran la gobernabilidad en solitario, mientras que el PNV para gobernar siempre ha necesitado de otras formaciones. Esto dibuja una competición electoral diferente en cada autonomía. En el 2020, que se alzó con los vencedores esperados, no se dudó de que pudieran obtener la mayoría el PPG en Galicia y el PNV en el País Vasco, pero Feijóo afrontaba la campaña sin necesidad de guiños a otros partidos, reforzando así su imagen, mientras que Urkullu era consciente de que necesitaría de un socio gubernamental —como en la anterior convocatoria electoral, su socia será Idoia Mendia, candidata del PSE-EE. La competición electoral fue más fuerte en el País Vasco. Ambos candidatos se presentaron a la reelección y se analizan en la hipótesis 1.
La hipótesis 2 tiene en cuenta la ideología de los partidos desde el punto de vista de los ciudadanos. Contrasta la reacción a los partidos situados en los extremos frente a los ubicados en el centro ideológico. Para definir a estos partidos, se toman los extremos de los ejes ideológicos: del valor 0 al 3 como extrema izquierda y del 8 al 10 como extrema derecha. Esta clasificación se realiza con la media de valoración calculada de los estudios 3286 (preelectoral País Vasco) y 3287 (preelectoral Galicia) del Centro de Investigaciones Sociológicas (CIS).
Gráfico 1.
Ubicación ideológica de los partidos. Galicia

Fuente: elaboración propia según pregunta C3, estudio 3287 (CIS).
Gráfico 2.
Ubicación ideológica de los partidos. País Vasco[6]

Fuente: elaboración propia según pregunta C3, estudio 3286 (CIS).
La reacción ante los candidatos a la reelección, la influencia de los partidos de extrema izquierda-derecha y los temas transversales a toda la campaña son los aspectos que se analizan a través de la conversación en Twitter. Durante los principales debates electorales celebrados en Galicia y País Vasco para las elecciones del 12 de julio se recopilaron tuits en directo de acuerdo con menciones específicas al debate, bien sea por nombres o hashtags. La recogida de datos abarcó la duración de los debates y se realizó con la librería StreamR[7] (Barberá, 2018), que si bien no consigue recopilar la totalidad de los tuits que se producen con los requisitos marcados, ofrece una cantidad suficiente de mensajes para analizar. Para recoger los tuits de los debates se emplean referencias muy concretas al debate, como los hashtags oficiales de estas emisiones, además de los nombres de los candidatos o las referencias electorales. Esto puede conllevar a recoger ruido, pero en una posterior limpieza detallada se pueden eliminar tuits que recojan mensajes que no hagan referencia al debate (p. ej.: la palabra «debate» nos traerá tuits sobre el debate objeto de interés, pero también puede recoger información sobre otro debate de otra materia que se esté produciendo. Esos tuits serían objeto de borrado).
Tabla 1.
Información de los debates
| Fecha | Participantes | Inicio | Fin | ||
|---|---|---|---|---|---|
| TVG | 29 de junio | 7 | 22:00 | 00:46 | Retrasmitidos en abierto por televisión e internet |
| ETB | 7 de julio | 6 | 22:00 | 00:24 |
Fuente: elaboración propia.
Tras la recogida, se estructuran los tuits en una base de datos[8]. Esta se somete a un filtrado para quitar mensajes que carecen de valor analítico y se han recogido colateralmente, y se crea un corpus con los mensajes válidos para poder analizar el sentimiento de estos. Cuando se realiza una recogida de este tipo, recopilando los tuits de acuerdo con unos términos de interés (como pueden ser «debate» «elecciones», etc.), pueden recogerse también otros mensajes sin valor analítico. Por ello, posteriormente se someten estas bases de datos a una limpieza para dejar solo aquellos tuits que tienen interés para la investigación, es decir: aquellos que hacen referencia al debate de forma más o menos directa y de los cuales se puede inferir que han estado expuestos a la emisión del debate.
