RESUMEN
Este estudio analiza las implicaciones de la adopción del formato online en el diseño de las innovaciones democráticas, específicamente en tres dimensiones clave: la inclusividad de los participantes, la provisión de información y la interacción entre los mismos. El objetivo principal es explorar estas cualidades de las iniciativas participativas presenciales y online en España y tratar de explicar sus diferencias. Parte de estas pueden deberse al formato (presencial versus online), pero analizaremos también otros posibles factores explicativos del diseño como la vocación de estabilidad, la ideología de los gobiernos locales y la renta de los municipios. Para ello, seguimos un diseño metodológico cuantitativo basado en el análisis de los datos de una encuesta online dirigida a todos los ayuntamientos de los municipios de más de 1000 habitantes de Andalucía y Madrid. La base de datos recoge 608 experiencias participativas que se estaban implementando en 2020 a nivel local. Los hallazgos principales apuntan a que las iniciativas online muestran una mayor intención de inclusividad de los participantes, con mecanismos de selección más abiertos, además de proporcionar la información relativa al proceso de manera más diversificada, a través de varios canales. Por el contrario, el formato online tiende a favorecer menos la interacción horizontal y el debate entre participantes que las iniciativas presenciales.
Palabras clave: innovaciones democráticas, participación ciudadana, diseño, inclusividad, información, debate, online.
ABSTRACT
This study analyses the implications of the adoption of online format in the design of democratic innovations, specifically in three key dimensions: the inclusiveness of participants, the provision of information and the interaction between participants. The main objective is to explore these qualities of face-to-face and online participatory initiatives in Spain and to try to explain their differences. Part of these differences may be due to the format (face-to-face versus online), but we will also analyse other possible explanatory factors of the design, such as the vocation for stability, the ideology of the local governments and the income of the municipalities. To do so, we follow a quantitative methodological design based on the analysis of data from an online survey addressed to all town councils of municipalities with more than 1000 inhabitants in Andalusia and Madrid. The database collected 608 participatory experiences that were being implemented in 2020 at the local level. The main findings suggest that online initiatives show a greater intention of inclusiveness of participants, with more open selection mechanisms, as well as providing information about the process in a more diversified way, through various channels. In contrast, the online format tends to be less conducive to horizontal interaction and debate among participants than face-to-face initiatives.
Keywords: democratic innovations, citizen participation, design, inclusiveness, information, debate, online.
Con la aparición y difusión de Internet, y debido al potencial democrático de esta esfera digital y las tecnologías de las comunicaciones (Cohen y Fung, 2023), se han creado nuevas formas de participación que han transformado los métodos participativos tradicionales (Vissers y Stolle, 2014). En este sentido, cada vez son más quienes ven Internet como una nueva oportunidad para el desarrollo de la democracia (Graham y Witschge, 2003).
Las Tecnologías de la Información y la Comunicación (TIC) se han utilizado para respaldar la participación ciudadana, ya sea como herramienta complementaria para la participación presencial o como una plataforma independiente para la participación digital. Con el paso del tiempo, el formato online se ha ido aplicando en los presupuestos participativos de diversos lugares del mundo, como los de Nueva York y Helsinki (Stortone y De Cindio, 2015). Además, se han utilizado plataformas digitales para involucrar a la ciudadanía en otros procesos participativos como las asambleas ciudadanas por el clima de España, Barcelona y las de Reino Unido (Elstub et al., 2021a) o en las peticiones ciudadanas a la Asamblea Nacional francesa (Warne et al., 2021). Por ende, no hay duda de que las TIC desempeñan un papel importante en el desarrollo de las innovaciones democráticas.
Además, la decisión de optar por este formato tiene un impacto importante en el proceso y los resultados de las iniciativas participativas (Elstub et al., 2021b). Sin embargo, no solo por el hecho de utilizar las TIC en los procesos participativos, se aumenta o deteriora el compromiso de los participantes, la comprensión de las temáticas que se tratan y la calidad del discurso (Balduzzi y Siclari, 2024). Lejos de esto, y por ello se lleva a cabo este artículo, es necesario mirar hacia el diseño de los procesos y las características que los integran. Es en la fase del diseño institucional de las innovaciones democráticas donde se deciden qué cualidades dan forma a las experiencias participativas, cómo se estimula la participación y qué resultados se esperan obtener (Skelcher y Torfing, 2010; Smith, 2009). Durante el diseño, tres de los dilemas que se plantean, son los siguientes: quién va a estar (la presencia), con qué herramientas van a contar los participantes (información, organización de las sesiones, etc.) y qué rol van a tener (si pueden interactuar y debatir horizontalmente entre ellos o no) (Fung, 2006). En otras palabras, se decide sobre la intención de inclusividad de los actores sociales que están presentes, sobre la provisión de información relevante y diversificada a los participantes y sobre la inclusión o no del debate y la interacción horizontal entre quienes participan.
La inclusividad de los actores implicados y la provisión de la información es fundamental, así como la creación de espacios donde los participantes puedan interactuar intercambiando opiniones y argumentos. Por tanto, las decisiones en este sentido pueden dar lugar a iniciativas bien distintas entre sí, en las que solo se puede participar por invitación previa o procesos abiertos a todo el mundo, en los que la información que se recibe solo es oral o escrita o se prevén varios formatos, y en la que los participantes pueden o no dialogar y deliberar entre sí. No obstante, que se diseñen mecanismos de participación ciudadana presenciales u online puede influir en estas características de diseño, dando lugar a experiencias participativas que se distinguen mucho entre sí.
Si bien hay estudios sobre las características de diseño de las innovaciones democráticas online, la mayoría se tratan de estudios de caso, como el de Stortone y De Cindio (2015), que abordan los presupuestos participativos híbridos online-offline de nueve ciudades italianas o el de Does y Bos (2021), que analiza la inclusividad y deliberación del presupuesto participativo de La Haya en los Países Bajos. No obstante, aunque existen estudios cuantitativos que abordan todas las fases del proceso participativo, incluyendo, por ende, la dimensión del diseño en las experiencias participativas online, estos trabajos dedican la mayoría de los esfuerzos en analizar el proceso comunicativo-deliberativo en sí y las interacciones entre los participantes, y no en el diseño (Borge et al., 2018; Lindholm y Berg, 2022). En este sentido, cada vez son más los estudios sobre innovaciones democráticas online que se centran en el proceso comunicativo y el análisis discursivo de la deliberación (Aragón et al., 2017).
Por todo ello, en este artículo nos preguntamos: ¿Tiene consecuencias el formato del proceso participativo (si es digital o presencial) en las características de este? Concretamente, miramos hacia quién participa (inclusividad), desde dónde participa (cómo se ofrece la información) y cómo se participa (si existe el diálogo entre participantes). Se pretende, por tanto, conocer las principales cualidades de las innovaciones democráticas que se realizan en España y la incidencia que tiene el formato presencial u online en ellas. Para ello, primero se enuncian los apuntes teóricos que explican las características del diseño institucional y las implicaciones del formato presencial y online. Tras esto, se propone un diseño metodológico y las principales variables utilizadas. Más adelante, se exponen los principales análisis en dos pasos. Primero, presentamos las principales diferencias de las cualidades seleccionadas según los formatos (online versus presencial). Segundo, exploramos los factores que explican la presencia de dichas cualidades de la participación, contraponiendo el posible efecto del formato respecto a otros potenciales factores explicativos. Por último, se expone la discusión inferida sobre las principales similitudes y diferencias en las cualidades de las iniciativas participativas presenciales y online y sus implicaciones.
Las innovaciones democráticas nacen para intentar complementar y corregir las deficiencias de la democracia representativa en términos de igualdad y representación política (Held, 1987). Su objetivo es abrir nuevas vías de participación ciudadana en los procesos políticos y de toma de decisiones (Barber, 1984). En las últimas décadas, se ha observado un aumento del distanciamiento entre la ciudadanía y sus representantes políticos, lo que ha llevado a su vez a una disminución de la confianza de la ciudadanía en la política (Baiocchi y Ganuza, 2017; Gunther y Montero, 2006). Ante esta situación, con el fin de reconectar a la ciudadanía con las instituciones, desde los años ochenta se han implementado diversos mecanismos participativos, que van más allá de la democracia representativa basada en las convocatorias electorales (Smith, 2009).
El término de innovaciones democráticas se refiere a procesos participativos que abordan una cuestión política o social incluyendo a la ciudadanía en el gobierno (Elstub y Escobar, 2019) con el objetivo de aumentar y profundizar la capacidad de influencia de la ciudadanía en la toma de decisiones (Smith, 2009: 1). Estas iniciativas están diseñadas con criterios más participativos o deliberativos, o que combinan características de ambas tradiciones. Algunos ejemplos de estos mecanismos son los presupuestos participativos, los consejos consultivos o los jurados ciudadanos (Cohen y Fung, 2004).
