El efecto del sexo de los líderes políticos y de la afinidad de género en las elecciones autonómicas
The effect of political leaders´sex and gender affinity in regional elections
RESUMEN
En las últimas décadas, un número creciente de estudios han abordado el impacto del liderazgo político sobre el comportamiento electoral en los sistemas parlamentarios, destacando su papel como factor determinante de la decisión de voto. Sin embargo, el interés académico por el liderazgo femenino y sus efectos ha sido limitado, en parte debido al escaso número de mujeres candidatas a la presidencia de los ejecutivos nacionales. Del mismo modo, son escasos los estudios comparados que han explorado el efecto de la afinidad de género, es decir, si las mujeres tienen mayor predisposición a votar a partidos liderados por mujeres que los hombres, controlando otros condicionantes del voto. En este contexto, este trabajo analiza el efecto del sexo de los/as líderes políticos/as y de la afinidad de género en las elecciones autonómicas celebradas en España entre el año 2022 y 2024. Estas suponen un marco de estudio propicio para desarrollar esta línea de investigación, tanto por la similitud de sus características institucionales como por la diversidad de situaciones políticas que integran. Con esta finalidad, se han utilizado los estudios preelectorales del Centro de Investigaciones Sociológicas, completando la información con las características de los/as líderes, de los partidos y del contexto político. A partir de estrategias de análisis cuantitativas, los resultados muestran que las líderes son mejor valoradas por el electorado que los líderes de partido. Esta mejor valoración de las líderes es también más pronunciada entre las mujeres que entre los hombres. Por el contrario, ni el sexo de los/as líderes ni la afinidad de género ejercen un efecto significativo sobre la decisión de voto en las convocatorias autonómicas analizadas.
Palabras clave: liderazgo político, género, afinidad de género, voto, gobierno regional, elecciones parlamentarias, España.
ABSTRACT
In recent decades, many studies have addressed the impact of political leadership on electoral behavior in parliamentary systems, demonstrating its relevance as a determining factor in voting decisions. However, interest in female leadership and its effects has been more limited, among other issues, due to the small number of women candidates running for national executive office. Similarly, few comparative studies have examined the effect of gender affinity, that is, whether women are more predisposed to vote for parties led by women than men, controlling for other determinants of voting. In this context, this study analyzes the effect of the gender of political leaders and gender affinity in regional elections held in Spain between 2022 and 2024. These elections provide a suitable framework for developing this line of research because of the similarity of their institutional characteristics and the diversity of political situations they encompass. To this end, this research used pre-election studies from the Centre for Sociological Research, supplementing the dataset with data, compiled from several resources, on characteristics of the leaders, the parties, and the political context. Using quantitative analysis strategies, it finds that female leaders are better rated by the electorate than male party leaders. This higher rating of female leaders is also greater among women than men. On the other hand, there is no significant effect of the gender of the leaders or gender affinity on the voting decision in this type of election.
Keywords: political leadership, gender, gender affinity, voting, regional government, parliamentary elections, Spain.
INTRODUCCIÓN[Subir]
Desde los años 90, un número creciente de investigaciones han resaltado la importancia de los líderes políticos en la decisión de voto, tanto en elecciones parlamentarias como presidenciales (Lobo, 2008, 2018; Garzia, 2011; Lobo y Curtis, 2014; Lobo y Ferreira da Silva, 2017; Garzia et al., 2018; Ferreira da Silva, 2021; Garzia y Ferreira da Silva, 2021). Del mismo modo, diferentes estudios muestran que el efecto electoral de los líderes puede estar condicionado por múltiples factores, entre los que destacan los atributos de los candidatos, los de sus respectivos partidos, las características individuales de los electores, así como el contexto político e institucional de las elecciones (Lobo, 2008, 2018; Barisione, 2009; Garzia, 2011; Ferreira da Silva, 2021). La mayoría de los trabajos sobre el efecto electoral de los y las líderes políticos/as se han centrado en las elecciones nacionales (parlamentarias o presidenciales), consideradas de primer orden en función de la importancia política que la ciudadanía y los partidos les otorgan con relación a otro tipo de convocatorias (locales, regionales o europeas). Los estudios sobre el efecto de los líderes políticos en elecciones regionales son mucho más limitados.
Del mismo modo, entre las características de los y las líderes, las investigaciones han prestado una menor atención al efecto electoral del sexo/género[1] de los candidatos y candidatas. En la mayoría de los trabajos, esta dimensión ha sido introducida como una variable de control, pero no como una categoría analítica que por sí misma resultara de interés. Esta menor atención puede explicarse, en parte, por el bajo número de mujeres que se han presentado como candidatas de sus respectivos partidos a la presidencia o a primera ministra (Ruiloba, 2013; Bustelo, 2016), persistiendo un importante sesgo de género en los órganos ejecutivos —al igual que en otras esferas políticas— (Diz y Lois, 2012; Verge y Astudillo, 2019). En todo ello interfieren, además, otros aspectos como los prejuicios de género de los y las votantes o la reticencia de las mujeres a presentarse como líderes de partido (Anzia y Berry, 2011). Con todo, la mayor parte de las evidencias sobre el impacto electoral de las líderes de partido las aportan estudios de casos nacionales, con excepción de dos recientes estudios comparados (Bridgewater y Nagel, 2020; Dassannoville et al., 2021). Estas dos últimas investigaciones arrojan resultados parcialmente dispares. Mientras que el estudio de Bridgewater y Nagel (2020) muestra que las mujeres son, en términos generales, evaluadas por el electorado de forma más positiva que los hombres, el trabajo de Dassonneville et al. (2021) encuentra que esta ventaja se limita a las políticas experimentadas. Además, a pesar de su mayor popularidad, los partidos liderados por mujeres no se benefician electoralmente de su liderazgo (Dassonneville et al., 2021). Otras investigaciones han observado además efectos de afinidad de género, siendo más probable que las mujeres apoyen a partidos liderados por mujeres que los hombres en elecciones parlamentarias o presidenciales (Denemark et al., 2012; Kosiara-Pedersen y Hansen, 2015; Ortega et al., 2023). Sin embargo, estos efectos suelen ser pequeños, no estando condicionados por las características de los votantes o del entorno electoral (Ortega et al., 2023).
En una contribución a esta literatura y también a los estudios electorales en España, este artículo examina el impacto del sexo de los/as líderes[2] y de la afinidad de género en las elecciones autonómicas. Aunque existen varios trabajos y contribuciones relevantes sobre el impacto de las personas que ostentan el liderazgo político en elecciones autonómicas españolas (Bosch y Rico, 2003; Mata y Ortega, 2013; Liñeira, 2014; Rico, 2014; Sánchez y Berzosa, 2016; Ortega et al. 2022, entre otros), no se han publicado hasta el momento estudios específicos sobre el género de los/as líderes de los principales partidos y del electorado en este tipo de convocatorias en España. En este contexto, este artículo intenta dar respuesta a dos interrogantes fundamentales: en primer lugar, si el sexo de los/as líderes de partido influye de manera significativa en la decisión de voto; y, en segundo lugar, si la afinidad de género entre votantes y líderes tiene un impacto adicional en el comportamiento electoral en el ámbito autonómico o regional. Con esta finalidad, este trabajo analiza las elecciones autonómicas celebradas en España entre 2022 y 2024. A diferencia de lo que ha ocurrido a nivel estatal o nacional, en este ámbito hay una mayor presencia de candidatas a la presidencia de los ejecutivos, llegando incluso a ostentar la presidencia autonómica varias de ellas (Diz y Lois, 2012; Almansa y Díaz-Jiménez, 2020).