Para la categorización como positivo/negativo es necesario contar con un léxico y se emplea el NRC léxicon (Mohammad y Turney, 2013). A este se le aplican correcciones propias de mejora a la categorización de partida, así como incorporación de palabras propias del castellano vulgar[9] para perfeccionar la clasificación. Al aplicar el léxico a los mensajes, se contabilizan las palabras positivas y negativas de cada mensaje. La diferencia entre palabras positivas y negativas genera la puntuación del sentimiento: negativa en caso de ser menor que cero, positiva cuando es mayor que cero y neutra si es igual a cero. Esta puntuación se vincula con su mensaje correspondiente en la base de datos. Las palabras nuevas tenían vinculaciones negativas en su mayor parte al categorizarse los insultos como palabras negativas. Por otra parte, también se perfeccionó el léxico existente que, aunque bien hecho, contenía algunas palabras con categorización neutral cuando su connotación (positiva o negativa) era clara, mientras que otras aparecían duplicadas. También se añadieron flexiones gramaticales para algunas palabras. El objetivo de las correcciones e incorporaciones es alcanzar una mayor perfección en la categorización posterior.
Los tuits y su puntuación están clasificados según su hora de publicación y de acuerdo con quien aparecía en pantalla en ese momento, generando así variables de clasificación acordes con las hipótesis: intervención del candidato a la reelección (frente al resto), de los partidos de extremo (o los de centro), y el tratamiento del tema sanitario (o el resto de los temas). De esta forma puede realizarse el contraste de medias —t test— para ver si hay una diferencia real en la media de sentimiento por cada aspecto que analizar o hay una igualdad de medias que indicaría que el sentimiento es uniforme, independientemente del momento del debate o quién intervenga. La igualdad de medias de sentimiento mostraría una reacción indiferente en la conversación en Twitter.
La forma en cómo se clasifican los tuits, teniendo en cuenta quién intervenía, adopta la lógica de que estos son reacciones a lo que se está viendo, por lo que los tuits —y su calificación de sentimiento— debían relacionarse directamente con lo que aparecía en pantalla. Aparte del mensaje, los tuits recogidos ofrecen información como la hora exacta de publicación del tuit. Tras categorizar el sentimiento de los mensajes, se toma esa puntuación junto con la hora. Por otra parte, y dado que de cada debate se contaba con información exacta de su hora de inicio, pausas publicitarias —si las había—, inicio de los bloques y finalización, se podía realizar una sincronización exacta del momento temporal en el que se realizaba cada intervención. De esta forma, se podía relacionar el sentimiento de cada mensaje con su hora de publicación y la hora del debate[10]. Así, se crearon variables que categorizaran de acuerdo con las hipótesis:
—Hipótesis 1. Valor «1» si intervenía el candidato a la reelección o «0» si intervenían otros.
—Hipótesis 2. Valor «1» cuando intervenían partidos de los extremos ideológicos o «0» para las intervenciones del resto de partidos.
—Hipótesis 3. Valor «1» cuando se trató el bloque de sanidad y «0» en el resto de los bloques.
De esta forma, se categorizaba el sentimiento de los mensajes para análisis posteriores.
Se espera encontrar en estos resultados una tendencia negativa en los mensajes de Twitter para ambos debates, así como reacciones más negativas y diferenciadas cuando intervienen los candidatos a la reelección y cuando intervienen los partidos de los extremos ideológicos. En el caso del análisis de la temática del debate, con la atención puesta en el tema de la COVID, la expectativa es que ambas conversaciones mantengan la misma dinámica y reacción al ser una cuestión que ha alcanzado a todos por igual.
Los gráficos que se presentan muestran el sentimiento de los mensajes de Twitter y el momento en que se producen, agrupados por el candidato que intervenía en ese instante —hipótesis 1 y 2— o por la temática —hipótesis 3— de ese momento del debate. El fin es generar grupos que aúnen los elementos de interés para visualizar si hay acumulaciones en la zona positiva (por encima del cero) o en la negativa (por debajo del cero). Los análisis emplean el f test preliminar y el t test para contrastar las medias. El f test analiza si la varianza de las variables que se contrastan es o no igual, y con arreglo al resultado de esta prueba se realiza el contraste de medias. El t test (o test de Welch) permite ver si las medias de las variables son iguales. Una diferencia significativa de las medias demuestra que un momento del debate genera un sentimiento diferenciado del que produce el otro estímulo. Se comprueba también si el sentimiento dominante es positivo —media positiva— o negativo —media negativa—.
