La repetición de curso y la graduación en Educación
Secundaria Obligatoria en España. Análisis empíricos y
recomendaciones políticas
Grade repetition and graduation in compulsory
secondary education in Spain. Empirical analysis and policy recommendations
DOI:10.4438/1988-592X-RE-2021-394-510
Francisco López-Rupérez
Isabel García-García
Universidad Camilo José Cela
Eva Expósito-Casas
Universidad Nacional de Educación a Distancia (UNED)
Resumen
La repetición de curso es uno de los temas destacados de política educativa que ha atraído la atención de los investigadores, principalmente en los países anglosajones. Se trata de un fenómeno que puede afectar a un número muy amplio de alumnos y que tiene claras consecuencias económicas. Su vinculación con la problemática de la equidad en educación hace de la repetición escolar una cuestión de interés político y un objeto no menor de debate ideológico. En el presente estudio se ha abordado el problema de la repetición escolar en España, se ha determinado la amplitud del fenómeno y su evolución a lo largo de la última década, en una perspectiva comparada tanto a nivel internacional como subnacional; se ha analizado, desde un enfoque territorial, la asociación entre nivel socioeconómico y cultural y grado de repetición, así como el valor predictivo de la repetición con respecto a la graduación en la Educación Secundaria Obligatoria; y se ha puesto a prueba, mediante un path analysis, la validez de un modelo causal que implica, conjuntamente, esas tres variables. Lo esencial de los resultados revela una amplia extensión del fenómeno a los 15 años, una notable heterogeneidad entre territorios y una conexión causal intensa y negativa entre repetición y graduación que duplica la de los países de la OCDE. A partir de las anteriores evidencias, se extraen algunas consecuencias sobre el grado de efectividad de las políticas de compensación educativa y se efectúan propuestas fundadas tendentes a corregir la amplitud del fenómeno de la repetición en España y a reducir su incidencia sobre el futuro de los estudiantes. En particular, el análisis de la implementación de las políticas de compensación educativa en el medio escolar, la evaluación de su impacto y el refuerzo de las intervenciones tanto de prevención como de remediación.
Palabras clave: Repetición de curso, diferencias regionales, políticas de compensación educativa, path analysis, graduación en Educación Secundaria Obligatoria, Nivel socioeconómico y cultural.
Abstract
The grade repetition is one of the main topics of educational policy that has attracted the attention of researchers, mainly in Anglo-Saxon countries. This is a phenomenon that can affect a very large number of students and has clear economic consequences. Its connection with the problem of equity in education makes repetition a matter of political interest and a subject of ideological debate. This study has addressed the problem of repetition in Spain, and has identified the extent of the phenomenon and its evolution over the past decade, from a comparative perspective at both the international and subnational levels. The association between socioeconomic and cultural status and level of repetition has been analysed from a regional perspective, as well as the predictive value of repetition with respect to graduation in compulsory secondary education; and a causal model involving, together, these three variables has been tested through a path analysis. The main findings reveal a large extent of the phenomenon at 15 years of age, a marked heterogeneity between territories and a strong and negative causal link between repetition and graduation that that doubles that of the OECD countries. From the above evidence, some consequences are drawn on the effectiveness of compensatory policies and well-founded proposals are made to correct the extent of the phenomenon of grade repetition in Spain and to reduce its effects on the future of students. In particular, the analysis of the implementation of compensation policies in the school environment, the evaluation of their impact and the reinforcement of both prevention and remediation interventions.
Key words: Grade repetition, regional differences, policies of educational compensation, path analysis, graduation in compulsory secondary education, socioeconomic and cultural status.
Introducción
Aun cuando en la literatura se han establecido diferentes modalidades de repetición (Brophy, 2006), a los efectos del presente estudio entenderemos por repetición de curso la práctica educativa consistente en retener a un alumno que ha estado escolarizado un año académico completo en un curso de una determinada etapa educativa, de modo que permanezca en él durante el siguiente año escolar.