Al ser entendidas las innovaciones democráticas como nuevas ideas que se implementan para cambiar los procesos de tomas de decisiones y mejorar las políticas resultantes (Newton y Geissel, 2012), resulta ineludible estudiar el diseño de estas (Smith, 2009). Según Fung (2003), para mejorar el espacio participativo, deben llevarse a cabo cambios en el diseño de este. El diseño institucional se fundamenta, entre otras[1], en las tres características que se aplican en este artículo: quién va a estar (la presencia de las personas afectadas por el tema particular que se trate en el proceso participativo), con qué herramientas van a contar los participantes (la provisión de información a los participantes sobre la comprensión tanto de los detalles técnicos de la temática como sobre el proceso de participación en sí mismo) y si se contempla un espacio para la interacción horizontal (la exposición de los participantes a los puntos de vista del resto, es decir, el debate) (Fung, 2006; Smith, 2009).
En primer lugar, la inclusividad de los participantes en las iniciativas participativas, entendida en este artículo como la voluntad de incluir a la población general (Francés et al., 2024). Es más, con la intención de incluir en los procesos participativos a individuos de grupos sociales marginados que no suelen participar en este tipo de mecanismos (Young, 2002). Entendemos en este artículo la inclusividad como la equidad política en términos de presencia en la participación. La forma en que se seleccionan a los participantes puede afectar la representatividad y diversidad del espacio participativo (Davies y Chandler, 2011). En este sentido, se crean espacios más restringidos y homogéneos, pero también con mayor capacidad de generar acuerdos, cuando se usan métodos no aleatorios como la participación por invitación previa. De otro modo, se organizan espacios más abiertos y diversos cuando se abre la participación a todo el mundo, o más controlados y diversos cuando se utilizan métodos aleatorios como la elección por sorteo (Griffin et al., 2015; Smith, 2009). Un ejemplo de esto lo encontramos en Bherer et al. (2018), donde se describe que, en los presupuestos participativos de un municipio andaluz, el hecho de abrir la convocatoria a todos los residentes del lugar permitió a un colectivo de migrantes en situación de irregularidad elaborar sus propias propuestas.
En segundo lugar, la provisión de información relevante a los participantes en el proceso participativo, tanto sobre el tema que se aborda como sobre el proceso en sí mismo, es esencial (Friess y Eilders, 2015; Towne y Herbsleb, 2012). Esto enlaza con la idea de organizar iniciativas participativas que sean en sí mismas procesos de aprendizaje, en las que la participación no solo tiene como fin influenciar en la toma de decisiones políticas sino también dotar a la ciudadanía de habilidades democráticas (Lipietz y Cabannes, 2020; Pateman, 1970). La forma en la que los participantes reciben esta información también es relevante. El proceso participativo supone para los participantes un proceso de aprendizaje en términos de conocimiento, habilidades y actitudes (Gudowsky y Bechtold, 2013; Himelboim et al., 2009). Por tanto, en el diseño de los procesos participativos se deciden las formas de provisión de información para dotar a quienes participan del conocimiento técnico y democrático necesario (Smith, 2009). En los procesos participativos, se recibe tanto información de personas expertas, como de informes escritos, material audiovisual, entre otros (Baiocchi, 2005; Cunha et al., 2011; Roberts et al., 2020). Sin embargo, aunque sigue existiendo incertidumbre sobre cuáles son los mejores medios para comunicarla, se recomienda que la información sea diversificada (Muhlberger, 2006), ya que la calidad y diversidad de la información proporcionada a los participantes juega un papel fundamental en la formación de sus opiniones (Goodin y Niemeyer, 2003).
En tercer lugar, el debate y la interacción horizontal entre la ciudadanía que participa en los procesos son aspectos fundamentales de la tradición deliberativa de las innovaciones democráticas (Chambers, 2003). El debate, en el proceso participativo, se trata de crear un espacio en el que se produzca el intercambio de opiniones y argumentos entre iguales en un marco comunicativo similar para todas las personas participantes (Fuentes y Goñi, 2021). Se trata de diseñar innovaciones democráticas que no solo estén basadas en la propuesta de medidas y en la votación de estas, sino que a su vez incorporen espacios en los que los participantes estén expuestos a otros ciudadanos con perspectivas y experiencias sociales diferentes (Smith, 2009). El debate puede tener distintos objetivos, siguiendo a Davies y Chandler (2011), como producir una decisión final, afectar al conocimiento y a las opiniones o simplemente generar ideas. Por tanto, creando mecanismos participativos en los que los participantes puedan debatir propuestas, se concede mayor poder a la ciudadanía en estos procesos (Baiocchi y Ganuza, 2014).
No obstante, la decisión de diseñar procesos más abiertos o cerrados, proveer la información por vía oral, escrita o ambos canales o prever espacios de interacción horizontal en lugar de procesos únicamente basados en hacer propuestas y votarlas puede ser distinta según el formato en el que se desarrollen las iniciativas de participación.
La participación ciudadana puede tener lugar en un espacio en el que todos los participantes están presentes al mismo tiempo, cara a cara. Sin embargo, cuando los participantes están separados espacialmente y/o temporalmente, entran en juego las TIC (Davies y Chandler, 2011). Así como los presupuestos participativos se implementaron por primera vez en Porto Alegre, el primer lugar donde se implementó esta institución participativa en la esfera digital fue también en Brasil, en Belo Horizonte. Más tarde, en el resto del mundo destacan los ejemplos, de en este caso, los presupuestos participativos online «e-PPs» en París, Porto Alegre, Reykiavik, Chicago, Nueva York… También se ha incorporado el formato online a otros procesos participativos como las asambleas ciudadanas por el clima de España y Reino Unido o en otro tipo de mini públicos como el de Turku, Finlandia a raíz de la pandemia de la Covid-19.
En España, tal y como ha ocurrido en el resto de Europa y en Latinoamérica, se han implementado diversas innovaciones democráticas a nivel local, nivel considerado idóneo por ser el más cercano (Mutti, 1992; Subirats, 2002). Las TIC han facilitado la participación ciudadana, ofreciendo herramientas online como complemento o alternativa a la participación presencial (Borge et al., 2009). Ejemplos de ello son plataformas digitales como Consensus (Colombo, 2006) y Decidim, utilizada en procesos participativos como la asamblea ciudadana por el clima de Barcelona (Warne et al., 2021).
La literatura sobre innovaciones democráticas apunta hacia las virtudes y los defectos del formato online. Si bien parte de estos estudios afirman que a veces la esfera virtual se limita a reproducir los patrones de las iniciativas presenciales (Baek et al., 2012), otros trabajos destacan diferencias marcadas. Por ejemplo, que las iniciativas online tienen el potencial de reducir los costes de su implementación, aumentar el número de participantes (Allegretti, 2012), además de atraer a un grupo más amplio y diverso potenciando el compromiso de ciudadanos a menudo excluidos de las formas tradicionales de participación (Albrecht, 2006; Janssen y Kies, 2005; Smith, 2009), incrementando su potencial inclusivo (Kennedy et al., 2021). No obstante, también la literatura apunta a que las iniciativas participativas online se enfrentan al reto que supone la brecha digital en términos de acceso y manejo de las TIC, que puede generar desigualdades participativas. Si no se prevé el material necesario y los conocimientos pertinentes para favorecer su uso, la esfera digital se convierte en una nueva forma de elitismo (Robles et al., 2016). Además, los procesos virtuales pueden reducir los lazos sociales entre participantes, fomentando actitudes individualistas (Allegretti, 2012; Lim y Oh, 2016), debido a su mayor dificultad para coordinar, expresar y comprender opiniones (Davies y Chandler, 2011; Hartz-Karp y Sullivan, 2014).
Sin embargo, la literatura más reciente subraya la idea de que, no solo por el hecho de utilizar las TIC en los procesos participativos, se aumenta o deteriora el compromiso de los participantes, la comprensión de las temáticas que se tratan y la calidad del discurso (Balduzzi y Siclari, 2024). Lejos de esto, y por ello se lleva a cabo este artículo, es necesario mirar hacia el diseño de los procesos y las características que los integran.