Hipótesis 1. El sentimiento negativo aumenta durante las intervenciones del incumbent
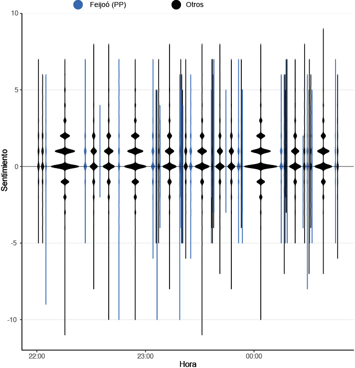
Las densidades más grandes se encuentran en la parte superior del gráfico 3, la zona del sentimiento positivo, con una presencia llamativa de la neutralidad, y picos fuertes de negatividad en algunas intervenciones. De acuerdo con el gráfico, no podría hablarse de un predominio del sentimiento negativo, y no se ven claras las desigualdades entre el sentimiento del incumbent y el resto. En lo que respecta al País Vasco (gráfico 4), la dinámica que se observa repite a la de Galicia: dominio de la neutralidad con tendencia y acumulación positiva. Esto descarta de inicio la primera parte de la hipótesis: que el sentimiento negativo domina. Para dar solidez a estas intuiciones, deben observarse los resultados de los test en la tabla 2.
Gráfico 3.
Galicia. Evolución sentimiento agrupando por incumbent

Fuente: elaboración propia a partir de Twitter (2020).
Gráfico 4.
País Vasco. Evolución sentimiento agrupando por incumbent

Fuente: elaboración propia a partir de Twitter (2020).
Tabla 2.
F test y t test - Hipótesis 1
| Test | Coef. | p-valor |
Intervalo de
confianza |
Media candidato reelección | Media otros | ||
|---|---|---|---|---|---|---|---|
| Galicia | F | 0,9618 | 0,0001 | 0,9425 | 0,9816 | ||
| T | -1,3581 | 0,1745 | -0,0327 | 0,0059 | 0,4784 | 0,4918 | |
| País Vasco | F | 1,1901 | <2,2e-16 | 1,1737 | 1,2066 | ||
| T | 3,6861 | 0,0002 | 0,0171 | 0,0560 | 0,5299 | 0,4933 | |
| Intervalos de confianza para un nivel de confianza del 95% | |||||||
| Hipótesis nula f-test: ratio de las varianzas = 1 Hipótesis nula t-test: la diferencia de las medias = 0 |
|||||||
Fuente: elaboración propia a partir de los coeficientes de sentimiento de los tuits. Twitter (2020).
Se observa cómo la varianza del sentimiento durante la intervención del incumbent frente al sentimiento en otros momentos del debate es diferente de forma estadísticamente significativa para un nivel del 99,9 % en ambos casos. Ello da validez a la comparación de medias, que concluye:
—En el caso de Galicia las medias no presentan diferencias significativas entre sí. No se producen diferencias en el sentimiento entre los momentos en los que interviene Feijóo y los que intervienen otros participantes en el debate. No se produce una rendición de cuentas clara y negativa.
—El País Vasco sí devuelve resultados estadísticamente significativos a un nivel de confianza del 99,9 %, señalando que las medias son diferentes entre los momentos en los que intervienen bien Iñigo Urkullu o Idoia Mendia frente al resto. Quienes comentaron el debate en el País Vasco no solo reaccionaron de forma diferente cuando intervenían los incumbent, sino que además eran más positivos en ese momento. En este caso, si se confirma que hay un sentimiento diferenciado cuando intervienen los candidatos a la reelección, pero no de la forma que se preveía, ya que los usuarios de redes tienden a la positividad en sus mensajes.
Hipótesis 2. Los partidos ubicados en los extremos ideológicos generan un sentimiento más negativo que los ubicados en el centro
Para Galicia (gráfico 5) se observa de nuevo cómo el sentimiento tiende a concentrarse en la zona positiva, aunque se presenten de nuevo picos de negatividad en algunos momentos. Esto mismo se observa en el caso del País Vasco (gráfico 6), dado que no se aprecian acumulaciones en la zona de negatividad y se aprecian densidades de sentimiento positivo. A continuación, el análisis con los t test clarifica las diferencias entre bloques.
Gráfico 5.
Galicia. Evolución del sentimiento agrupando por ideología

Fuente: elaboración propia a partir de Twitter (2020).
Gráfico 6.
País Vasco. Evolución del sentimiento agrupando por ideología

Fuente: elaboración propia a partir de Twitter (2020).
En el caso de Galicia se observa cómo el f test de varianza muestra igualdad de varianzas, lo que adelanta que las medias no tendrán diferencias significativas entre ellas, algo que confirma el t test. En Galicia, el sentimiento cuando intervienen líderes de partidos de extremo y cuando intervienen partidos de centro no tiene diferencias significativas y, pese a estar bastante próximo a la neutralidad, se ubican en el rango de la positividad los coeficientes de las medias. El País Vasco[11], sin embargo, ofrece otros resultados que no señalan una negatividad dominante de los mensajes (las medias tienen valor positivo), pero muestran una diferencia significativa para un nivel de confianza del 99 %.