Un estudio centrado en el conjunto del nivel regional de un país, con varios casos en un mismo periodo temporal, puede considerase como un diseño de sistemas lo más similares posible en tanto que el contexto político-institucional nacional es común y puede ser entendido como una constante (Schakel y Romanova, 2023). Así, las elecciones autonómicas españolas representan un excelente marco para analizar el efecto del sexo de los/as líderes y de la afinidad de género en elecciones regionales por varias razones. En primer lugar, el diseño institucional de las comunidades autónomas presenta una amplia homogeneidad, sustentándose el gobierno autonómico en todas ellas en un sistema parlamentario. En segundo lugar, los sistemas electorales autonómicos comparten algunas características clave, como la utilización de un sistema de listas cerradas y bloqueadas con fórmula proporcional en circunscripciones plurinominales, para contrastar el impacto del liderazgo en el voto. En concreto, la utilización de estas listas tiende a debilitar la visibilidad de los/as candidatos/as presentados/as en las papeletas en las distintas circunscripciones y, en consecuencia, refuerza la preminencia de los/as líderes como candidatos o candidatas a la presidencia del gobierno regional. En tercer lugar, tras las sucesivas reformas, el nivel de descentralización política es alto y relativamente similar en los distintos territorios[3]. Como cuarta consideración, debe destacarse que la mayoría de las comunidades llevan a cabo las elecciones regionales de forma simultánea en un mismo calendario —coincidente con las locales en el conjunto del país— lo que minimiza posibles diferencias de coyuntura[4]. Y, por último, los territorios presentan variaciones importantes en las dinámicas del sistema de partidos, con organizaciones fuertes de ámbito no estatal en algunos casos. Esto permite también contrastar la incidencia del liderazgo por tipo de partidos (de ámbito estatal y no estatal).
En lo que concierne a la estructura del artículo, este se organiza de la siguiente forma. Tras esta breve introducción, la siguiente sección revisa la literatura académica sobre el impacto de los/as líderes y de la afinidad de género en el voto. A continuación, se presentan los datos, las principales variables y las estrategias metodológicas empleadas. En la sección cuarta se aportan y discuten las evidencias empíricas halladas y, finalmente, se incorpora un último apartado conclusivo.
LÍDERES, AFINIDAD DE GÉNERO Y VOTO EN ELECCIONES REGIONALES[Subir]
Los y las líderes de partido han adquirido una relevancia cada vez mayor en la decisión de voto del electorado (Garzia, 2011; Lobo y Curtis, 2014; Lobo y Ferreira da Silva, 2017; Lobo, 2018; Garzia et al., 2018; Ferreira da Silva, 2021; Garzia y Ferreira da Silva, 2021). La creciente personalización de la política en la esfera electoral es el resultado de, al menos, cinco tendencias (McAllister, 2007; Karvonen, 2010; Garzia, 2011; Daoust et al., 2021; Ferreira da Silva, 2021): 1) la presidencialización de la vida política en los sistemas parlamentarios, debida a la ampliación y concentración de poderes en el presidente del gobierno o en el gabinete; 2) la creciente importancia de los medios para la comunicación política, especialmente de la televisión y de las redes sociales, donde los/as líderes son la carta de presentación de sus respectivos partidos —y además, en el caso de las redes sociales, interaccionando directamente con el electorado—; 3) el declive de las lealtades partidistas, que da más margen para que factores coyunturales como el liderazgo influyan en el voto (Franklin, 1992; Dalton y Wattenberg, 1993; Schmitt y Holmberg, 1995; Dalton, 2000); 4) el cambio en las estructuras organizativas de los partidos políticos en las últimas décadas, que han otorgado a sus líderes mayor autonomía y poderes frente a la organización (Katz y Mair, 1995; Lobo, 2014); y 5) las actitudes antipartidistas y de insatisfacción extendidas entre la ciudadanía, que se intensificaron en el contexto de la crisis financiera de 2008 y se vieron también afectadas por la pandemia de la COVID-19. Ante esta compleja situación, los partidos han reaccionado dotando a sus líderes de mayor autonomía y visibilidad, cambiando el estilo de liderazgo e intentando ofrecer una imagen más cercana al ciudadano común (Ansell et al., 2014; Ferreira da Silva, 2021). Estas tendencias tienen un impacto que se extiende en los sistemas de gobierno multinivel a través de las diferentes arenas de gobierno.
La mayoría de las contribuciones sobre el efecto de los/as líderes en el comportamiento electoral en los sistemas parlamentarios de gobierno han examinado el impacto directo de los candidatos y candidatas a la presidencia del gobierno, debido a una mayor visibilidad y relevancia que la del resto de candidaturas (Lobo, 2008; 2018; Garzia, 2011; Lobo y Curtis, 2014; Lobo y Ferreira da Silva, 2017; Garzia et al., 2018; Ferreira da Silva, 2021). Estas han encontrado un efecto positivo de las evaluaciones de los/as líderes sobre el voto a sus respectivos partidos, e incluso estudios recientes han demostrado que evaluaciones positivas de los/as dirigentes de un partido influyen negativamente en el voto a otros partidos (Garzia y Ferreira da Silva, 2021). Con todo, esta literatura se ha centrado en elecciones parlamentarias o presidenciales a nivel nacional. Los estudios sobre elecciones regionales son menores, si bien, algunos han demostrado que los/as líderes tanto nacionales como regionales tienen también un efecto sobre el voto en este tipo de comicios (además de las citadas investigaciones sobre las elecciones autonómicas en España, puede destacarse, por ejemplo, a Bean, 2003). Por último, parte de esta literatura también ha puesto de manifiesto que el impacto electoral de los y las líderes políticos está condicionado por distintos factores como las características de los/as electores/as (sexo, edad, ideología o identificación partidista), de los/as candidatos/as (sexo, edad o experiencia política) y de sus respectivos partidos (ideología, tamaño o estatus gubernamental), así como del contexto electoral (Lobo, 2008; 2018; Barisione, 2009; Aardal y Binder, 2011; Bittner, 2011; Garzia, 2011; Mughan, 2015; Ferreira da Silva, 2021).
Entre las características personales de los/as candidatos/as, las investigaciones han prestado una menor atención al género. Con la excepción de dos estudios comparados, la mayoría de la evidencia sobre el efecto del sexo de los/as líderes en elecciones nacionales proviene de estudios de casos nacionales. Frente a la creencia tradicional de que los y las votantes discriminan o tienen un prejuicio de género en contra de las mujeres en política —especialmente en posiciones relevantes de liderazgo—, los trabajos de Bridgewater y Nagel (2020) y Dassonneville et al. (2021) muestran que las líderes de partido son, en términos generales, mejor valoradas por el electorado que sus homólogos varones (sobre todo, las mujeres con experiencia previa en gobiernos nacionales). Sin embargo, los partidos liderados por mujeres no se benefician electoralmente de este liderazgo, en la medida en la que la evaluación de las líderes tiene una menor incidencia sobre el voto que la de los hombres (Dassonneville et al., 2021). Del mismo modo, algunos estudios sugieren que, en un contexto de creciente descontento político, las mujeres se pueden beneficiar electoralmente de la insatisfacción ciudadana con la clase política, en tanto que pueden ser vistas como «outsiders» a la misma. No obstante, esta característica de «recién llegadas» también puede perjudicarles si se cuestiona su competencia y experiencia política (Black y Erickson, 2003).