Con respecto a los estudios que inciden en las diferencias en la inclusividad entre las iniciativas online y las presenciales, se pueden destacar los siguientes. Dajer (2023) estudió los presupuestos participativos de Medellín, Colombia. Concluyó que la inclusión de las TIC en estos procesos de participación no es una decisión neutral, sino que puede tener efectos positivos o negativos sobre la inclusividad de los participantes en función de cómo estén diseñados los procesos. Por su parte, el estudio de Stortone y De Cindio (2015) compara los presupuestos participativos de nueve ciudades italianas que utilizan la dimensión online en alguna fase de las iniciativas participativas. La conclusión del estudio es que estos procesos se han beneficiado de incorporar el online porque ha superado las barreras participativas del formato presencial «llevando la participación a los hogares de la gente». No obstante, también alerta sobre que el formato online puede devenir en la consecuencia negativa de la brecha digital de la población. En el caso de Does y Bos (2021) estudiaron el diseño institucional de los e-PPs de La Haya, en los Países Bajos. En términos de inclusividad, el formato online consiguió aumentar la participación de forma equitativa. Todo esto nos lleva a plantear la primera hipótesis del estudio:
— Hipótesis 1. El uso del formato online en las iniciativas participativas, manteniendo constantes las demás variables independientes de control, promueve una convocatoria más inclusiva de participantes en comparación con las iniciativas presenciales.
En cuanto a la provisión de información, las TIC tienen el potencial de facilitar el acceso a la información y el acercamiento a los distintos puntos de vista (Smith, 2009). Por ello, incluir el formato online en los procesos participativos supone una oportunidad para diversificar la información que los participantes reciben, creando así procesos con un componente de aprendizaje más fuerte. En los e-PPs de Belo Horizonte, por ejemplo, se impartió información a través tanto del canal oral (información para ayudar a votar a quienes utilizaban las mesas electorales) como del escrito y del audiovisual (realizar visitas virtuales para conocer cómo se estaban implementando las iniciativas aprobadas) (Cunha et al., 2011). El formato digital en los procesos participativos permite que la información que se provee no se base solo en encuentros presenciales con expertos o en el suministro de informes escritos, sino que permite el uso de otros materiales audiovisuales y que esta información diversificada esté disponible en cualquier momento, fomentando así una mayor reflexividad hacia la temática (Friess y Eilders, 2015). En este sentido, planteamos la segunda hipótesis:
— Hipótesis 2. El uso del formato online en las iniciativas participativas, manteniendo constantes las demás variables independientes de control, provoca que la información sea más diversificada que en las iniciativas presenciales.
En cuanto a la inclusión de espacios para la interacción horizontal entre los participantes de las innovaciones democráticas, el uso del formato online ha generado diversas reflexiones en la literatura. Kersting (2016), en su estudio sobre las percepciones de la ciudadanía y políticos locales respecto a iniciativas online en veintisiete ciudades alemanas, reveló que los procesos participativos digitales no eran la opción preferida por los encuestados. El autor sugiere que el formato online está siendo utilizado principalmente para la selección de participantes y la provisión de información, dejando la deliberación relegada a la esfera offline. En Does y Bos (2021), el formato no consiguió implicar a los participantes en los debates online. Sugiriendo, por tanto, que la creación de incentivos en la plataforma digital podría resolver esta limitación. A esto añade Annunziata (2022) que, si bien en la interacción entre participantes de manera virtual, la disposición de la información escrita permite neutralizar el conflicto, el consenso se produce más fácilmente en las deliberaciones presenciales. Por ello, se esboza la tercera hipótesis:
— Hipótesis 3. El uso del formato online en las iniciativas participativas, manteniendo constantes las demás variables independientes de control, provoca que se incluyan menos espacios de debate e interacción horizontal entre participantes que en las iniciativas presenciales.
Sin embargo, el formato online o presencial no es la única condición que explica las distintas cualidades de diseño de las iniciativas participativas. En Zolotov et al. (2018), se evaluó la percepción de la ciudadanía que había participado en los presupuestos participativos de Lisboa, siendo esta percepción positiva sobre todo vinculada al hábito, es decir, a la vocación de permanencia del proceso. Por su parte, en Borge et al. (2009) se llega a la conclusión de que los factores socioeconómicos, culturales y políticos también resultan explicativos, como la renta per cápita de los municipios, diseñándose procesos distintos en municipios con más y menos recursos, o la ideología del partido político que implementa la iniciativa de participación. La literatura coincide en que los partidos de izquierdas se comprometen más con las estrategias de innovación democrática y con la calidad de la participación ciudadana (Font y Galais, 2009; Sesma et al., 2011; Walliser, 2002). En este sentido, Del Pino (2003), apunta a que los partidos de izquierda son más propensos a implementar mecanismos participativos deliberativos, mientras que los conservadores optan por formas de participación más restrictivas en las que se limitan a prestar servicios a la ciudadanía, posicionando a los ciudadanos como clientes o consumidores de políticas públicas (Becerril-Viera et al., 2024). No obstante, Sintomer y Ganuza (2011) señalan que los partidos de izquierda pueden optan por mecanismos de deliberación cerrados que promueven la participación de la sociedad civil organizada en detrimento de la participación individual.
Para estudiar las características a nivel de diseño de las innovaciones democráticas en España, se hizo uso de los datos de la encuesta de un proyecto diseñado para analizar la influencia de la ideología política en los procesos participativos. Para ello, se recogieron datos de todos los municipios con más de 1000 habitantes de dos de las regiones más pobladas de España: Andalucía y la Comunidad de Madrid. Elegimos estas dos regiones porque ambas ofrecen tradiciones políticas diferentes y trayectorias complementarias. Andalucía ha sido pionera en participación en España, mientras que, aunque Madrid ha ido por detrás de los avances participativos del país, alberga algunos municipios muy comprometidos con la participación ciudadana como Getafe.
La estrategia de recolección de datos consistió en una encuesta dirigida a los municipios para conocer los tipos de iniciativas participativas y sus características que se estaban realizando en el año 2020. Además, se recogieron datos demográficos y resultados electorales de esos municipios.
El trabajo de campo de la encuesta se realizó del 11 de mayo al 15 de septiembre de 2021. Se enviaron cartas postales por adelantado a todos los gobiernos municipales presentando los objetivos del proyecto de investigación y la encuesta. Se enviaron invitaciones y cuatro recordatorios para participar en la encuesta por correo electrónico a los municipios de los que pudimos obtener un contacto online. Los municipios que no respondieron a la encuesta fueron contactados por teléfono.
La encuesta fue autoadministrada de manera online y se dirigió a la dirección de correo electrónico oficial del municipio. Fue contestada por responsables políticos de las oficinas de participación ciudadana (58,7%), personal técnico o administrativo del municipio (30,3%) y alcaldes (11%). Son estos perfiles políticos y técnicos los que se encargan del diseño institucional de los procesos participativos, decidiendo en última instancia, según sus percepciones, qué características tendrán los procesos (Liao y Schachter, 2018; Migchelbrink y Van de Walle, 2022).
La muestra final fue de 608 experiencias participativas. Este número de iniciativas participativas pertenece a 423 municipios, de los 699 a los que se contactó (tasa de respuesta del 60,5%), que respondieron al cuestionario de la encuesta parcial (n=72) o totalmente (n=351). Por lo que, en muchos de estos municipios, se realizan más de un tipo de mecanismos participativos a la vez. Entre ellas, hay presencia de consultas ciudadanas, consejos consultivos, planes estratégicos, presupuestos participativos, consejos territoriales, jurados ciudadanos y otros. Todas ellas susceptibles de tener características democráticas distintas o diferencias en cuanto al formato, presencial u online como resultado de la fase de diseño institucional. Aunque las innovaciones democráticas han tendido a centrarse tradicionalmente en el diálogo dentro de los diseños deliberativos y en la inclusión de la población general en los diseños participativos, cada vez más se observa una integración de los puntos fuertes de ambas tradiciones en el diseño de los procesos para mitigar sus respectivas debilidades. Así, nos encontramos en un escenario donde se implementan presupuestos participativos que incorporan la deliberación en su diseño, y asambleas ciudadanas que emplean la votación como método final para alcanzar consensos (Hendricks y Michels, 2024; Stortone y De Cindio, 2015). Además, estas categorías (como presupuestos participativos frente a foros abiertos) son tipologías que utilizamos para su estudio, pero que en la práctica municipal se entremezclan frecuentemente (Font, Della Porta y Sintomer, 2014), lo que justifica un análisis conjunto. Asimismo, se están utilizando herramientas digitales para implementar diversos tipos de innovaciones democráticas (Balduzzi y Siclari, 2024). Todos los datos utilizados proceden de la encuesta, salvo cuando se indica explícitamente.
Para determinar cuáles son las características que se han incluido en el diseño institucional de las iniciativas participativas, utilizamos las siguientes variables dependientes. En la tabla 1 pueden verse los estadísticos descriptivos de ellas.
—En primer lugar, la intención de inclusividad en relación con los participantes, la medimos a través de la variable de selección de participantes. La variable original tiene cuatro categorías. No obstante, como las categorías de «sorteo» y de «elección de miembros entre organizaciones» no tienen casos suficientes para poder ser estadísticamente significativas, se ha prescindido de ellas en el análisis. Planteamos en este artículo que los procedimientos de selección de participantes por invitación previa dan lugar a espacios más restringidos y homogéneos. De otra forma, la invitación abierta a todo el mundo crea espacios más abiertos y diversos. Esta variable refleja el nivel de inclusividad en el diseño, es decir, qué tipo de participantes son convocados a participar. Por tanto, para medir la intención de inclusividad de los procesos participativos, recodificamos la variable en las siguientes categorías: abierto a todo el mundo (1) y por invitación (0).