Tabla 3.
F test y t test-Hipótesis 2
| Test | Coef. | p-valor |
Intervalo de
confianza |
Media
extremo |
Media
centro |
||
|---|---|---|---|---|---|---|---|
| Galicia | F | 0,9966 | 0,6243 | 0,9833 | 1,0101 | ||
| T | -1,4494 | 0,1472 | -0,0220 | 0,0033 | 0,4786 | 0,4880 | |
| País Vasco | F | 0,9799 | 0,0126 | 0,9644 | 0,9956 | ||
| T | 4,1442 | 3,413e-05 | 0,0188 | 0,0526 | 0,5314 | 0,4957 | |
| Intervalos de confianza para un nivel de confianza del 95% | |||||||
| Hipótesis nula f-test: ratio de las varianzas = 1 Hipótesis nula t-test: la diferencia de las medias = 0 |
|||||||
Fuente: elaboración propia a partir de los coeficientes de sentimiento de los tuits. Twitter (2020).
Esto implica que cuando intervienen partidos de extremo sí hay una reacción diferente y, en este caso, más positiva que cuando lo hacen los grupos de centro. Sería un indicativo de que las cámaras de eco pueden concentrar mensajes con un sentimiento diferenciado, aunque no tengan de forma agrupada una carga negativa significativa. De nuevo, queda patente que no existe un sentimiento negativo dominante en los tuits, pero si hay una diferencia significativa entre bloques en el caso del País Vasco, ligada a cámaras de eco de los partidos de los extremos que las emplean a su favor para ensalzarse en un clima de competición electoral más fuerte que el de Galicia.
Hipótesis 3. La crisis por el coronavirus provoca el mismo sentimiento en ambas audiencias
Leyendo el gráfico 7 del sentimiento agrupado por los momentos temáticos del debate de las elecciones gallegas, se observa claramente que la tendencia del sentimiento se ubica en la positividad, como ya hemos visto anteriormente. En lo que respecta al sentimiento en País Vasco, en el gráfico 8 se observa de nuevo una tendencia positiva clara, como sucedía en casos anteriores. Los análisis de los test son la prueba definitiva para comprender qué sucede.
Galicia. Evolución del sentimiento agrupado por bloques
Gráfico 8.
País Vasco. Evolución del sentimiento agrupado por bloques.

Fuente: elaboración propia a partir de Twitter (2020).
Tabla 4.
F test y t test-Hipótesis 3
| Test | Coef. | p-valor |
Intervalo de
confianza |
Media
sanidad |
Media otros | ||
|---|---|---|---|---|---|---|---|
| Galicia | F | -1,057 | 3,86e-06 | 1,0324 | 1,0820 | ||
| T | 2,0405 | 0,0413 | 0,0009 | 0,0463 | 0,5118 | 0,4882 | |
| País Vasco | F | 0,9847 | 0,2179 | 0,9610 | 1,0091 | ||
| T | -1,4777 | 0,1395 | -0,0458 | 0,0064 | 0,4954 | 0,5151 | |
| Intervalos de confianza para un nivel de confianza del 95% | |||||||
| Hipótesis nula f-test: ratio de las varianzas = 1 Hipótesis nula t-test: la diferencia de las medias = 0 |
|||||||
Fuente: elaboración propia a partir de los coeficientes de sentimiento de los tuits. Twitter (2020).
El País Vasco no muestra significatividad en ninguna prueba, por lo que no hay diferencias significativas en las medias. La reacción entre los diferentes bloques del debate y el tema de sanidad no presenta diferencias en el sentimiento de los mensajes en Twitter. Sin embargo, en el caso de Galicia la diferencia de varianzas en el f test se muestra estadísticamente significativa a un nivel de confianza del 99,9 %, un indicio de que la media entre el bloque dedicado a la sanidad/COVID-19 es diferente frente a la de otros temas. Esta diferencia es significativa para un nivel de confianza del 95 %, lo que señala que el sentimiento es diferente cuando se trata el tema COVID y, además, es más positivo que en el resto de los bloques.
Se descarta de nuevo la negatividad como sentimiento dominante, pero sí se corrobora la hipótesis que señala un potencial sentimiento diferente entre el bloque sanitario y el resto de los momentos del debate, siendo diferentes también las reacciones en Galicia y País Vasco.