Hasta donde ha podido comprobarse, estas evidencias sobre el impacto del sexo de los/as líderes no se han contrastado en elecciones de carácter regional. Tradicionalmente, estas han sido consideradas por la literatura como elecciones de segundo orden en comparación con las elecciones nacionales que producen gobiernos (parlamentarias o presidenciales). Como elecciones de segundo orden, estas arrojan menores niveles de participación electoral y mayores niveles de fragmentación electoral, viéndose además influenciadas por el contexto nacional. No obstante, un número creciente de investigaciones van más allá del clásico modelo de elecciones de segundo orden al analizar convocatorias regionales (Hough y Jeffery, 2006; Tahtam y Mbaye, 2018; Schakel y Romanova, 2023). Estos trabajos recientes ponen de manifiesto que los factores regionales pueden tener una alta incidencia sobre el voto en las elecciones regionales, con independencia de los condicionantes de la política nacional. En una visión de conjunto con lo argumentado con anterioridad, es de esperar que las dinámicas de personalización de la vida política se entrelacen también con las de regionalización (Tatham y Mbahye, 2018). Así, la personalización de la vida política también ha afectado a la arena regional, con el incremento de las competencias y concentración del poder político en la presidencia y gobiernos regionales, la adaptación de las estructuras organizativas de los partidos políticos al modelo territorial regional y el aumento de la autonomía de sus líderes para fijar las posiciones y programas de partido a nivel regional frente a los/as líderes nacionales (Thorlakson, 2011; Detterbeck y Hepburn, 2018; Calignano y Nilsen, 2024). Además, en el caso de algunas regiones, como las comunidades autónomas españolas, la tendencia a la presidencialización de la vida política puede ser mayor que a nivel nacional por la doble función —ejecutiva y representativa— que los estatutos asignan al presidente o presidenta de los gobiernos autonómicos.
Esta revisión de la literatura permite formular dos primeras hipótesis de trabajo para esta investigación:
Hipótesis 1: las líderes de partido son mejor valoradas por el electorado que sus homólogos varones, controlando por otros factores.
Hipótesis 2: el género del líder no tiene una incidencia sobre el voto a su respectivo partido, controlando por otros factores.
Otras investigaciones sugieren que ser mujer puede tener un efecto electoral positivo no solo únicamente por su valoración, sino también por su capacidad de generar un efecto de arrastre como líder de partido en sí misma. En primer lugar, dada la infrarrepresentación de las mujeres en las instituciones políticas, algunos/as electores/as electores pueden votar a partidos liderados por mujeres en interés de la igualdad de género (Goodyear-Grant y Croskill, 2011). En segundo lugar, ser mujer puede ser utilizado como un elemento distintivo frente a los varones que lideran otras formaciones, dirigiéndose a sectores específicos del electorado como las mujeres o grupos feministas (Shugart, 1994; Holli y Wass, 2010; Valdini, 2012; Campbell y Heath, 2017). En tercer lugar, diversas investigaciones han puesto de manifiesto que el electorado muestra una preferencia por candidatos/as que comparten sus propias características sociodemográficas, tales como el sexo, la edad o el origen étnico, entre otras (Dolan, 2008; Michon y Tillie, 2010; Teney et al., 2010; Bergh y Bjørklund, 2011; Besco, 2019; Sevi, 2021). En concreto, el llamado efecto de la afinidad de género se produce cuando los/as electores/as prefieren votar a partidos liderados por candidatos/as de su mismo género, de tal forma que las mujeres son más proclives a votar a partidos dirigidos por mujeres que los hombres (Goodyear-Grant y Croskill, 2011).
Varios mecanismos pueden explicar este efecto de afinidad de género: la política de identidad o la solidaridad de género, la representación descriptiva, la representación sustantiva, las decisiones heurísticas y el solapamiento entre el sexo del electorado y sus preferencias de partido. En primer lugar, según el modelo de solidaridad de género, los/as votantes basan su elección en la identificación de grupo con un/a candidato/a. Por lo tanto, las mujeres votarán a candidatas por sentimientos de identificación grupal o solidaria (Dolan, 2008). En este sentido, Sanbonmatsu (2002) demuestra que las mujeres tienen una mayor preferencia por la representación de su propio sexo que los hombres. Un segundo factor explicativo es la representación descriptiva, que se refiere a las similitudes entre las características de los/as representantes y los/as representados/as (Pitkin, 1967). Dado que las mujeres están infrarrepresentadas en los cargos presidenciales, habiendo además pocas candidatas, los/as votantes que buscan una representación descriptiva o justa elegirán un partido dirigido por una mujer en lugar de por un hombre. Tomando en consideración la infrarrepresentación política de su propio sexo, es más probable que las mujeres voten basándose en su interés por una representación descriptiva en mayor medida que los hombres. Una tercera explicación de la afinidad de género tiene que ver con otra dimensión de la representación, en este caso, la sustantiva. Desde esta perspectiva, el electorado puede tener la expectativa de que sus representantes actúen en favor de sus intereses y es más probable que las mujeres apoyen a las candidatas con esa esperanza. Además, la mayor relevancia de determinadas medidas sociales y/o actitudes políticas entre las mujeres —junto con la creencia de que las candidatas promoverán estos aspectos— puede llevar a las mujeres a votar a una candidata frente a un candidato (Johnston et al., 1992; Sanbonmatsu, 2002; Goodyear-Grant y Croskill, 2011). A diferencia de las dos explicaciones anteriores, esta presupone un sesgo en la brecha de género que beneficia a los/as candidatos/as de izquierdas (Banducci y Karp, 2000). Además, el sexo y los demás atributos personales de los/as candidatos/as (por ejemplo, la etnia y la edad) pueden utilizarse como atajo informativo para inferir sus respectivas posiciones políticas (McDermott, 1997; Valdini, 2012; 2013). Dado que las mujeres tienden a estar menos informadas políticamente, es más probable que utilicen estos atajos informativos que los hombres (Goodyear-Grant y Croskill, 2011). Una última explicación del efecto de afinidad de género es el solapamiento entre sexo de los/as líderes y las afinidades de partido —party-sex overlap— (Dolan, 2008; Goodyear-Grant y Croskill, 2011). En la actualidad, las mujeres son más propensas a identificarse o a votar a partidos de izquierdas (Shorrocks, 2018; Cordero et al., 2025) y estos suelen disponer de mecanismos para incentivar la presencia de mujeres en puestos relevantes; no obstante, algunos estudios muestran que no hay diferencias importantes entre los partidos de izquierdas y conservadores en lo que se refiere a la selección de candidaturas por género (O’Brien, 2015; Verge y Astudillo, 2019). En todo caso, algunas mujeres pueden votar a un partido de izquierdas liderado por una mujer atendiendo únicamente a razones partidistas. De ahí que, para identificar adecuadamente los efectos de género, es necesario controlar por las afinidades de partido e ideología del electorado (Dolan, 2008; Goodyear-Grant y Croskill, 2011).