—En segundo lugar, la variable de la provisión de información relevante a los participantes (tanto sobre la temática que se trata como sobre el proceso en sí mismo) ha sido medida a través de la variable sobre tipos de información provista. Esta, originalmente contaba con cinco categorías y ha sido recodificada partiendo de la base de que, si bien la información puede proveerse de distintas formas, vía oral mediante expertos, con informes escritos o usando otro tipo de fuentes como material audiovisual, no existen evidencias sobre la superioridad de una sobre otras. No obstante, se plantea la necesidad de que la información se provea de forma diversificada. Por tanto, esta variable dicotómica tiene las siguientes categorías: información provista por varios canales (1) e información provista por un solo canal (0).
—En tercer lugar, para medir si en el diseño de la iniciativa se prevé la interacción horizontal entre los participantes o no, se utiliza la variable en la que se preguntaba a las personas entrevistadas si estaba previsto que se produjese deliberación entre los participantes en estos procesos. Por tanto, con el objetivo de identificar iniciativas en las que existiera este intercambio de opiniones y argumentos entre iguales y procesos en los que los participantes se limitaran a realizar propuestas y/o participar en una votación, se plantea una variable dicotómica con las opciones de respuesta siguientes: poder debatir (1) y no poder hacerlo (0).
Nuestra variable independiente principal es la relativa al formato. Se crea una variable dicotómica donde se unificaron los valores de online y mixto para representar la categoría 1 = online (un 40%) y 0 = presencial (un 60%) y el resto se categorizaron como casos perdidos (7 casos). Se decidió unificar las categorías de formato online y mixto partiendo de la base de que ambas comparten la inclusión de la esfera digital en los procesos participativos. Aunque el formato mixto incluye también el formato presencial, lo relevante para este estudio es que las características de los procesos participativos están definidas por el uso del formato virtual. Además, esta agrupación ayuda a reflejar mejor las diferencias y similitudes entre aquellas iniciativas que incluyen el formato online y las que son completamente presenciales.
Sin embargo, otras condiciones pueden tener incidencia a la hora de incluir o no las cualidades analizadas en el proceso participativo. Por ello se decide incluir variables de control en cuanto a la vocación de institucionalización de las iniciativas (Zolotov et al., 2018) y la realidad socioeconómica y política de los municipios que implementan las iniciativas: el partido gobernante que implementan las innovaciones democráticas y la renta per cápita de los municipios (Borge et al., 2009; Sintomer y Ganuza, 2011) (ver tabla I en anexos).
—Vocación de estabilidad del proceso. Esta variable mide la intención de perdurar en el tiempo y ser replicadas en el futuro de las iniciativas participativas. Las categorías originales de las variables eran «experiencia única», «larga pero limitada en el tiempo» y «mecanismo estable». Estas tres categorías han sido recodificadas en una variable dicotómica en la que las dos primeras categorías son consideradas «No estable» y la tercera de ellas «Estable».
—El partido del alcalde del municipio. Las categorías originales recogen todos aquellos partidos que gobiernan la alcaldía de los municipios incluidos en la muestra. No obstante, se recodifican en cuatro categorías, atendiendo a que muchos de los partidos tienen representación en pocos municipios. Las cuatro categorías que utilizamos, por tanto, son las siguientes: izquierda radical (IU/Podemos), socialdemocracia (PSOE), conservadurismo (PP) y otros (partidos minoritarios, regionalistas e independientes). Se decide escoger esta variable porque en muchos de los municipios que forman parte de la muestra, sobre todo los más pequeños, no tienen en el consistorio un concejal que se dedique explícitamente a la participación ciudadana, sino que las competencias recaen en el propio alcalde o alcaldesa.
—La renta per cápita de los municipios. Los datos se recogieron del INE para el año 2018 y se recodificaron a partir de la variable continua original en tres categorías: baja (hasta 8500 euros por habitante), media (entre 8501 y 10000 euros) y alta (por encima de 10001 euros).
Por un lado, realizamos análisis bivariados aplicando tablas de contingencia a cada una de las tres variables dependientes, para conocer cómo se distribuyen estas características comparativamente en los formatos online y presencial. Por otro lado, para controlar qué factores median entre que estas cualidades estén presentes o no en las iniciativas online, hemos llevado a cabo modelos de regresión logística binaria. En estos modelos, analizamos los coeficientes Odds ratio para conocer la influencia de la variable independiente principal y de las variables de control siendo la inexistencia de influencia = 1. Se aplica el mismo modelo para cada una de las tres cualidades analizadas. Por último, se realiza un análisis de los efectos marginales para corroborar la influencia de la variable independiente principal manteniendo controladas el resto de las variables independientes. Para los análisis bivariados y multivariados se utilizó el software estadístico SPSS v.23, mientras que para la elaboración de los gráficos de efectos marginales se empleó Stata v.14.
Como puede verse en el gráfico 1, en formatos diferentes se utilizan distintos métodos de selección de participantes. En el 66,8% de las iniciativas online, la participación es totalmente abierta, mientras que en el 33,2% restante, el acceso se realiza por invitación previa. Por el contrario, en las iniciativas presenciales, la participación es más restringida, con un 53,8% de los casos accediéndose a participar en los procesos por invitación previa, siendo el restante 46,2% iniciativas abiertas a todo el mundo. Por tanto, la intención de garantizar la inclusividad de los participantes es mayor en las iniciativas online.
En cuanto a los canales utilizados para la provisión de información relevante a los participantes, se observa una diferencia considerable. En el gráfico, puede verse que, aunque la información suele darse solo mediante canal oral o escrita, existen diferencias según el formato en el que se llevan a cabo los procesos participativos. Casi en la mitad de las iniciativas online se utilizan varios canales para proveer la información (43,2%). En cuanto a las iniciativas presenciales, la mayoría (70,7%) utiliza también solo un canal para proveer la información, siendo la provisión multicanal en el restante casi 30%. Por tanto, en las iniciativas online se ponen más esfuerzos para proveer la información de forma diversificada a través de varios canales, complementándose la información oral, escrita e incluso audiovisual.
En tercer lugar, analizamos la presencia de los momentos o espacios de debate e interacción horizontal durante el proceso de participación de las iniciativas online y presenciales. El gráfico revela diferencias en la inclusión de la deliberación en ambos formatos. En el 51,9% de los procesos participativos online, los participantes pueden debatir, mientras que ese porcentaje sube a casi el 70% en las iniciativas presenciales. Por tanto, aunque en los dos formatos se hacen esfuerzos para incluir espacios para el debate, la interacción horizontal resulta menos frecuente en las iniciativas participativas online.
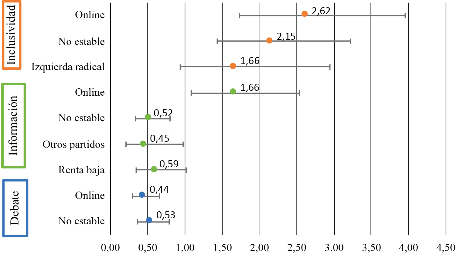
Para examinar la presencia de distintas cualidades en el diseño de innovaciones democráticas presenciales y online, empleamos un modelo de regresión logística binaria aplicado a cada una de estas cualidades. El modelo, además del formato, incluye variables de control como la vocación de dar estabilidad al proceso, la renta per cápita de los municipios y el partido político que gobierna en el municipio y, por ende, que implementa las iniciativas (tablas II, III y IV en anexos). En el gráfico 2, se muestra los coeficientes Odds ratio (OR) para las variables que han resultado significativas en cada caso.
Gráfico 2.
Odds ratio y márgenes de error al 95% de las variables independientes significativas del modelo regresión logística binaria aplicado a las tres variables dependientes.

Fuente: Elaboración propia.
La variable que parece tener una mayor influencia en diseñar los procesos participativos, teniendo en cuenta los otros factores moduladores, es el formato online. De esta forma, se confirman las tendencias de los análisis previos. En primer lugar, existe una mayor intención de inclusividad en las iniciativas participativas online (OR = 2,62). En segundo lugar, vemos que, en las iniciativas online, se provee la información de manera más diversa a través de varios canales simultáneamente (OR = 1,66). No obstante, se promueve menos la interacción horizontal y el debate entre participantes en las iniciativas online que en las presenciales (OR = 0,44).