A la luz de los resultados obtenidos, se puede afirmar que en estos dos debates, en un contexto de campañas electorales con características electorales diferentes aunque dentro de un contexto social mundial común, el sentimiento dominante es positivo en los mensajes. Esto descarta parte de las dos primeras hipótesis planteadas, que esperaban encontrar un dominio del sentimiento negativo en las publicaciones en redes sociales. Ni una situación de gran excepcionalidad ni tampoco un clima político de gran confrontación han derivado en que la red social Twitter refleje de forma analítica este sentimiento a través de sus mensajes, corroborando la evidencia teórica que se presenta en el marco teórico.
Los datos empleados muestran que, acorde con la teoría consultada, la audiencia ha reaccionado de forma diferente ante los debates: en el País Vasco se muestra un escenario electoralmente competitivo, reaccionando ante los actores políticos, mostrando reacciones significativamente diferentes según quién intervenga. En este territorio, los espectadores presentes en Twitter reaccionan más ante los líderes y los partidos que ante lo que se cuenta y no se presenta una rendición de cuentas negativa.
En el caso de Galicia, la situación es diferente: entre quienes visionaron el debate comentándolo en Twitter no se aprecian diferencias significativas en las reacciones ante diferentes partidos ni tampoco cuando interviene Feijóo, algo acorde con la relajada competición electoral gallega. El estímulo que sí marca una diferencia en las reacciones son los temas. Las reacciones respecto al tema sanitario frente al resto muestran un sentimiento significativamente diferente al del resto de los bloques. El partícipe que observaba estos debates no actuaba de acuerdo con cámaras de eco ni a la rendición de cuentas, pero sí lo hacía ante los temas.
Las redes sociales reflejan adecuadamente cómo el sistema de partidos está presente en el comportamiento de los espectadores presentes en redes sociales. Por otra parte, shocks exógenos como el que ha supuesto la COVID-19 no han provocado una movilización significativa del sentimiento en el País Vasco: en la campaña electoral la competición electoral capitaliza más atención. Galicia reacciona ante los temas, mientras que el País Vasco lo hace movido por los partidos/líderes. La tendencia positiva de los mensajes puede deberse a que, de la misma forma que se hipotetizaba sobre sí Twitter era capaz de canalizar el enfado de la ciudadanía hacía sus candidatos, facilitando la expresión de las críticas, también ha demostrado la capacidad opuesta: como mecanismo de respaldo del candidato al que se apoya de acuerdo con el efecto refuerzo que tienen los debates.
Se percibe también el efecto refuerzo, en tanto que no se genera una reacción negativa sino positiva hacia el contenido de los debates y quién debate. Otra confirmación que se extrae de este análisis es que las redes sociales se consolidan como un elemento más de la comunicación política en tanto que, efectivamente, el votante al que se habla hoy en día está comunicado y consume política en varias pantallas.
| [1] |
España. 1985. «Ley Orgánica 5/1985, de 19 de junio, del Régimen Electoral General», BOE, 147, de 20 de junio de 1985. |
| [2] |
TV3-Televisió de Catalunya. 1984. «Elecciones autonòmiques 84: debat a TV3». Disponible en: https://cutt.ly/v8UznhY. |
| [3] |
Incumbent: anglicismo de uso extendido en política para referirse al candidato que opta a la reelección en una convocatoria electoral. |
| [4] |
En el consumo habitual de redes sociales se aprecia un dominio claro de la negatividad en los mensajes en Twitter. Por el convulso momento que se atraviesa, la expectativa es encontrar un dominio de la actitud crítica con la política. En caso de dominar el sentimiento positivo, la rendición de cuentas buscaría reforzar al líder/partido al que se apoya. |
| [5] |