La mayoría de los estudios sobre el efecto de la afinidad de género entre electorado y líderes se han centrado en elecciones nacionales (O’Neill, 1998; Banducci y Karp, 2000; Cutler, 2002; Denemark et al., 2012; Ortega et al., 2023). Por el contrario, hasta donde se ha podido comprobar, no se ha publicado ningún estudio específico al respecto en elecciones regionales. Además de los argumentos esgrimidos con anterioridad, para la investigación del impacto del liderazgo político y de la afinidad de género en las elecciones autonómicas o regionales, puede ser relevante el hecho de que este tipo de procesos sean considerados por la ciudadanía como elecciones de segundo orden (Trujillo et al., 2024). Como consultas de segunda importancia política, las elecciones regionales tienden a arrojar menores niveles de participación que las consultas nacionales que producen gobierno (parlamentarias o presidenciales). En consecuencia, en este tipo de convocatorias adquiere mayor importancia el interés político para explicar la participación electoral que en las consultas nacionales. Esta dimensión del comportamiento político presenta diferencias entre sexos (Verge y Tormos, 2012; Fraile y Gómez, 2017; Ferrin et al., 2020). Por ello, el efecto de la afinidad de género puede estar también condicionado por este tipo de convocatorias de dos formas diferentes. Por un lado, las mujeres presentan menores niveles de participación en este tipo de convocatorias que los hombres (Kostelka et al., 2018), lo que puede mitigar el efecto de la afinidad de género: las mujeres participan menos, en cuanto que tienen menos interés y desconocen a quienes lideran los partidos en mayor medida que los hombres, por lo que en su decisión de voto pueden tener más importancia las afinidades ideológicas y de partido que los/as candidatos/as presentados/as. Por otro lado, el número de mujeres que lideran los partidos y de candidatas presentadas en las listas electorales es mayor a nivel regional que a nivel nacional. Esta mayor presencia de candidaturas femeninas a la presidencia de los gobiernos regionales puede incrementar la participación electoral y política de las mujeres, en la medida en la que los procesos electorales son más inclusivos en términos de representación descriptiva, lo que puede fomentar mayores sentimientos de eficacia política entre las electoras.
A partir de la revisión de esta literatura, pueden formularse otras dos hipótesis de trabajo adicionales:
Hipótesis 3: las líderes de partido son mejor valoradas por las mujeres que por los hombres.
Hipótesis 4: las mujeres son más proclives a votar a partidos liderados por mujeres que los hombres.
DATOS, VARIABLES Y METODOLOGÍA[Subir]
Este trabajo estudia el efecto del sexo de los/as líderes y de la afinidad de género sobre su valoración y el voto a sus respectivos partidos en las elecciones autonómicas celebradas en las 17 comunidades autónomas españolas desde 2022. Se trata de los procesos de Andalucía y Castilla y León de 2022, las elecciones coincidentes en 12 comunidades autónomas de mayo de 2023, y las consultas gallegas, vascas y catalanas de 2024. Para contrastar las hipótesis de trabajo, se elaboró una base integrada de datos sobre el comportamiento del electorado y sobre los/as líderes de los principales partidos en el ámbito autonómico. Esta incorpora, en primer lugar, los estudios preelectorales del CIS de las últimas elecciones autonómicas celebradas en cada comunidad desde el año 2022[5]. Estos aportan información, a nivel individual, sobre la valoración de los/as líderes de los principales partidos e intención de voto en elecciones autonómicas, así como de la ideología, afinidades de partido y características sociodemográficas del electorado. En conjunto, en los estudios preelectorales del CIS se interrogó por el conocimiento y valoración de un total de 123 candidatos y candidatas a la presidencia autonómica de 45 formaciones políticas de los que 44 son mujeres (el 35,8 %). En segundo lugar, se creó una base de datos sobre las características personales y políticas de candidatos y candidatas, de sus respectivos partidos y del contexto electoral, basada en la consulta a diferentes fuentes que ofrecen esta información en internet[6]. Posteriormente, tanto los datos de los estudios preelectorales del CIS como los referentes a los atributos de los/as líderes de los principales partidos fueron integrados en única base a los efectos de los análisis.
Para la indagación empírica, se han considerado dos variables dependientes en los análisis (véase la tabla A1 en anexos para la codificación de las variables dependientes e independientes): las valoraciones de los/as líderes regionales de los principales partidos y la opción de voto de las personas entrevistadas en las elecciones autonómicas. La primera variable dependiente —la valoración de los/as líderes—, se ha medido en una escala del 1 al 10. En los sistemas multipartidistas, el electorado se enfrenta a múltiples opciones de líderes y de partidos a elegir en unos comicios. En consecuencia, el equipo investigador reestructuró la base de datos a nivel individual en una matriz de datos apilados a partir de las valoraciones de los/as líderes de partidos realizadas por los/as entrevistados/as para poder proceder a su análisis comparado. El conjunto de los datos se transformó desde un formato «ancho» a uno «largo» para que los resultados pudieran observarse tanto a nivel individual como a nivel de líder de partido[7]. De esta forma, se obtuvo una media de cinco observaciones por persona entrevistada (una por cada uno/a de los/as principales líderes de partido) con un total de 256.954 observaciones[8]. Como segunda variable dependiente, siguiendo la misma reestructuración basada en los/as líderes, la opción de voto de las personas encuestadas supone una serie de opciones binarias de voto a cada uno de los partidos de los/as líderes analizados/as por cada persona. Los casos de personas que se abstuvieron fueron excluidos de los análisis.
La principal variable independiente es el sexo, tanto de los/as electores/as como de los/as líderes/as de los principales partidos. Esta se ha codificado como 1 para las mujeres y 0 para los hombres. Con la finalidad de capturar la afinidad de género, se incluye además en los análisis la interacción entre el sexo de los/as electores/as y el de los/as líderes. Esta estrategia metodológica permite examinar los efectos principales del sexo tanto de los/as líderes como de los votantes, además de explorar si el efecto del sexo de los/as líderes está moderado por el de los/as votantes, tanto sobre su valoración como en la intención de voto a partidos[9].
En segundo lugar, se han considerado algunas variables control políticas: la cercanía al partido y la ideología de los/as electores/as. La cercanía partidista, que ha sido considerada tradicionalmente como uno de los principales factores determinantes del comportamiento electoral, ha sido medida a nivel individual y a nivel de partido en los análisis. Esta identifica, para cada líder, si la persona encuestada se siente cercano/a al partido del líder, a los partidos de otros/as líderes o si no manifiesta ningún apego partidista. La ideología ha sido medida como el autoposicionamiento de los/as encuestados/as en la escala ideológica de izquierda a derecha (de 1 a 10 puntos). A los efectos de los análisis se han distinguido cinco grupos ideológicos: extrema izquierda (1-2), izquierda (3-4), centro (5-6), derecha (7-8), extrema derecha (9-10).
Numerosos estudios han demostrado que, además del sexo, otras características sociodemográficas medidas a nivel individual son relevantes en la valoración de los/as líderes y en la decisión de voto (Tilley y Evans, 2014). Estas incluyen la edad (medida en décadas en este trabajo) y el nivel de estudios (que se ha considerado en cuatro categorías). En el caso de la variable edad, se ha introducido además su cuadrado en un intento de capturar posibles efectos curvilíneos. Estas dos variables permiten controlar si los/as líderes importan más a los/as electores más jóvenes y con menor sofisticación (Sevi, 2021). Respecto a otros controles sociodemográficos, se ha considerado el estado civil (distinguiendo entre casado/a, soltero/a, viudo/a, separado/a y divorciado/a), la creencia y práctica religiosa (con cuatro grupos: católico/a practicante, católico/a no practicante, creyente de otra religión y agnóstico/a, indiferente o ateo/a), la clase social subjetiva (con clase alta y media alta[10], clase media, clase media baja y clase baja) y el tamaño del hábitat del municipio de residencia (manteniendo la propia codificación del CIS).