En cuanto a las variables de control, la vocación de dar estabilidad en el tiempo a los mecanismos participativos parece influir en la decisión de incluir o no estos tres componentes participativos. Cuando las iniciativas participativas no tienen vocación de permanencia, es decir, cuando se tratan de iniciativas participativas que se organizan puntualmente y no buscan institucionalizarse en el municipio, tienen a incluir en menor medida la interacción horizontal entre participantes (OR = 0,53). Además, en estos casos, la provisión de la información a los participantes se produce en mayor medida solo a través de un único canal (OR = 0,52). Sin embargo, son precisamente los mecanismos que no tienen vocación de permanencia en el tiempo los que diseñan iniciativas más inclusivas y abiertas. Por tanto, se dibujan dos tipos de procesos participativos. Por un lado, procesos puntuales más inclusivos pero que incorporan en menor medida información diversificada y espacio para el debate. Por otro, procesos que buscan perdurar en el tiempo, con una participación más restringida pero que proveen información diversificada e incluyen el debate en su diseño.
En adición, el partido gobernante parece influir en las intenciones de inclusividad, siendo los partidos de izquierda radical los que generan procesos más abiertos, en comparación el partido socialdemócrata, aunque este resultado no llega a ser estadísticamente significativo (OR = 1,66). También se observan diferencias en el uso de canales de información, con partidos independientes o candidaturas regionales utilizando en menor medida múltiples canales para este fin (OR = 0,45). Finalmente, la renta per cápita del municipio no parece ser un buen predictor ni de la característica de inclusividad ni de la de debate. Sin embargo, en los municipios de renta baja se observa una tendencia a proveer la información a través de un solo canal (OR = 0,59), lo que podría explicarse por la limitación de recursos y la dificultad de diversificar la comunicación.
En adición, los gráficos 3, 4 y 5 ilustran de forma clara el impacto que tiene el formato de las iniciativas participativas (online versus presencial) sobre el diseño de estas en los municipios españoles, controlando por otros factores que también influyen en el diseño. Estos gráficos permiten analizar de manera más visual cómo cambia la probabilidad de que se incluyan las cualidades de inclusividad, información diversificada y debate a medida que varía el formato.
Como se observa en el gráfico 3, existe una tendencia ascendente en la probabilidad de que las innovaciones democráticas contemplen la inclusividad en su diseño (es decir, que se diseñen procesos participativos abiertos). Este efecto marginal indica que los procesos participativos online tienen una probabilidad mayor de ser diseñados para garantizar una participación abierta e inclusiva, en comparación con las iniciativas presenciales. El aumento gradual de la línea confirma que es más probable que se adopte una selección de los participantes abierta en las iniciativas virtuales, independientemente de los otros factores controlados en el modelo.
Gráfico 3.
Efectos marginales del formato presencial u online en la probabilidad de la intención de inclusividad de la selección de los participantes de iniciativas participativas.

Fuente: Elaboración propia.
En el gráfico 4 se dibuja un patrón similar en el caso de la provisión de información. La probabilidad de que se diseñen procesos participativos en los que se utilicen múltiples canales (oral, escrito, audiovisual…) para informar a los participantes sobre la temática y el proceso participativo en sí mismo es claramente mayor en los procesos participativos online. De nuevo, la línea ascendente indica que el formato online incentiva una estrategia de información multicanal, que podría relacionarse con un acceso equitativo a la información. De otro modo, la línea descendente del gráfico 5, nos muestra que la probabilidad de que iniciativas participativas virtuales prevean en su diseño espacios para el debate y la interacción horizontal entre participantes es significativamente menor que en el caso de las presenciales.
En la fase del diseño de las innovaciones democráticas se deciden las cualidades del proceso participativo. Entre estas decisiones, se configura quién formará parte del proceso, cómo se proveerá la información necesaria a los participantes, y si el proceso prevé que los participantes interactúen entre ellos. Sin embargo, son decisiones que, como se ha visto, están mediadas por el formato en el que se realiza la participación. Este estudio nos permite afirmar que, respondiendo a la pregunta de investigación, en los municipios españoles, el formato, online o presencial, determina las posibilidades de que las innovaciones incorporen en sus diseños determinadas cualidades democráticas, como la inclusividad, la diversidad informativa o espacios para el debate.
En las iniciativas participativas online existe una mayor intención de garantizar la inclusividad de los participantes (H1). Los procesos participativos que se realizan presencialmente utilizan métodos se selección más restringidos y los virtuales tienen el potencial inclusivo de resolver las desigualdades de la participación. Otros factores parecen influir en la decisión de quiénes formarán parte del proceso, siendo más abiertos en su selección de participantes los mecanismos sin vocación de permanencia en el tiempo. Esto puede tener que ver con el hecho de que iniciativas participativas como los consejos consultivos están muy influenciadas por el tejido asociativo de las localidades en las que se llevan a cabo, aunque resulta una cuestión pertinente de ser estudiada en el futuro. Además, tienen mayor intención de inclusividad los mecanismos llevados a cabo en municipios donde gobiernan partidos de izquierda radical. Puede tener que ver con la distinta forma de entender la participación ciudadana por parte de la izquierda radical, más cercana al aprovechamiento de estos mecanismos como un potencial pedagógico para toda la ciudadanía, en comparación con un partido socialdemócrata bastante ligado al tejido asociativo en municipios andaluces, por ejemplo, lo que pude explicar su mayor pretensión por iniciativas participativas en las que los participantes acudan por invitación.
La provisión de información también resulta una variable fundamental para conocer si en los procesos participativos analizados existe la voluntad de proveer de evidencias y conocimientos expertos a los participantes. Si bien es una cualidad presente en gran parte de los procesos participativos, la intención de mostrar una información diversificada varía. En los procesos online, se provee en mayor medida la información tanto oral, escrita y/o audiovisual (H2), siendo la diversificación de la información una condición recomendable y necesaria. De otra manera, son los mecanismos con vocación de permanencia y aquellos municipios con renta per cápita media o alta los que proveen información de manera más diversificada, esto último puede tener que ver con la capacidad de recursos disponibles.
No obstante, se promueve mucho menos en las iniciativas online que exista una fase o un momento del proceso participativo para que los participantes debatan e interactúen horizontalmente entre sí (H3). Esta decisión de incluir la deliberación en los procesos participativos, más allá de simplemente hacer propuestas y votar por ellas, es una característica que marca la diferencia y añade calidad al proceso. Sin embargo, nuestros resultados apuntan a que la promoción de la interacción horizontal entre participantes viene siendo más difícilmente trasladable al formato online. Asimismo, con las iniciativas de participación con vocación de permanencia aquellas que optan en mayor medida por incluir la deliberación en el proceso y, al contrario de lo que apuntaba la literatura previa, no existen diferencias ideológicas-partidistas en torno a esta cuestión.
En definitiva, aunque se promueve menos la interacción horizontal y el debate en las iniciativas participativas online, el formato virtual puede suponer una ventana de oportunidad, debido a su dedicación por la inclusividad y provisión de información diversificada. No obstante, estos resultados hay que tomarlos con precaución. Lo que medimos en este artículo es el nivel de diseño, lo que se prevé y acuerda realizar, pero no los resultados que estas decisiones tuvieron en la práctica; solo las intenciones. Además, aunque en este estudio nos centramos en tres características participativas de los procesos, hay otras que se quedaron fuera por la imposibilidad de medirlas con los datos existentes. En adición, los datos que se analizan en este estudio provienen de una encuesta online que contesta el personal político y/o técnico de los municipios. Por tanto, en última instancia, las respuestas dependen de la interpretación que ellos mismos hacen sobre los procesos participativos. Asimismo, este trabajo presenta otras limitaciones, como la incapacidad de incluir la dimensión espaciotemporal (sincrónica y asincrónica) de las prácticas participativas online, así como la falta de diferenciación entre iniciativas totalmente online y formatos mixtos. Conocer cómo y para qué se ha incorporado el formato online en los procesos participativos podría haber introducido matices importantes en los resultados obtenidos.
Como hemos visto, dependiendo de cómo se diseñen los procesos de participación, darán lugar a iniciativas bien diferentes entre sí. Por tanto, es necesario centrar el análisis más profundamente en la fase de diseño y no pasar de puntillas por ella. De esta forma, nos ayudará también a entender realmente en qué se basan las iniciativas online que se están llevando a cabo en los municipios españoles y poder tener una visión más detallada de lo que ocurre durante el proceso en sí, así como la dimensión de los resultados y el impacto de estas iniciativas.