La repetición de curso constituye uno de los temas destacados de política educativa que ha atraído la atención de los investigadores, principalmente en los países anglosajones (Jackson, 1975). Y es que se trata de un fenómeno que puede afectar a un número muy amplio de alumnos y que tiene claras consecuencias económicas (Dawson, 1998; Manacorda, 2012; West, 2012). En el caso de España, y de acuerdo con los datos del Sistema estatal de indicadores de la educación 2019 del Ministerio de Educación y Formación Profesional (MEyFP, 2019), el 2,5 por ciento de los alumnos de Educación Primaria en el curso 2016-2017 eran repetidores y el 8,7 por ciento lo era en Educación Secundaria Obligatoria. Ello significa que, de conformidad con los correspondientes datos de escolarización, más de 237.000 alumnos repitieron durante ese curso escolar en España en los niveles obligatorios de enseñanza. En el plano económico, y si se toman en consideración las cifras oficiales de gasto por alumno disponibles (ME y FP, 2019), cálculos estimativos simplificados arrojan una cifra gruesa de gasto anual en España asociado a la repetición del orden de los 1.500 millones de euros1. Pero más allá de la dimensión económica, su vinculación con la problemática de la equidad en educación hace de la repetición escolar una cuestión de interés político y un objeto no menor de debate ideológico.
Así, los defensores de la solución de la repetición, como política educativa destinada a mejorar los resultados de los alumnos de bajo rendimiento, suelen invocar los siguientes argumentos en favor de su posición y en contra de la promoción automática o “social” (Ikeda y García, 2014; Schwerdt y West, 2012; Thomson y Cunningham, 2000). La repetición de curso: envía un mensaje claro a los alumnos de que el poco esfuerzo y el bajo rendimiento no son comportamientos aceptables por parte de la institución escolar, permite a los alumnos de bajo rendimiento prepararse mejor y estar listos para el curso siguiente, al darles la oportunidad de corregir su rumbo, reforzarán su autoestima y su motivación lo que mejorará sus resultados en cursos posteriores. Por el contrario, la promoción automática: frustra a los estudiantes al situarlos en niveles superiores para los cuales no están preparados, obliga a los profesores a atender a alumnos poco preparados mientras intentan atender a los más preparados, facilita a los padres una falsa percepción sobre el progreso escolar de sus hijos y evita la aparición de señales de alarma movilizadoras de su implicación, lleva a los empleadores a concluir que los diplomas carecen de valor, arroja a los estudiantes con una formación precaria a una sociedad adulta en la que no podrán rendir.
En el extremo opuesto se sitúan los defensores de la promoción automática. Para ellos dicha práctica educativa facilita a los alumnos de bajo rendimiento nuevas oportunidades para progresar, les permiten proseguir con sus compañeros de curso, apoyarse en ellos y no sentirse escolarmente discriminados. Por el contrario, la repetición de curso, fuerza a los alumnos a repetir el mismo currículo y les priva de la oportunidad de aprender cosas nuevas, desanima precisamente a aquellos alumnos cuya motivación y autoconfianza son normalmente bajas, puede estigmatizarlos ante sus compañeros, ante sus profesores y ante sus familias. Todo ello afectará negativamente a su desarrollo emocional.
El fenómeno de la repetición de curso y sus consecuencias han sido objeto de investigación empírica en el ámbito anglosajón a lo largo de más de un siglo y por ello ha soportado, de forma reiterada, revisiones con diferente grado de sistematización (Ikeda y García, 2014; Jacob y Lefgren, 2009; Jimerson, 2001; Jimerson, Anderson y Whipple, 2002; Jimerson, Ferguson, Whipple, Anderson, y Dalton, 2002; Rumberger, y Lim, 2008; Thomson y Cunningham, 2000; West, 2012). A ello se han sumado las críticas más recientes a la aplicación de metodologías correlacionales y a sus limitaciones a la hora de establecer, sin ambigüedad, conexiones causales (Babcock y Bedard, 2011; Choi, Mediavilla y Valbuena, 2018; Eide y Showalter, 2001; Ikeda y García, 2014; Jacob y Lefgren,2004; Murnane y Willett, 2011), hasta el punto de considerar que muchos de los trabajos publicados no son concluyentes (Choi et al., 2018; Jacob y Lefgren, 2004).
Sin embargo, tanto los estudios de tipo correlacional como los más rigurosos, centrados en la estimación del efecto causal de las políticas de repetición de curso sobre el rendimiento académico y el abandono escolar, revelan resultados empíricos mezclados: unos positivos y otros negativos. En todo caso, por su frecuente vinculación empírica con el nivel socioeconómico y cultural de los estudiantes, la repetición escolar se ha identificado como un área de intervención sobre la que operar desde las políticas y las prácticas educativas. Y no solo por su asociación con variables de naturaleza propiamente académica, sino también por su valor predictivo de factores de tipo social y económico en la edad adulta.