En tercer lugar, se han tenido en cuenta algunos atributos de los/as líderes que pueden afectar tanto a la valoración de su actuación política como a la intención de voto del electorado, tales como la edad, liderazgo en el partido, experiencia electoral y experiencia política previa (véanse también las características en tabla A2 de anexos). La edad, medida en décadas, se introdujo como variable control, ya que las líderes tienden a ser más jóvenes que sus homólogos masculinos. Del mismo modo, se ha introducido el cuadrado de esta variable para capturar posibles efectos curvilíneos. La variable de liderazgo del partido considera si el/la candidato/a a la presidencia del gobierno autonómico es además líder del partido a nivel regional. También se han tenido en cuenta los años en los que se ha estado al frente del partido con anterioridad a la celebración de las elecciones (codificándose como 0 si los/as candidatos/as a la presidencia no eran los/as líderes de sus respectivas organizaciones). La experiencia electoral previa mide el número de elecciones en las que el/la líder se ha presentado como candidato/a de su partido a la presidencia autonómica (codificado como 1 si se presenta por primera vez, con 2 si se presenta por segunda vez, y así sucesivamente). Del mismo modo, se ha considerado si el o la líder ha sido miembro del gobierno autonómico, del gobierno nacional, así como parlamentario/a a nivel nacional o autonómico (todas estas variables han sido tratadas de forma dicotómica). Se han considerado también, como controles, algunas características de los partidos de los/as líderes. Estas son el estatus de gobierno (si el partido estaba en el gobierno autonómico), el tipo de partido (líderes de partidos de ámbito estatal frente a partidos de ámbito no estatal), la ideología política (mismas categorías que el nivel individual) y la fuerza electoral o porcentaje de voto al partido.
Finalmente, se han introducido tres variables control sobre el contexto de las elecciones: la magnitud de los distritos, el número de mujeres que se presentan como «candidatas» a la presidencia autonómica por los principales partidos y el calendario electoral. Como se ha señalado anteriormente, en todas las comunidades se utilizan listas cerradas y bloqueadas, lo que tiende a reforzar la visibilidad de los/as líderes del partido. Sin embargo, los sistemas electorales autonómicos difieren en la magnitud y número de circunscripciones. En los sistemas con listas cerradas y bloqueadas, el incremento de la magnitud de los distritos tiende a reducir la visibilidad de los/as candidatos/as de las listas electorales, aumentando la de los/as líderes de partido. En consecuencia, se ha tenido en cuenta como variable control la magnitud media de los distritos (es decir, el número medio de escaños por distrito en las elecciones autonómicas en cada comunidad). En segundo lugar, un elevado número de candidaturas femeninas puede tener como efecto una mayor movilización de las electoras, pero también una mayor fragmentación de su «electorado potencial», al tener las electoras más líderes entre las que elegir y a las que favorecer con su voto (Beauregard, 2016; Ortega et al., 2023). Finalmente, se ha tenido en cuenta el calendario electoral de las consultas autonómicas. En la mayoría de las comunidades (12), las elecciones autonómicas se celebraron de forma simultánea y coincidiendo además con las locales en 2023. En este sentido, la convocatoria simultánea de elecciones regionales puede contribuir a reforzar el peso de los factores nacionales, por lo que se ha introducido el calendario electoral como control. Esta variable diferencia entre las comunidades en las que las elecciones autonómicas se celebraron simultáneamente y las comunidades en las que se celebraron de forma separada.
Para comprobar las hipótesis de trabajo hemos realizado varios análisis de regresión. En el primer modelo, la variable dependiente es la valoración de los/as líderes, realizándose análisis de regresión lineal multinivel con tres niveles de análisis (observaciones por persona entrevista, individual y de la comunidad autónoma). En el segundo grupo de modelos, la variable dependiente es la opción de voto de los electores y electoras (codificada como 1 si votó al partido del líder y 0 si votó a otros partidos), realizando en este caso modelos de regresión logística con errores estándar robustos con dos niveles de agrupación (individual y de la comunidad o región)[11]. En todos los modelos se introdujeron como control otras variables que, en el estudio y dada la disponibilidad de datos, son relevantes a los propósitos del análisis, tanto a nivel individual, de líder/partido y del contexto electoral. Antes de presentar los resultados de los análisis de regresión, es importante realizar dos consideraciones previas: en primer lugar, las mujeres tienden a tener, en líneas generales, un menor conocimiento de los/as candidatos/as que se presentan a las elecciones que los hombres; y, en segundo lugar, las mujeres también tienden a presentar una menor probabilidad de voto en las elecciones autonómicas que los hombres.
RESULTADOS[Subir]
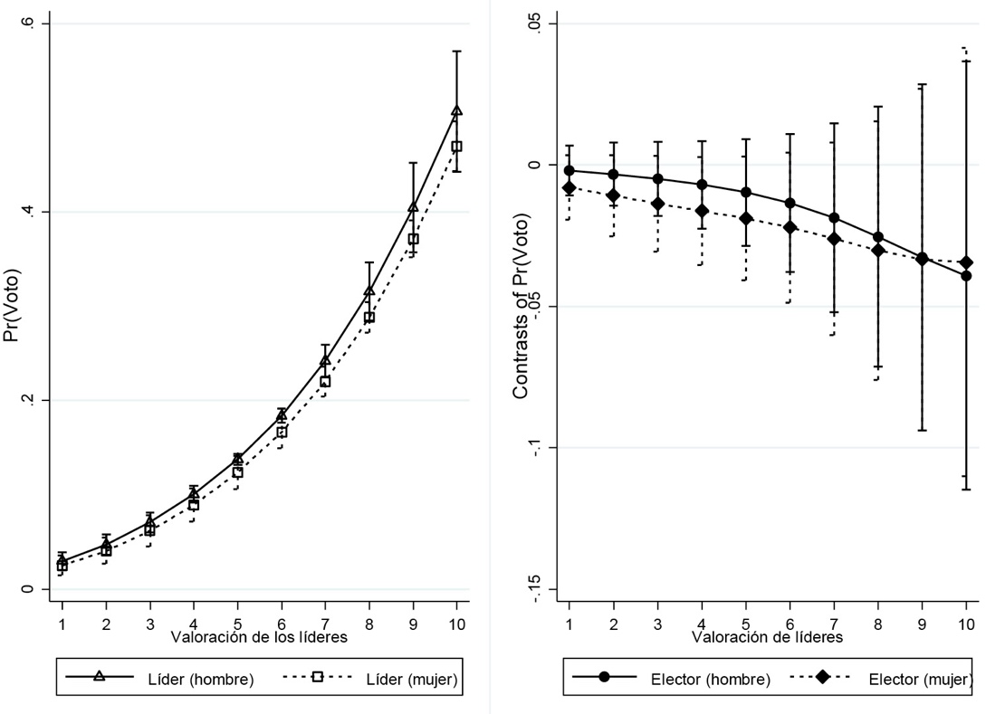
Las tablas 1 y 2 presentan los resultados de los análisis de regresión. En la tabla 1, la variable dependiente es la valoración de los/as líderes de partido[12]. En primer lugar, es de destacar que las mujeres tienden a realizar una mejor valoración de los y las líderes que los hombres. En segundo lugar, los coeficientes de la tabla 1 también indican, en consonancia con estudios previos sobre elecciones parlamentarias a nivel nacional, que las líderes son mejor valoradas que sus homólogos masculinos por el electorado de ambos sexos, por lo que se confirma la primera hipótesis de trabajo. En tercer lugar, es de destacar que el efecto de la interacción entre el sexo de los/as electores/as y el de los/as líderes sobre la valoración de estos últimos es estadísticamente significativo. En ese sentido, se observa que las mujeres valoran mejor a las líderes que los hombres, confirmando la tercera hipótesis de trabajo planteada en esta investigación (véase también el gráfico 1). En concreto, los marginales del sexo de los/as encuestados/as sobre la valoración de las líderes de partido son de 4,7 puntos para las mujeres y de 4,4 para los hombres. Por el contrario, las diferencias por sexo del electorado en las valoraciones de los líderes masculinos son menores, con 4,3 puntos para los hombres y 4,4 puntos para las mujeres. En todo caso, los contrastes de estos marginales pronosticados son estadísticamente significativos.