Sin embargo, aunque globalmente la participación ciudadana se está haciendo un hueco en la esfera online, y la naturaleza y la calidad de esta depende de la forma en la que esté diseñado el proceso y de las características del proceso en sí mismo (Elstub et al., 2021a). Las TIC se utilizan normalmente para complementar la participación presencial, usándose solo para la fase de las votaciones finales (Allegretti, 2012). No obstante, este estudio apunta a que el potencial en inclusividad e información diversificada que tienen las innovaciones democráticas online puede ponerse al servicio de la incorporación de las cualidades deliberativas en el formato virtual. Aunque el debate entre los participantes en iniciativas virtuales sigue siendo un desafío en el contexto de las iniciativas locales españolas, no debe asumirse que la solución radica en replicar formas de deliberación online implementadas en otros entornos. De otro modo, es necesario considerar la literatura y las experiencias previas, atendiendo a que los diferentes diseños y los sesgos asociados a ellos juegan un papel importante al promover la deliberación online (Friess y Eilders, 2015). Además, hay que poner en valor los estándares culturales, pues cada cultura tiene estilos distintos de argumentar y conversar y producir disensos y consenso. Por todo ello, se requiere investigación sobre el diseño de las iniciativas participativas online en el ámbito español, pues no existe conocimiento suficiente sobre los componentes de diseño que definen los procesos participativos.
Tabla I.
Descripción de las variables independientes utilizadas en los modelos estadísticos
| Variables | Categorías Originales | N (%) | Categorías Recodificadas | N (%) |
|---|---|---|---|---|
| Formato | Presencial | 356(60,0%) | Presencial | 356(60%) |
| Online | 96(16,2%) | Online | 237(40%) | |
| Mixto | 141(23,8%) | |||
| Total | 593(100%) | Total | 593(100%) | |
| Perdidos | 15 | - | - | |
| Intención de estabilidad de los mecanismos | Experiencia única | 157(26,3%) | Sin vocación de estabilidad | 231(38,7%) |
| Larga pero limitada en el tiempo | 74(12,4%) | |||
| Mecanismo estable | 366(61,3%) | Con vocación de estabilidad | 366(61,3%) | |
| Total | 597(100%) | Total | 597(100%) | |
| Perdidos | 11 | - | - | |
| Partido del alcalde del municipio | PSOE | 265(53,9%) | Socialdemocracia | 265(53,9%) |
| PP | 104(21,1%) | Conservadurismo | 104(21,1%) | |
| PCE/IU/Adelante | 58(11,8%) | Izquierda radical | 70(14,2%) | |
| Listas locales de izquierdas | 12(2,4%) | |||
| UCD/CDS | 1(0,2%) | Otros | 53(10,8%) | |
| PA | 19(3,9%) | |||
| Ciudadanos | 8(1,6%) | |||
| Independientes | 25(5,1%) | |||
| Total | 492(100%) | Total | 492(100%) | |
| Perdidos | 116 | - | - | |
| PIB 2018 | Continua | Media: 9505,5378 Mediana: 8875 Mínimo: 6127 Máximo: 20148 Total: 608 |
Baja | 214(35,2%) |
| Media | 236(38,8%) | |||
| Alta | 158(26,0%) | |||
| Total | 608(100%) |
Fuente: Elaboración propia a partir de datos primarios recogidos en encuesta
Tabla II.
Modelo de regresión logística binaria aplicado a la variable dependiente de intención de inclusividad
| Variable | B | Error estándar | Sig. | Exp(B) | 95% CI Inferior | 95% CI Superior |
|---|---|---|---|---|---|---|
| Constante | -0,608 | 0,252 | 0,016 | 0,544 | ||
| VARIABLE PRINCIPAL | ||||||
| Formato online (ref = presencial) | 0,961 | 0,211 | <0,001 | 2,615 | 1,729 | 3,954 |
| VARIABLES DE CONTROL | ||||||
| Mecanismos no estables (ref = mecanismos estables) | 0,764 | 0,207 | <0,001 | 2,147 | 1,432 | 3,219 |
| Izquierda radical (ref = socialdemocracia) | 0,506 | 0,292 | 0,083 | 1,659 | 0,936 | 2,943 |
| Conservadurismo (ref = socialdemocracia) | 0,129 | 0,264 | 0,626 | 1,138 | 0,678 | 1,910 |
| Otros partidos (ref = socialdemocracia) | 0,276 | 0,341 | 0,418 | 1,318 | 0,676 | 2,569 |
| Renta per cápita baja (ref = renta alta) | 0,137 | 0,265 | 0,604 | 1,147 | 0,683 | 1,928 |
| Renta per cápita media (ref = renta alta) | -0,059 | 0,251 | 0,813 | 0,943 | 0,577 | 1,541 |
| Nº de observaciones | 449 | |||||
| Razón de verosimilitud (Log likelihood) | 577,332 | |||||
| LR chi-cuadrado | 39,309 | |||||
| Prob> chi-cuadrado (p valor) | <0,001 | |||||
| Pseudo R2 (Nagelkerke;Cox & Snell) | (0,084;0,112) | |||||
Fuente: Elaboración propia.
Tabla III.
Modelo de regresión logística binaria aplicado a la variable dependiente de canales de provisión de información
| Variable | B | Error estándar | Sig. | Exp(B) | 95% CI Inferior | 95% CI Superior |
|---|---|---|---|---|---|---|
| Constante | -0,299 | 0,251 | 0,234 | 0,742 | ||
| VARIABLE PRINCIPAL | ||||||
| Formato online (ref = presencial) | 0,505 | 0,217 | 0,020 | 1,657 | 1,083 | 2,537 |
| VARIABLES DE CONTROL | ||||||
| Mecanismos no estables (ref = mecanismos estables) | -0,659 | 0,222 | 0,003 | 0,517 | 0,335 | 0,799 |
| Izquierda radical (ref = socialdemocracia) | 0,059 | 0,307 | 0,847 | 1,061 | 0,581 | 1,937 |
| Conservadurismo (ref = socialdemocracia) | 0,018 | 0,274 | 0,947 | 1,018 | 0,596 | 1,741 |
| Otros partidos (ref = socialdemocracia) | -0,798 | 0,394 | 0,043 | 0,450 | 0,208 | 0,975 |
| Renta per cápita baja (ref = renta alta) | -0,525 | 0,276 | 0,057 | 0,592 | 0,345 | 1,016 |
| Renta per cápita media (ref = renta alta) | -0,016 | 0,256 | 0,951 | 0,984 | 0,596 | 1,626 |
| Nº de observaciones | 418 | |||||
| Razón de verosimilitud (Log likelihood) | 519,909 | |||||
| LR chi-cuadrado | 25,794 | |||||
| Prob> chi-cuadrado (p valor) | <0,001 | |||||
| Pseudo R2 (Nagelkerke;Cox & Snell) | (0,060;0,082) | |||||
Fuente: Elaboración propia.
Tabla IV.
Modelo de regresión logística binaria aplicado a la variable dependiente de interacción horizontal entre participantes
| Variable | B | Error estándar | Sig. | Exp(B) | 95% CI Inferior | 95% CI Superior |
|---|---|---|---|---|---|---|
| Constante | 1,204 | 0,250 | <0,001 | 3,332 | ||
| VARIABLE PRINCIPAL | ||||||
| Formato online (ref = presencial) | -0,814 | 0,201 | <0,001 | 0,443 | 0,298 | 0,657 |
| VARIABLES DE CONTROL | ||||||
| Mecanismos no estables (ref = mecanismos estables) | -0,629 | 0,199 | 0,002 | 0,533 | 0,361 | 0,788 |
| Izquierda radical (ref = socialdemocracia) | 0,262 | 0,300 | 0,382 | 1,300 | 0,722 | 2,342 |
| Conservadurismo (ref = socialdemocracia) | -0,201 | 0,252 | 0,425 | 0,818 | 0,499 | 1,340 |
| Otros partidos (ref = socialdemocracia) | -0,051 | 0,335 | 0,878 | 0,950 | 0,493 | 1,831 |
| Renta per cápita baja (ref = renta alta) | 0,051 | 0,258 | 0,842 | 1,053 | 0,635 | 1,746 |
| Renta per cápita media (ref = renta alta) | -0,120 | 0,243 | 0,623 | 0,887 | 0,551 | 1,429 |
| Nº de observaciones | 477 | |||||
| Razón de verosimilitud (Log likelihood) | 595,338 | |||||
| LR chi-cuadrado | 31,699 | |||||
| Prob> chi-cuadrado (p valor) | <0,001 | |||||
| Pseudo R2 (Nagelkerke;Cox & Snell) | (0,064;0,088) | |||||
Fuente: Elaboración propia.