Durante la emisión del debate gallego, que concentró una audiencia de 127 000 espectadores (La Voz, 2020), se recogieron 80 000 tuits útiles para su análisis. En el caso del debate correspondiente al País Vasco, que reunió a 276 00 espectadores (EiTB, 2020), la cantidad de tuits recopilada fue de 50 000. |
| [6] |
La valoración de la coalición PP + Cs se ha realizado tomando la media de ambos partidos por separado, ya que en el momento de realización del estudio la coalición electoral no se había formado. |
| [7] |
Los análisis se han realizado con el sofware RStudio, versión R version 3.6.1 (2019-07-05). «Action of the Toes». |
| [8] |
Los datos han sido tratados de forma anónima en todo momento, empleando en el análisis solo los mensajes sin vincular con su autor/a. |
| [9] |
Dado el uso extendido de vulgarismos y otros descalificativos en redes sociales, estos se añadieron al léxico a fin de conseguir una precisión mayor. Por otra parte, se procedió a una segunda lectura del léxico para refinar palabras de uno común que podían tener una valoración confusa/inadecuada. |
| [10] |
Dado que justo cuando interviene un candidato no es posible tuitear, ya que esta acción requiere unos minutos, se aplicaba un retraso de unos segundos para ajustar los tiempos de visionado, asimilación y publicación. |
| [11] |
Para este análisis no se ha podido tener en cuenta adecuadamente a la formación Equo Berdeak, liderada por Joserra Becerra, ya que el CIS no preguntó a su muestra dónde ubicaban a esta formación. Por ello, se omitió del análisis para la hipótesis 2. |
|
Ahlgren, Oskar. 2016. «Research on Sentiment Analysis: The First Decade». IEEE 16thInternational Conference on Data Mining Workshops, 890-899. Disponible en: https://doi.org/10.1109/ICDMW.2016.0131. |
|
|
Aiello, Luca Maria, Alain Barrat, Rossano Schifanella, Ciro Cattuto, Benjamin Markines y Filippo Menczer. 2012. «Friendship prediction and homophily in social media», ACM Transactions on the Web (TWEB) 6 (2): 1-33. Disponible en: https://doi.org/10.1145/2180861.2180866. |
|
|
Alaminos, Antonio y Paloma Alaminos-Fernández. 2018. «Las dinámicas del voto retrospectivo en España (1996-2017)», Tendencias Sociales. Revista de Sociología, 1: 39-72. Disponible en: https://doi.org/10.5944/ts.1.2018.21359. |
|
|
Anduiza, Eva, Camilo Cristancho y Marta Cantijoch. 2012. «La exposición a información política a través de internet», Arbor, 188 (756): 673-688. |
|
|
Anstead, Nick. 2016. «A different beast? Televised election debates in parliamentary democracies», The international Journal of Press/Politics, 21 (4): 508-526. Disponible en: https://doi.org/10.1177/1940161216649953. |
|
|
Anstead, Nick y Ben O’Loughlin. 2011. «The Emerging Viewertariat and BBC Question Time: Television Debate and Real-Time Commenting Online», The International Journal of Press/Politics, 16 (4): 440-462. Disponible en: https://doi.org/10.1177/1940161211415519. |
|
|
Aragón, Pablo, Karolin Eva Kappler, Andreas Kaltenbrunner, David Laniado y Yana Volkovich. 2013. «Communication dynamics in Twitter during political campaigns: The case of the 2011 Spanish national election», Policy and Internet, 5 (2): 183-206. Disponible en: https://doi.org/10.1002/1944-2866.POI327. |
|
|
Barberá, Pablo. 2015. «How social media reduces mass political polarization. Evidence from Germany, Spain, and the U.S.», en 2015 APSA Conference. Disponible en: http://pablobarbera.com/static/barbera_polarization_APSA.pdf. |
|
|
Barberá, Pablo. 2018. Librería StreamR (en línea). Disponible en: https://cran.r-project.org/web/packages/streamR/streamR.pdf. |
|
|
Barberá, Pablo. 2020. Social Media, Echo Chambers, and Political Polarization. Disponible en: http://pablobarbera.com/static/echo-chambers.pdf. |
|
|
Barberá, Pablo, John T. Jost, Jonathan Nagler, Joshua A. Tucker y Richard Bonneau. 2015. «Tweeting from left to right: Is online political communication more than an echo chamber?», Psychological Science, 26 (10): 1531-1542. Disponible en: https://doi.org/10.1177/0956797615594620. |
|
|
Barberá, Pablo y Gonzalo Rivero. 2015. «Understanding the political representativeness of Twitter users», Social Science Computer Review, 33 (6): 712-729. Disponible en: https://doi.org/10.1177/0894439314558836. |