Tabla 1.
Resultados de los análisis de regresión lineal multinivel: valoración de los/as líderes políticos/as en las elecciones autonómicas, 2022-2024
| Coeficiente (B) | E. E. | |
|---|---|---|
| Principales variables | ||
| Sexo (electores/as; ref. hombre) | 0,143 [***] | (0,014) |
| Sexo (candidatos/as; ref. hombre) | 0,103 [***] | (0,016) |
| Sexo (electores/as; ref. hombre) #Sexo (candidatos/as; ref. hombre) | 0,122 [***] | (0,018) |
| Variables control a nivel individual | ||
| Edad (en décadas) | -0,454 [***] | (0,026) |
| Edad2 | 0,039 [***] | (0,002) |
| Nivel de estudios: primarios (ref. sin estudios) | -0,129 | (0,081) |
| Nivel de estudios: secundarios | -0,243 [***] | (0,075) |
| Nivel de estudios: superiores | -0,336 [***] | (0,076) |
| E. civil: soltero/a (ref. casado/a) | -0,023 | (0,017) |
| E. civil: viudo/a | 0,073 [**] | (0,031) |
| E. civil: separado/a | 0,105 [**] | (0,047) |
| E. civil: divorciado/a | 0,021 | (0,025) |
| Relig.: católico/a no practicante (ref. cat. practicante) | -0,133 [***] | (0,019) |
| Relig.: creyente de otra religión | -0,061 | (0,051) |
| Relig.: agnóstico/a, indiferente o ateo/a | -0,274 [***] | (0,021) |
| Clase social: media (ref. clase alta y media-alta) | -0,069 [***] | (0,026) |
| Clase social: media-baja | -0,164 [***] | (0,030) |
| Clase social: baja y otras | -0,241 [***] | (0,028) |
| Tamaño municipio: de 2.001 a 10.00 hab. (ref. menos de 2.000 hab.) | 0,036 | (0,028) |
| Tamaño municipio: de 10.001 a 50.000 hab. | -0,005 | (0,026) |
| Tamaño municipio: de 50.001 a 100.000 hab. | -0,010 | (0,030) |
| Tamaño municipio: de 100.001 a 400.000 hab. | -0,050 [*] | (0,027) |
| Tamaño municipio: de 400.001 a 1.000.000 hab. | -0,063 | (0,039) |
| Tamaño municipio: más de 1.000.000 hab. | -0,051 | (0,038) |
| Ideología: izquierda (ref. extrema izquierda) | 0,098 [***] | (0,018) |
| Ideología: centro | -0,088 [***] | (0,019) |
| Ideología: derecha | -0,015 | (0,022) |
| Ideología: extrema derecha | -0,092 [***] | (0,028) |
| Cercanía: a otros partidos (ref. cercanos/as al partido del/a líder) | -2,758 [***] | (0,012) |
| Cercanía: a ningún partido | -2,964 [***] | (0,027) |
| Variables control a nivel del/a líder | ||
| Edad (en décadas) | 0,920 [***] | (0,067) |
| Edad2 | -0,099 [***] | (0,007) |
| Experiencia electoral | 0,224 [***] | (0,013) |
| Líder regional del partido | -0,030 [**] | (0,015) |
| Años como líder regional del partido | 0,027 [***] | (0,003) |
| Presidente/a ejecutivo regional | 0,067 [***] | (0,022) |
| Experiencia en el gobierno nacional | 1,806 [***] | (0,039) |
| Experiencia en el gobierno regional | 0,266 [***] | (0,019) |
| Experiencia como parlamentario/a a nivel nacional | 0,173 [***] | (0,012) |
| Experiencia como parlamentario/a a nivel regional | -0,381 [***] | (0,014) |
| Variables control a nivel del partido | ||
| Partido en el gobierno regional | 0,178 [***] | (0,019) |
| Tipo de partido (ámbito estatal) | -0,753 [***] | (0,014) |
| Ideología: izquierda (ref. extrema izquierda) | -0,144 [***] | (0,020) |
| Ideología: centro | -0,861 [***] | (0,034) |
| Ideología: derecha | -0,131 [***] | (0,019) |
| Ideología: extrema derecha | -0,986 [***] | (0,017) |
| Porcentaje de voto del partido | 0,009 [***] | (0,001) |
| Variables control del contexto electoral | ||
| Total de mujeres candidatas | -0,159 [**] | (0,075) |
| Magnitud media de los distritos | 0,002 | (0,003) |
| Calendario electoral | 0,078 | (0,164) |
| Constante | 6,956 [***] | (0,291) |
| R2 | 0,266 | |
| Observaciones | 223.712 | |
| Número de grupos | 17 | |
| 43.087 | ||
Gráfico 1.
El efecto de la afinidad de género en la valoración de los/as líderes en las elecciones autonómicas, 2022-2024

Nota: Marginales predictivos con IC 95 %.
Fuente: Elaboración propia a partir de los estudios preelectorales del CIS y de fuentes secundarias de información sobre los/as líderes.
Con relación a la valoración de los/as líderes, deben realizarse algunas observaciones adicionales sobre el efecto de otras variables consideradas. En primer lugar, en lo que concierne a la edad de los/as electores/as, a más años tienden a ser peores las valoraciones de los/as candidatos/as, pero a partir de los 58 la tendencia se invierte. Por el contrario, a mayor edad de los/as candidatos/as, mejores tienden a ser sus valores hasta los 46 años, edad a partir de la cual tienden a empeorar sin que existan diferencias estadísticamente significativas entre hombres y mujeres por grupos de edad (véase gráfico 2). Estos resultados están en consonancia con la literatura que relaciona los efectos de la edad y el liderazgo (Sevi, 2021). Respecto a otras características sociodemográficas de los/as electores/as, se destaca lo siguiente: a mayor nivel de estudios, peores son las valoraciones de los/as líderes, mientras que los/as católicos/as practicantes, votantes de clase alta y media-alta, viudos/as y solteros/as y el electorado de izquierdas, tienden a realizar una mejor evaluación de los/as líderes. Con todo, la principal variable explicativa es la cercanía partidista: las personas que se identifican con el partido del líder o de la líder realizan una valoración más positiva que aquellas personas cercanas a otros partidos e independientes.
Gráfico 2.
Efecto de la edad por sexo de electores/as y candidatos/as sobre la valoración de los/as líderes en las elecciones autonómicas, 2022-2024

Nota: Marginales predictivos con IC 95 %.
Fuente: Elaboración propia a partir de los estudios preelectorales del CIS y de fuentes secundarias de información sobre los/as líderes.