| [1] |
Aunque aquí se abordan la inclusividad (inclusiveness) y el juicio informado (considered judgement) en términos de Smith (2009) o el ¿quién?, ¿qué? y ¿cómo? de Fung (2003), existen otras dimensiones a la hora de abordar el diseño institucional de las iniciativas participativas: el control popular, la transparencia, la eficiencia y la transferencia (Smith, 2009) o la respuesta al ¿dónde? y ¿por qué? (Fung, 2003). |
|
Albrecht, Steffen. 2006. «Whose voice is heard in online deliberation? A study of participation and representation in political debates on the internet», Information, Community and Society, 9 (1): 62-82. https://doi.org/10.1080/13691180500519548 |
|
|
Allegretti, Giovanni. (2012). From scepticism to mutual support: Towards a structural change in the relations between participatory budgeting and the information and communication technologies? In P. Mindus, A. Greppi & M. Cuono (Eds.), Legitimacy 2.0. E-Democracy and Public Opinion in the Digital Age (pp. 145-182. Frankfurt am Main: Goethe University Press. https://hdl.handle.net/10316/42343 |
|
|
Annunziata, Rocío. 2022. «De la participación a la innovación: las instancias de deliberación online promovidas por la Ciudad de Buenos Aires», Administración Pública y Sociedad, 13: 176-200. https://revistas.unc.edu.ar/index.php/APyS/article/view/37771 |
|
|
Aragón, Pablo, Andreas Kaltenbrunner, Antonio Calleja-López, Andrés Pereira, Arnau Monterde, Xabier E. Barandiaran y Vicenç Gómez. 2017. «Deliberative Platform Design: The Case Study of the Online Discussions in Decidim Barcelona», en Giovanni L. |
|
|
Baek, Young M., Magdalena Wojcieszak y Michael X. Delli Carpini. 2012. «Online versus face-to-face deliberation: Who? Why? What? With what effects?», New Media & Society, 14 (3): 363-383. https://doi.org/10.1177/1461444811413191 |
|
|
Baiocchi, Gianpaolo y Ernesto Ganuza. 2014. «Participatory Budgeting as if Emancipation Mattered», Politics & Society, 42 (1): 29-50. https://doi:org/10.1177/0032329213512978 |
|
|
Baiocchi, Gianpaolo y Ernesto Ganuza. 2017. Popular Democracy: The Paradox of Participation. Stanford: Stanford University Press. |
|
|
Baiocchi, Gianpaolo. 2005. Militants and Citizens: The Politics of Participatory Democracy in Porto Alegre. Stanford: Stanford University Press. |
|
|
Balduzzi, Teresa y Livia Siclari. 2024. «Participative and Deliberative Democracy Facing Technology: A Study on Digital Democratic Innovations», Rivista Italiana Di Informatica e Diritto, 1: 87-118. https://doi.org/10.32091/RIID0140 |
|
|
Barber, Benjamin R. 1984. Strong Democracy Participatory Politics for a New Age. Berkeley: University of California Press. |
|
|
Becerril-Viera, Isabel, Ernesto Ganuza y Carlos Rico-Motos. 2024. «Birds of a feather flock together: Influence of ideology in the implementation of participation», Democratization, 1-12. https://doi.org/10.1080/13510347.2024.2340638 |
|
|
Bherer, Laurence, José Luis Fernández-Martínez, Patricia García-Espín y Manuel Jiménez-Sánchez. 2018. «The promise for democratic deepening: The effects of participatory processes in the interaction between civil society and local governments», Journal of Civil Society, 12 (3): 344-363. https://doi.org/10.1080/17448689.2016.1215957 |
|
|
Borge, Rosa, Clelia Colombo y Yanina Welp. 2009. «Online and offline participation at the local level: a quantitative analysis of the Catalan municipalities», Information, Communication & Society, 12 (6): 899-928. https://doi.org/10.1080/13691 180802483054 |
|
|
Borge, Rosa, Joan Balcells, Albert Padró-Solanet, Albert Batlle, Andreu Orte y Ricardo Serra. 2018. «La participación política a través de la plataforma Decidim: análisis de 11 municipios catalanes», en Gobierno, Administración y Políticas Públicas. Actas del IX Congreso Internacional en Gobierno, Administración y Políticas Públicas GIGAPP. Madrid: GIGAPP. |
|
|
Chambers, Simone. 2003. «Deliberative Democratic Theory», Annual Review of Political Science, 6 (1): 307-326. https://doi.org/10.1146/annurev.polisci.6.121901.085538 |
|
|
Cohen, Joshua y Archon Fung. 2004. «Radical democracy», Swiss Journal of Political Science, 10 (4): 23-34. https://doi.org/10.3917/rai.042.0115 |
|
|
Cohen, Joshua y Archon Fung. 2023. «Democratic responsibility in the digital public sphere», Constellations, 30: 92-97. https://doi.org/10.1111/1467-8675.12670 |
|
|
Colombo, Clelia. 2006. «Participación ciudadana electrónica en el mundo local: El caso de Consensus, ciudadanos en red». Actas del III Congreso Online del Observatorio de la CiberSociedad. |
|
|
Cunha, Eleonora S.M., Giovanni Allegretti y Marisa Matias. 2011. «Participatory Budgeting and the Use of Information and Communication Technologies: A Virtuous Cycle?», RCCS Annual Review, 3. https://doi.org/10.4000/rccsar.316 |
|
|
Dajer, Diana. 2023. «Designing for inclusion and designing for exclusion: The influence of digital tools on political inclusion in Medellín’s participatory budgeting process», Local Development & Society. https:/doi.org/10.1080/26883597.2023.219236 |
|
|
Davies, Todd y Reid Chandler. 2011. «Online Deliberation Design: Choices, Criteria and Evidence», en Tina Nabatchi, John Gastil, G. Michael Weiksner y Matt Leihningerr, (ed.), Democracry in Motion: Evaluating the Practice and Impact of Deliberative Civic Engagement. Oxford: Oxford University Press. |
|
|
Del Pino, Eloisa. 2003. En Colino, del Pino, Ramio y Salvador, (ed.), Gobiernos Locales e Impulso Democrático: las nuevas formas de participación ciudadana en los gobiernos locales europeos. Barcelona: Fundación Alternativas y Diputación de Barcelona. |
|
|
Does, Ramon y David Bos. 2021. «What can make online government platforms inclusive and deliberative? A reflection on online participatory budgeting in Duinoord, The Hague», Journal of Deliberative Democracy, 17 (1): 48-55. https://doi.org/10.16997/jdd.965 |
|
|
Elstub, Stephen y Oliver Escobar. 2019. «Defining and typologising democratic innovations», en Stephen Elstub y Oliver Escobar, (ed.), Handbook of Democratic Innovation and Governance. Cheltenham: Edward Elgar Publishing. https://doi.org/10.4337/9781786433862.00009 |
|
|
Elstub, Stephen, Jayne Carrick, David M. Farrell y Patricia Mockler. 2021a. «The scope of climate assemblies: lessons from the climate assembly UK», Sustainability, 13 (20): 11272. 2. https://doi.org/10.3390/su132011272 |
|
|
Elstub, Stephen, Rachel Thompson, Oliver Escobar, Joe Hollinghurst, Duncan Grimes, Mhairi Aitken, Anna McKeon, Kerina H. Jones, Alexa Waud y Nayha Sethi. 2021b. «The Resilience of Pandemic Digital Deliberation: An Analysis of Online Synchronous Forums», Journal of the European Institute for Communication and Culture, 28 (3): 237-255. https://doi.org/10.1080/13183222.2021.1969616 |
|
|
Font, Joan y Carol Galais. 2009. Experiències de democràcia participativa local a Catalunya: un mapa analític. Catalunya: Collecció Participació Ciutadana. |
|
|
Font, Joan, Donatella Della Porta y Yves Sintomer. 2014. Participatory Democracy in Southern Europe. Causes, Characteristics and Consequences. New York: Rowman & Littlefield International. |
|
|
Francés, Francisco, Marta Barros, Andrés Falck, Rocío Pérez-Gañán, Sahsil Enríquez, Javier Ortega y Alicia Martínez. 2024. «Repensando la participación comunitaria: Continuidades y transformaciones del Presupuesto Participativo en España», Oñati Socio-Legal Series, 14 (4): 932-954. https://doi.org/10.35295/osls.iisl.1878 |
|
|
Friess, Dennis y Christiane Eilders. 2015. «A Systematic Review of Online Deliberation Research», Policy and Internet, 7 (3): 319-339. https://doi.org/10.1002/poi3.95 |
|
|
Fuentes, Claudio y Julián Goñi. 2021. «Online Critical Debate Model: Deliberation for the Digital Age», en Adelino Cattani y Bruno Mastroianni (ed.), Competing, cooperating, deciding: towards a model of deliberative debate. Florencia: Firenze University Press. https://doi.org/10.36253/978-88-5518-329-1 |
|
|
Fung, Archon. 2003. «Recipes for Public Spheres: Eight Institutional Design Choices and Their Consequences», Journal of Political Philosophy, 11 (3): 338-367. https://doi.org/10.1111/1467-9760.00181 |