|
|
Belcastro, Loris, Ricardo Cantini, Fabrizio Marozzo, Domenico Talia, Paolo Trunfio. 2020. «Learning Political Polarization on Social Media Using Neural Networks», IEEE Access, 8: 47177-47187. Disponible en: https://doi.org/10.1109/ACCESS.2020.2978950. |
|
|
Belcastro, Loris, Francesco Branda, Riccardo Cantini, Fabrizio Marozzo, Domenico Talia y Paolo Trunfio. 2022. «Analyzing voter behavior on social media during the 2020 US presidential election campaign», Social Network Analysis and Mining, 12 (1), 83. |
|
|
Boulianne, Shelley. 2016. «Campaigns and conflict on social media: A literature snapshot», Online Information Review, 40 (5): 566-579. Disponible en: https://doi.org/10.1108/OIR-03-2016-0086. |
|
|
Campbell, Angus, Philip Converse, Warren Miller y Donald E. Stokes. 1960. The American Voter. Chicago: University of Chicago Press. |
|
|
Campo Vidal, Manuel. 2016. La cara oculta de los debates electorales. Barcelona: Arpa. |
|
|
Canel, María José. 1998. «Los efectos de las campañas electorales», Comunicación y Sociedad, 9 (1), 47-67. Disponible en: https://doi.org/10.15581/003.11.36422. |
|
|
Chadwick, Andrew. 2010. «Britain’s First Live Televised Party Leaders’ Debate: From the News Cycle to the Political Information Cycle», Parlamentary Affairs, 64 (1): 24-44. Disponible en: https://doi.org/10.1093/pa/gsq045. |
|
|
Chadwick, Andrew, Ben O’Loughlin y Christian Vaccari. 2017. «Why People Dual Screen Political Debates and Why It Matters for Democratic Engagement», Journal of Broadcasting and Electronic Media, 61 (2): 220-239. |
|
|
Congosto, Mari Luz. 2015. «Elecciones europeas 2014: viralidad de los mensajes en Twitter», Redes. Revista Hispana para el Análisis de Redes Sociales, 26 (1): 23-52. Disponible en: https://doi.org/10.5565/rev/redes.529. |
|
|
EiTB-Euskal Irrati Telebista. 2020. «El debate electoral alcanzó el 11,1 % de share el martes por la noche». Disponible en: https://cutt.ly/58Ukssd. |
|
|
Elmer, Greg. 2013. «Live Research: Twittering an Election Debate», New Media and Society, 15 (1): 18-30. Disponible en: https://doi.org/10.1177/146144481 2457328. |
|
|
Evans, Heather K., Victoria Cordova y Savannah Sipole. 2014. «Twitter style: An analysis of how house candidates used Twitter in their 2012 campaigns», PS: Political Science and Politics, 47 (2): 454-462. Disponible en: https://doi.org/10.1017/S1049096514000389. |
|
|
Fiorina, Morris P. 1981. Retrospective voting in American national elections. New Haven: Yale University Press. |
|
|
Fontenla Pedreira, Julia, Erika Conde Vázquez y Carmen Máiz Bar. 2019. «Uso de Twitter durante los debates electorales televisados en los comicios andaluces de 2018», Ámbitos. Revista Internacional de Comunicación, 46: 213-240. Disponible en: https://doi.org/10.12795/Ambitos.2019.i46.12. |
|
|
Fontenla Pedreira, Julia, José Rúas-Araújo e Iván Puentes-Rivera. 2020. «El debate electoral de las elecciones generales del 10N de 2019 en las redes sociales de RTVE», Profesional de la Información, 29 (6): 1-11. Disponible en: https://doi.org/10.3145/epi.2020.nov.03. |
|
|
García Hipola, Giselle. 2021. «Estrategias de comunicación en los debates electorales: una aproximación a los efectos de los debates en Andalucía 2008 y 2012», Revista de Investigaciones Políticas y Sociológicas, 20 (2): 1-25. Disponible en: https://doi.org/10.15304/rips.20.2.7953. |
|
|
Gayo-Avello, Daniel. 2013. «A meta-analysis of state-of-the-art electoral prediction from Twitter data», Social Science Computer Review, 31 (6): 649-679. Disponible en: https://doi.org/10.1177/0894439313493979. |
|
|
Hollander, Justin B., Erin Graves, Henry Renski, Cara Foster-Karim, Andrew Wiley y Dibyendu Das. 2016. «A (Short) History of Social Media Sentiment Analysis», en Urban Social Listening. Londres: Palgrave Macmillan. Disponible en: https://doi.org/10.1057/978-1-137-59491-4_2. |
|
|