Las otras variables control a nivel de líder y de partido tienen un efecto estadísticamente significativo sobre la valoración de los/as líderes, ofreciendo una interesante imagen de los aspectos que configuran la competición entre estos/as. La experiencia electoral y política de los/as líderes influye de forma positiva sobre su valoración, especialmente la experiencia en el gobierno nacional. Por el contrario, ser o haber sido líder de partido a nivel regional y/o miembro del parlamento autonómico tiene un efecto negativo sobre las valoraciones de los/as líderes. Estos hallazgos son particularmente interesantes en un contexto de elecciones de segundo orden, pues abre el interrogante de si una mayor experiencia regional influye menos que la nacional (o en negativo) sobre la valoración de los/as líderes debido a la «menor» importancia política de los cargos regionales frente a los nacionales. Entre las características de sus partidos, es de destacar que los/as líderes cuyos partidos están en el gobierno regional son mejor valorados/as que los/as de los otros partidos. Y, del mismo modo, los/as líderes de los partidos mayoritarios y de ámbito no estatal tienden a recibir valoraciones más positivas por parte del electorado en sus respectivas comunidades autónomas. Por último, entre los controles a nivel de contexto electoral, el número de mujeres candidatas a la presidencia autonómica tiene un efecto significativo, en el sentido de que, a mayor número, más negativas tienden a ser las valoraciones de los/as líderes. Por el contrario, la magnitud media de los distritos en las elecciones autonómicas no tiene un efecto significativo sobre la valoración de los/as líderes de partido.
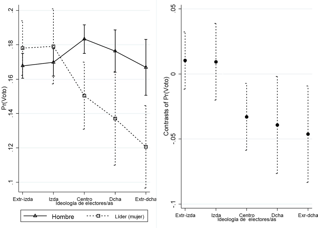
Gráfico 3.
Probabilidades pronosticadas del efecto del sexo de electores/as y de candidatos/as sobre el voto en elecciones autonómicas, 2022-2024

Nota: Marginales predictivos con IC 95 %.
Fuente: Elaboración propia a partir de los estudios preelectorales del CIS y de fuentes secundarias de información sobre los/as líderes.
En la tabla 2 se presentan los principales resultados de los análisis de regresión logística binominal con errores estándar robustos con dos niveles en los que la variable dependiente es el voto a partidos. Se observa, en primer lugar, que las valoraciones de los/as líderes regionales tienen un efecto positivo y significativo sobre la intención de voto a sus respectivos partidos, controlando por la ideología política y la cercanía partidista, entre otros factores. Así, a mejor valoración de los/as líderes, se incrementa la probabilidad de voto a sus respectivos partidos. Sin embargo, no se observa un efecto estadísticamente significativo del género de los/as líderes sobre la intención de voto a sus respectivos partidos. De esta forma, se confirma la segunda hipótesis planteada, reforzando los hallazgos de los trabajos realizados sobre las elecciones ámbito nacional. Es de destacar que los coeficientes de la interacción entre el sexo de los/as líderes y el de los/as electores/as sobre la intención de voto tampoco son estadísticamente significativos[13]. Como puede observarse en el gráfico 3, los líderes de partido atraen más votos para sus respectivos partidos que sus homólogas femeninas, tanto entre hombres como entre mujeres, pero las diferencias por género de los/as electores/as no son estadísticamente significativas. De esta forma, no se confirma la cuarta hipótesis de trabajo. Por el contrario, los resultados ponen de manifiesto que los principales factores determinantes del voto son la ideología política y la cercanía partidista.
Tabla 2.
Resultados de los análisis de regresión logística binomial con errores estándar robustos con dos niveles (individual y de comunidad autónoma): voto a partidos en elecciones autonómicas, 2022-2024
| Coeficiente (B) | E. E. (robustos) | |
|---|---|---|
| Principales variables | ||
| Sexo (electores/as; ref. hombre) | -0,053 | (0,047) |
| Sexo (candidatos/as; ref. hombre) | -0,175 | (0,157) |
| Sexo (electores/as; ref. hombre)#Sexo (candidatos/as; ref. hombre) | -0,010 | (0,105) |
| Valoración de las/os líderes | 0,630 [***] | (0,027) |
| Variables control a nivel individual | ||
| Edad (en décadas) | 0,137 [***] | (0,031) |
| Edad2 | -0,016 [***] | (0,003) |
| Nivel de estudios: primarios (ref. sin estudios) | -0,052 | (0,077) |
| Nivel de estudios: secundarios | 0,018 | (0,070) |
| Nivel de estudios: superiores | 0,104 | (0,068) |
| E. civil: soltero/a (ref. casado/a) | 0,015 | (0,025) |
| E. civil: viudo/a | -0,031 | (0,033) |
| E. civil: separado/a | -0,038 | (0,031) |
| E. civil: divorciado/a | -0,024 | (0,026) |
| Relig.: católico/a no practicante (ref. cat. practicante) | 0,106 [***] | (0,026) |
| Relig.: creyente de otra religión | 0,096 [*] | (0,058) |
| Relig.: agnóstico/a, indiferente o ateo/a | 0,285 [***] | (0,038) |
| Clase social: media (ref. clase alta y media-alta) | 0,052 [***] | (0,013) |
| Clase social: media-baja | 0,168 [***] | (0,023) |
| Clase social: baja y otras | 0,198 [***] | (0,016) |
| Tamaño municipio: de 2.001 a 10.000 hab. (ref. menos de 2.000 hab.) | 0,011 | (0,038) |
| Tamaño municipio: de 10.001 a 50.000 hab. | 0,063 | (0,049) |
| Tamaño municipio: de 50.001 a 100.000 hab. | 0,111 [**] | (0,047) |
| Tamaño municipio: de 100.001 a 400.000 hab. | 0,148 [***] | (0,051) |
| Tamaño municipio: de 400.001 a 1.000.000 hab. | 0,077 | (0,064) |
| Tamaño municipio: más de 1.000.000 hab. | 0,120 [**] | (0,056) |
| Ideología: izquierda (ref. extrema izquierda) | 0,024 | (0,020) |
| Ideología: centro | 0,042 | (0,089) |
| Ideología: derecha | -0,131 | (0,106) |
| Ideología: extrema derecha | -0,357 [***] | (0,123) |
| Cercanía: a otros partidos (ref. cercanos/as al partido del/a líder) | -3,698 [***] | (0,111) |
| Cercanía: a ningún partido | -2,156 [***] | (0,142) |
| Variables control a nivel del/a líder | ||
| Edad (en décadas) | 0,906 | (0,734) |
| Edad2 | -0,090 | (0,070) |
| Experiencia electoral | 0,105 | (0,107) |
| Líder regional del partido | 0,152 | (0,114) |
| Años como líder regional del partido | -0,024 | (0,020) |
| Presidente/a ejecutivo regional | 0,247 [*] | (0,144) |
| Experiencia en el gobierno nacional | -1,244 [***] | (0,302) |
| Experiencia en el gobierno regional | -0,246 | (0,151) |
| Experiencia como parlamentario/a a nivel nacional | -0,013 | (0,137) |
| Experiencia como parlamentario/a a nivel regional | 0,212 [*] | (0,112) |
| Variables control a nivel del partido | ||
| Partido en el gobierno regional | -0,566 [***] | (0,155) |
| Tipo de partido (ámbito estatal) | -0,766 [***] | (0,117) |
| Ideología: izquierda (ref. extrema izquierda) | 0,092 | (0,185) |
| Ideología: centro | 0,696 [**] | (0,301) |
| Ideología: derecha | -0,072 | (0,275) |
| Ideología: extrema derecha | 0,670 [***] | (0,242) |
| Porcentaje de voto del partido | 0,077 [***] | (0,009) |
| Variables control del contexto electoral | ||
| Total de mujeres candidatas | -0,172 | (0,325) |
| Magnitud media de los distritos | 0,011 | (0,014) |
| Calendario electoral | -0,051 | (0,213) |
| Constante | -6,440 [***] | (1,998) |
| Pseudo R2 | 0,616 | |
| Observaciones | 178.660 | |
Para explicar estos hallazgos —el sexo de los/as líderes y la afinidad de género no tienen un efecto significativo sobre la decisión de voto del electorado—, se ha intentado comprobar si como sugieren otros estudios (Dassannoville et al., 2021), la valoración de los/as líderes tiene una menor importancia sobre la decisión de votar a partidos liderados por mujeres que por hombres. Con esta finalidad, se ha introducido en el modelo la interacción entre el sexo de los/as electores/as y líderes de partido y sus respectivas valoraciones por parte del electorado (véase tabla A4 en anexos). Estos análisis complementarios sugieren que el efecto de las valoraciones sobre el voto no está condicionado por el sexo del electorado ni por el de los/as líderes. Por el contrario, los coeficientes de interacción entre el sexo de electores/as y el de líderes, con las valoraciones estos/as, son estadísticamente significativos (p-valor de 0,10). Con todo, como se puede ver en el gráfico 4, estas diferencias son mínimas, solapándose ampliamente los intervalos de confianza de los coeficientes. Finalmente, también se ha intentado comprobar si el efecto del sexo de los/as líderes y de la afinidad de género sobre el voto está condicionado por la ideología de los/as electores/as. Para ello, al modelo contenido en la tabla 2 se le ha incorporado la interacción entre el sexo de los/as electores/as, líderes de partido y las posiciones ideológicas del electorado (véase tabla A5 en anexos). Estos resultados evidencian que el sexo de los/as líderes tiene un efecto estadísticamente significativo sobre el voto dependiendo de la ideología del electorado: las líderes de partido atraen más votos para sus respectivos partidos que los líderes entre el electorado de extrema izquierda e izquierda; por el contrario, los líderes de partido tienen un mayor efecto de arrastre sobre el voto hacia sus partidos que sus homólogas femeninas entre el electorado de centro, derecha y extrema derecha (estos efectos se han representado en el gráfico 5). Sin embargo, el impacto de la afinidad de género no es estadísticamente significativo, en tanto que las mujeres de izquierdas no son más proclives a votar a partidos liderados por mujeres que sus homólogos masculinos.