En lo que concierne a la investigación referida a España, los trabajos de Choi et al. (2018) y de García-Pérez, Hidalgo y Robles (2014) dan una amplia cuenta de ello. En comparación con la literatura anglosajona, y en especial la norteamericana, la española es relativamente reciente, escasa y está afectada, en su mayor parte, por esa limitación metodológica más arriba descrita (Choi et al., 2018). Por otro lado, se basa de una forma sistemática en los datos de PISA que corresponden a respuestas autoinformadas por los alumnos sobre su grado de repetición y están sujetas, por tanto y como veremos más adelante, al sesgo asociado a la “deseabilidad social”.
En el presente estudio se aborda el problema de la repetición escolar en España con los siguientes objetivos de investigación:
a) Determinar la amplitud del fenómeno de la repetición de curso en España y su evolución a lo largo de la última década, en una perspectiva comparada tanto a nivel internacional como subnacional.
b) Analizar, desde un enfoque territorial, la asociación entre nivel socioeconómico y cultural y tasa de repetición.
c) Analizar, desde un enfoque territorial, el valor predictivo de la repetición con respecto a la graduación en la Educación Secundaria Obligatoria (ESO).
d) Poner a prueba la validez de un modelo causal que implique, conjuntamente, esas tres variables, y los correspondientes factores latentes, mediante un path analysis.
A partir de las anteriores evidencias, se persigue extraer algunas consecuencias sobre el grado de efectividad de nuestras políticas compensatorias y efectuar propuestas fundadas tendentes a corregir la amplitud del fenómeno de la repetición y a reducir su impacto sobre el futuro de los estudiantes.
A pesar de las controversias de raíz ideológica sobre la repetición de curso, consideramos que, en el fondo, muchos investigadores partidarios de la repetición estarían dispuestos a aceptar sus limitaciones; y muchos de los investigadores partidarios de la promoción automática admitirían sus debilidades y sus riesgos como instrumento de equidad en educación.
Metodología
Muestra
En lo que concierne a las muestras, en el presente estudio se han empleado, por un lado, la muestra PISA nacional correspondiente a la edición de 2018, compuesta por 6.736 estudiantes y representativa del conjunto de la población española de alumnos de 15 años, escolarizados mayoritariamente en 4.º curso de la ESO (Educación Secundaria Obligatoria); y, por otro, las diecinueve muestras ampliadas correspondientes a otras tantas comunidades autónomas y ciudades autónomas (N= 32.330) estadísticamente representativas de sus respectivas poblaciones escolares de ese nivel de edad. La Tabla I presenta las diferentes extensiones (N) de las muestras subnacionales, así como los porcentajes con respecto a sus respectivas poblaciones.
TABLA I. Extensión de las muestras de alumnos correspondientes a cada una de las diecinueve comunidades y ciudades autónomas españolas y porcentajes con respecto a las respectivas poblaciones.
|
N |
% |
|
|
Andalucía |
1.813 |
4,6% |
|
Aragón |
1.798 |
4,6% |
|
Asturias |
1.790 |
4,6% |
|
Islas Baleares |
1.797 |
4,6% |
|
Canarias |
1.842 |
4,7% |
|
Cantabria |
1.924 |
4,9% |
|
Castilla y León |
1.858 |
4,8% |
|
Castilla-La Mancha |
1.889 |
4,8% |
|
Cataluña |
1.769 |
4,5% |
|
Comunidad Valenciana |
1.625 |
4,2% |
|
Extremadura |
1.809 |
4,6% |
|
Galicia |
1.865 |
4,8% |
|
Comunidad de Madrid |
1.808 |
4,6% |
|
Región de Murcia |
1.796 |
4,6% |
|
Comunidad Foral de Navarra |
1.874 |
4,8% |
|
País Vasco |
3.612 |
9,2% |
|
La Rioja |
1.461 |
3,7% |
Fuente: elaboración propia a partir de la base de datos de PISA 2018. (OECD, 2019 a)
Junto con las muestras descritas en la Tabla 1 para la determinación del Índice de nivel socioeconómico y cultural de los alumnos (ISEC) y del índice de repetición de curso (REPEAT), medidos a través de las respuestas a los correspondientes cuestionarios para estudiantes de PISA 2018, el trabajo ha recurrido a las poblaciones completas para la medida de la tasa de idoneidad y de la tasa de graduación en ESO.