Jungherr, Andreas. 2016. «Twitter use in election campaigns: a systematic literature review», Journal of Information Technology and Politics, 13 (1): 72-91. Disponible en: https://doi.org/10.1080/19331681.2015.1132401. |
|
|
La Voz. 2020. «El debate a siete fue seguido en la TVG por 127.000 espectadores de media con una cuota de pantalla del 15,8 %», La Voz, 30-6-2020. Disponible en: https://cutt.ly/Y8UlUDG. |
|
|
Lazarsfeld, Paul Félix, Bernard Berelson y Hazel Gaudet. 1944. The People’s Choice: How the Voter Makes Up His Mind in a Presidential Election. Nueva York: Columbia University Press. |
|
|
Liu, Bing. 2012. Sentiment analysis and opinion mining. Nueva York: Springer. Disponible en: https://doi.org/10.1007/978-3-031-02145-9. |
|
|
Lorenzo-Rodríguez, Javier y Mariano Torcal. 2022. «Twitter and Affective Polarisation: Following Political Leaders in Spain», South European Society and Politics, 27 (1): 1-27. Disponible en: https://doi.org/10.1080/13608746.2022.2038492. |
|
|
Martínez i Coma, Ferrán. 2008. ¿Por qué importan las campañas electorales? Monografías, 260. Madrid: Centro de Investigaciones Sociológicas. |
|
|
Mehmetcik, H. y E. Salihi. 2022. «To be or not to be: Twitter Presence among Turkish Diplomats», Vestnik MGIMO-Universiteta, 15 (3):175-201. Disponible en: https://doi.org/10.24833/2071-8160-2022-3-84-175-201. |
|
|
Mohammad, Said y Peter Turney. 2013. NRC emotion lexicon, versión: 2018. Disponible en: http://saifmohammad.com/WebPages/lexicons.html. |
|
|
Morlino, Leonardo. 2007. «Explicar la calidad democrática: ¿qué tan relevantes son las tradiciones autoritarias?», Revista de Ciencia Política, 27 (2): 3-22. Disponible en: https://doi.org/10.4067/S0718-090X2007000300001. |
|
|
Pérez-Curiel, Concha y Mar García Gordillo. 2019. «Formato televisivo y proyección en Twitter de las elecciones en Andalucía», en E. Conde-Vázquez, J. Fontenla-Pedreira y J. Ruas-Araujo, Debates electorales televisados: del antes al después. La Laguna: Cuadernos Artesanos de Comunicación. |
|
|
Putnam, Robert David. 2000. Bowling alone: America’s declining social capital. Nueva York: Simon and Schuster. Disponible en: https://doi.org/10.1007/978-1-349-62397-6_12. |
|
|
Rodríguez-Breijo, Vanessa y Jorge Gallardo-Camacho. 2020. «Audiencia en diferido de debates electorales: una excepción del género informativo», El Profesional de la Información, 29 (2): 1-11. Disponible en: https://doi.org/10.3145/epi.2020.mar.18. |
|
|
Schroeder, Alan. 2008. Presidential Debates. Fifty Years of High-Risk TV. 2nd ed. Nueva York: Columbia University Press. Disponible en: https://doi.org/10.7312/schr14104. |
|
|
Suárez Estrada, Marcela, Yulissa Juarez y C. A. Piña-García. 2022. «Toxic social media: Affective polarization after feminist protests», Social Media and Society, 8 (2): 1-12. Disponible en: https://doi.org/10.1177/20563051221098343. |
|
|
Sunstein, Cass R. 2018. #Republic: Divided democracy in the age of social media. Nueva Jersey: Princeton University Press. Disponible en: https://doi.org/10.1515/97814 00890521. |
|
|
Twitter. 2020. Twitter developers. Disponible en: https://developer.twitter.com/en. |
|
|
Vaccari, Cristian, Augusto Valeriani, Pablo Barberá, Rich Bonneau, John T. Jost, Jonathan Nagler y Joshua A. Tucker. 2015. «Political Expression and Action on Social Media: Exploring the Relationship Between Lower —and Higher— Threshold Political Activities Among Twitter Users in Italy», Journal of Computer-Mediated Communication, 20 (2): 221-239. Disponible en: https://doi.org/10.1111/jcc4.12108. |
|
|
Van Alstyne, Marshall y Erik Brynjolfsson. 1996. «Electronic communities: Global village or cyberbalkans?», Proceedings of the 17th International Conference on Information Systems. Disponible en: http://web.mit.edu/marshall/www/papers/CyberBalkans.pdf. |
| [a] |
Profesora asociada y doctoranda en la Universidad de Burgos. Miembro del grupo de investigación POLCOM (Universidad de Burgos). En la actualidad se encuentra investigando sobre la comunicación directa entre élites y partidos con la ciudadanía, comportamiento político y polarización en redes sociales. |