Gráfico 4.
Probabilidades pronosticadas del efecto de las valoraciones de líderes en función del sexo de los/as líderes y de los/as electores/as sobre el voto en elecciones autonómicas, 2022-2024

Nota: Marginales predictivos con IC 95 %.
Fuente: Elaboración propia a partir de los estudios preelectorales del CIS y de fuentes secundarias de información sobre los/as líderes.
Gráfico 5.
Probabilidades pronosticadas del efecto del sexo de los/as líderes y de la ideología de electores/as sobre el voto en elecciones autonómicas, 2022-2024

Nota: Marginales predictivos con IC 95 %.
Fuente: Elaboración propia a partir de los estudios preelectorales del CIS y de fuentes secundarias de información sobre los/as líderes.
CONCLUSIONES[Subir]
En las últimas décadas, los/as líderes políticos/as han adquirido una importancia creciente en la decisión de voto del electorado. No obstante, la mayoría de las investigaciones sobre su impacto electoral se ha centrado en elecciones de ámbito nacional, mientras que los estudios referidos a contextos regionales o autonómicos son aún escasos. Parte de esta literatura ha señado que el efecto electoral de los/as líderes está condicionado por las características del electorado, de los/as candidatos/as, de sus partidos y del contexto político. Entre las características personales, el sexo de los/as líderes ha recibido hasta ahora una atención limitada, a pesar de que algunos estudios comparados han evidenciado que las líderes tienden a ser mejor valoradas por la ciudadanía que sus homólogos varones. Además, se ha identificado un posible efecto de afinidad de género, especialmente en elecciones nacionales, según el cual las votantes muestran una mayor propensión a respaldar partidos dirigidos por mujeres.
En este marco, el presente trabajo ha contribuido al análisis del impacto del sexo de los/as candidatos/as a la presidencia de los gobiernos autonómicos y de la afinidad de género en las elecciones autonómicas celebradas en España entre 2022 y 2024. Para ello, se construyó una base integrada de datos, a partir de los estudios preelectorales del CIS y de fuentes secundarias que recogen información sobre las características de los/as líderes, sus partidos y el contexto electoral.
Los análisis de regresión realizados permiten destacar cuatro consideraciones principales. Primero, en línea con los hallazgos de estudios previos sobre elecciones nacionales, se ha observado que las líderes regionales obtienen una mejor valoración por parte del electorado que sus homólogos masculinos. Segundo, dicha valoración positiva se ve reforzada por un efecto de afinidad de género: las mujeres tienden a evaluar más favorablemente a las líderes femeninas que los hombres. Tercero, esta mayor valoración no se traduce en una ventaja electoral concreta, ya que los partidos liderados por mujeres no obtienen mejores resultados en las urnas como consecuencia de dicha percepción positiva. Y cuarto, no se ha hallado evidencia de que la afinidad de género influya directamente en la decisión de voto: aunque las mujeres valoran mejor a las líderes de partido, esta evaluación más positiva no implica una mayor propensión de las electoras a votar a sus partidos.
Estos hallazgos ofrecen implicaciones relevantes para el debate sobre la representación política de las mujeres, quienes siguen estando infrarrepresentadas en los espacios de poder político y, en particular, en cargos de alta responsabilidad como la presidencia del ejecutivo. Uno de los argumentos más frecuentes para explicar esta subrepresentación es la resistencia de los partidos a presentar candidaturas femeninas y la reticencia de las mujeres en presentarse para puestos de elección con alta responsabilidad política, basándose en la suposición de que el electorado podría mostrar una mayor preferencia por líderes masculinos. Sin embargo, los resultados de este estudio cuestionan esa premisa: las líderes políticas no solo son mejor valoradas por la ciudadanía, sino que además no sufren un castigo electoral por razón de su sexo. El liderazgo femenino, por tanto, no constituye un lastre electoral. Más bien, los datos apuntan a que la ideología del electorado, en interacción con el sexo de los/as líderes, resulta ser un factor mucho más relevante en la explicación del comportamiento electoral. En concreto, se observa que las líderes de partido generan un mayor efecto de arrastre del voto entre el electorado de izquierdas, mientras que los líderes varones lo hacen entre votantes de centro y derecha frente a sus homólogas.
No obstante, este estudio presenta algunas limitaciones que deben tenerse en cuenta al interpretar sus resultados. En primer lugar, el análisis se limita a las elecciones autonómicas celebradas en España entre 2022 y 2024. Aunque este periodo resulta relevante por el aumento de candidaturas femeninas a la presidencia de los gobiernos regionales, sería conveniente ampliar el estudio a otros procesos electorales para contrastar y generalizar los hallazgos. En segundo lugar, la valoración de los/as líderes políticos/as se ha medido a través de una única escala general, lo que podría ocultar diferencias relevantes según áreas de actuación. Futuras investigaciones podrían desagregar esta valoración por dimensiones específicas —como economía, políticas sociales o gestión institucional— para detectar posibles variaciones en la percepción de liderazgo según el género. Finalmente, el estudio no aborda el efecto que podrían tener los diferentes estilos de liderazgo entre hombres y mujeres, así como los estereotipos de género sobre la decisión de voto. La literatura sugiere que existen divergencias en las formas de ejercer el liderazgo —más colaborativas y participativas entre las mujeres frente a estilos más jerárquicos, competitivos y orientados al control en los hombres—, por lo que incluir esta dimensión permitiría avanzar en la comprensión del impacto del liderazgo político en el comportamiento electoral.