|
|
Fung, Archon. 2006. «Varieties of Participation in Complex Governance», Public Administration Review, 66: 66-75. http://www.jstor.org/stable/4096571 |
|
|
Goodin, Robert E. y Simon J. Niemeyer. 2003. «When Does Deliberation Begin? Internal Reflection versus Public Discussion in Deliberative Democracy», Political Studies, 51: 627-649. https://doi.org/10.1111/j.0032-3217.2003.00450.x |
|
|
Graham, Todd y Tamara Witschge. 2003. «In search of online deliberation: Towards a new method for examining the quality of online discussions», Communications, 28 (2): 173-204. https://doi.org/10.1515/comm.2003.012 |
|
|
Griffin, Jamie, Abdel M. Tarik, Alan Tomkins, Amanda Richardson y Stacia Jorgensen. 2015. «Understanding Participant Representativeness in Deliberative Events: A Case Study Comparing Probability and Non-Probability Recruitment Strategies», Journal of Public Deliberation, 11 (1). https://doi.org/10.16997/jdd.221 |
|
|
Gudowsky, Niklas y Ulrike Bechtold. 2013. «The role of information in public participation», Journal of Public Deliberation, 9 (1): 1-35. https://doi.org/10.16997/jdd.152 |
|
|
Gunther, Richard P. y José Ramón Montero. 2006. «The Multidimensionality of Political Support for New Democracies: Conceptual Redefinition and Empirical Refinement», en Mariano Torcal y José Ramón Montero, (ed.), Political Disaffection in Contemporary Democracies. Londres: Routledge. |
|
|
Hartz-Karp, Janette y Brian Sullivan. 2014. «The Unfulfilled Promise of Online Deliberation», Journal of Public Deliberation, 10 (1). https://doi.org/10.16997/jdd.191 |
|
|
Held, David. 1987. Models of Democracy. Standford: Stanford University Press. |
|
|
Hendricks, Frank y Ank Michels. 2024. «Exploring the Democratic Merits of Hybrid Democratic Innovation. Combining Deliberation and Voting in Participatory Budgeting New Style», International Journal of Public Administration. https://doi.org/10.1080/01900692.2024.2390492 |
|
|
Himelboim, Itai, Eric Gleave y Marc A. Smith. 2009. «Discussion catalysts in online political discussions: content importers and conversation starters», Journal of Computer-mediated communication, 14 (4): 771-789. https://doi.org/10.1111/j.1083-6101.2009.01470.x |
|
|
Janssen, Davy y Raphaël Kies. 2005. «Online Forums and Deliberative Democracy», Acta Politica, 40: 317-335. https://doi.org/10.1057/palgrave.ap.5500115 |
|
|
Kennedy, Ryan, Anand E. Sokhey, Claire Abernathy, Kevin M. Esterling, David M. J. Lazer, Amy Lee, William Minozzi y Michael A. Neblo. 2021. «Demographics and (Equal?) Voice: Assessing Participation in Online Deliberative Sessions», Political Studies, 69 (1): 66-88. https://doi.org/10.1177/0032321719890805 |
|
|
Kersting, Norbert. 2016. «Participatory turn? Comparting citizens’ and politicians’ perspectives on online and offline local political participation», Lex Localis, 14 (2): 251-263. https://doi.org/10.4335/14.2.249-263(2016) |
|
|
Liao, Yuguo y Hindy L. Schachter. 2018. «Exploring the antecedents of municipal managers’ attitudes towards citizen participation», Public Management Review, 20 (9): 1287-1308. https://doi.org/10.1080/14719037.2017.1363903 |
|
|
Lim, Seunghoo y Youngmin Oh. 2016. «Online Versus Offline Participation: Has the Democratic Potential of the Internet Been Realized? Analysis of a Participatory Budgeting System in Korea», Public Performance & Management Review, 39 (3): 676-700. https://doi.org/10.1080/15309576.2016.1146553 |
|
|
Lindholm, Jenny y Janne Berg. 2022. «Why do innovations fail? Lessons learned from a digital democratic innovation», EJournal of EDemocracy and Open Government, 14 (2): 130-148. https://doi.org/10.29379/jedem.v14i2.728 |
|
|
Lipietz, Bárbara y Yves Cabannes. 2020. «Revisitando las promesas democráticas del presupuesto participativo, a la luz de lógicas antagónicas de radicalización política, de buena gobernanza y tecnocrática», Revista Argentina de Democracia Participativa, 1 (2). https://discovery.ucl.ac.uk/id/eprint/10112919 |
|
|
Migchelbrink, Koen y Steven Van de Walle. 2022. «Serving Multiple Masters? Public Managers’ Role Perceptions in Participatory Budgeting», Administration & Society, 54 (3): 339-365. https://doi.org/10.1177/00953997211014476 |
|
|
Muhlberger, Peter. 2006. «Lessons from the Virtual Agora Project: The Effects of Agency, Identity, Information, and Deliberation on Political Knowledge», Journal of Public Deliberation, 2 (1). https://doi.org/10.16997/jdd.37 |
|
|
Mutti, Antonio. (1992). Il boun vicino. Rapporti di cicinato nella metrópoli. Bolonia: Il Mulino. |
|
|
Newton, Kenneth y Brigitte Geissel. 2012. Evaluating Democratic Innovations: Curing the Democratic Malaise? Londres: Routledge. |
|
|
Pateman, Carole. 1970. Participation and Democratic Theory. Cambridge: Cambridge University Press. |
|
|
Roberts, Jennifer J., Ruth Lightbody, Ragne Low y Stephen Elstub. 2020. «Experts and evidence in deliberation: scrutinising the role of witnesses and evidence in mini‑publics, a case study», Policy Sci, 53: 3-32. https://doi.org/10.1007/s11077-019-09367-x |
|
|
Robles, José M., Mirko Antino, Stefano De Marco y Josep A. Lobera. 2016. «The new frontier of digital inequality. The participatory divide», Revista Española de Investigaciones Sociológicas, 156: 97-116. https://doi.org/10.5477/cis/reis.156.97 |
|
|
Sesma, Dolores, Pau Alarcón y Joan Font. 2011. «¿Por qué los ayuntamientos ponen en marcha políticas de participación? Experiencias recientes en Andalucía y la comunidad de Madrid»Actas del X Congreso de AECPA. Murcia: Universidad de Murcia. |
|
|
Sintomer, Yves y Ernesto Ganuza. 2011. «Investigación sobre las experiencias de presupuesto participativo en Europa», en Yves Sintomer, Carsten Herzberg y Anja Röcke, (ed.), Democracia participativa y modernización de los servicios públicos. París: Transnational Institute. |
|
|
Skelcher, Chris y Jacob Torfing. 2010. «Improving democratic governance through institutional design: Civic participation and democratic ownership in Europe», Regulation & Governance, 4 (1): 71-91. https://doi.org/10.1111/j.1748-5991.2010.01072.x |
|
|
Smith, Graham. 2009. Democratic Innovations. Cambridge: Cambridge University Press. |
|
|
Stortone, Stefano y Fiorella De Cindio. 2015. «Hybrid Participatory Budgeting: Local Democratic Practices in the Digital Era», en Marcus Foth, Martin Brynskov y Timo Ojala, (eds.), Citizen’s Right to the Digital City. Singapore: Springer. https://doi.org/10.1007/978-981-287-919-6_10 |
|
|
Subirats, Joan. 2002. Redes, territorios y gobierno: nuevas respuestas locales a los retos de la globalización. Barcelona: Diputación de Barcelona. |
|
|
Towne, W. Ben y James D. Herbsleb. 2012. «Design Considerations for Online Deliberation Systems», Journal of Information Technology & Politics, 9 (1): 97-115. https://doi.org/10.1080/19331681.2011.637711 |
|
|
Vissers, Sara y Dietlind Stolle. 2014. «The Internet and new modes of political participation: online versus offline participation», Information, Communication & Society, 17 (8): 937-955. https://doi.org/10.1080/1369118X.2013.867356 |
|
|
Walliser, Andrés. (2002). Participación y Ciudad. Centro de Estudios Avanzados en Ciencias Sociales, Madrid. |
|
|
Warne, Harry, Lina Dencik y Arne Hintz. 2021. «Advancing civic participation in algorithmic decision-making: A guidebook for the public sector». https://orca.cardiff.ac.uk/id/eprint/143384 |
|
|
Young, Iris. 2002. Inclusion and democracy. Oxford: Oxford University Press. |
|
|
Zolotov, Mijail N., Tiago Oliveira y Sven Casteleyn. 2018. «Continued intention to use online participatory budgeting: The effect of empowerment and habit» en Proceedings of the 11thInternational Conference on Theory and Practice of Electronic Governance. Galway, Ireland. https://doi.org/10.1145/3209415.3209461 |
| [a] |
Doctoranda en el Instituto de Estudios Sociales Avanzados (IESA), centro adscrito al Consejo Superior de Investigaciones Científicas (CSIC) y en la Universidad Pablo de Olavide (UPO). Su investigación se centra en las innovaciones democráticas y cómo éstas se ven influidas por la ideología. |