Variables
Las variables en las que se ha centrado la atención en el presente estudio han sido las siguientes:
– Grado de repetición (REPEAT), que se ha calculado en la edición de 2018 de PISA (OECD, 2019) a partir de los registros efectuados por los alumnos de las muestras correspondientes en las cuestiones ST127Q01TA, ST127Q02TA y ST127Q03TA, en las que el alumno debe indicar si ha repetido en los tres niveles ISCED (International Standard Classification of Education) indicados, de modo que REPEAT=1 es el valor asignado a aquellos alumnos que indican haber repetido al menos una vez, y REPEAT= 0 si contesta “no, nunca.”
– Nivel socioeconómico y cultural (ISEC), calculado a partir del cuestionario de PISA 2018, en concreto se utiliza la información relativa al nivel de estudios y profesión de la madre y el padre (PARED y HISEI) y los recursos en el hogar (HOMEPOS).
– Tasa de repetición (REP), medida a partir de las estadísticas administrativas relativas a la tasa de idoneidad IDN (REP= 100-IDN) para la población completa de alumnos de 15 años de edad en 2018.
– Tasa de graduación en ESO (GRD), medida a partir de las estadísticas administrativas relativas a la graduación en ESO en el curso 2017-2018 para la correspondiente población escolar. Aunque se trata de un indicador de rendimiento que no goza, en principio, del nivel de precisión de PISA, es para nuestros propósitos suficientemente seguro2.
Procedimientos de análisis
Junto a los procedimientos propios de una estadística descriptiva, para las variables REPEAT y REP particularmente, se ha recurrido a la regresión lineal a la hora de correlacionar la variable ISEC con la variable REP por comunidades y ciudades autónomas, atendiendo de este modo a los dos primeros objetivos del trabajo (a y b). El mismo procedimiento se ha empleado, en una primera aproximación, con el fin de explorar el valor predictivo de la variable REP sobre la variable GRD, abordando así el tercer objetivo del estudio (c). En ambos casos se han efectuado los correspondientes análisis de varianza. Para ello se ha empleado el programa de análisis de datos IBM SPSS Statistics para Windows, Version 25.0.
Por otra parte, se ha recurrido a un “análisis de caminos”, path analysis (Blalock, 1988; Bryman y Cramer, 1994; Kim y Kohout, 1988; Pérez, Medrano y Sánchez Rosas, 2013) para poner a prueba la validez de un modelo causal que implique, conjuntamente, las variables ISEC, REP y GRD y los correspondientes factores latentes a fin de dar respuesta al cuarto y último objetivo planteado (d). Se ha empleado el programa Amos (Version 23.0).
Cabe recordar que el path analysis es una modalidad de análisis estadístico de regresión múltiple que va más allá del impacto directo de un conjunto de variables independientes sobre una dependiente, pues toma, además, en consideración la interacción entre las variables predictoras, así como su posible influencia indirecta sobre las variables dependientes (Aron y Aron, 2001). En lo que concierne a la causalidad, esta técnica no prueba su existencia, pero ayuda a razonar, desde una base empírica, sobre diferentes hipótesis causales (Batista Foguet y Gallart, 2000). Como señalan Kim y Kohout (1988; p.385) hay dos supuestos generales para que sea posible aplicar un análisis de caminos. El primero es la existencia de al menos un “orden causal débil”, lo que significa que “se sabe, o se supone, que la variable Xi puede o no afectar a la variable Xj, pero que, en todo caso, Xj no puede afectar a la variable Xi. Se califica de orden causal débil porque el anterior supuesto no requiere, en sentido estricto, que Xi sea la causa de Xj “. El segundo supuesto es el de “cierre causal”: “Dada una covariación bivariada entre X e Y, y un orden causal débil de X a Y, la covariación observada entre X e Y puede ser debida: (1) únicamente a la dependencia causal de Y sobre X; (2) a su mutua dependencia de una tercera variable; (3) a una combinación entre (1) y (2)” (Kim y Kohout, 1988; p.385).
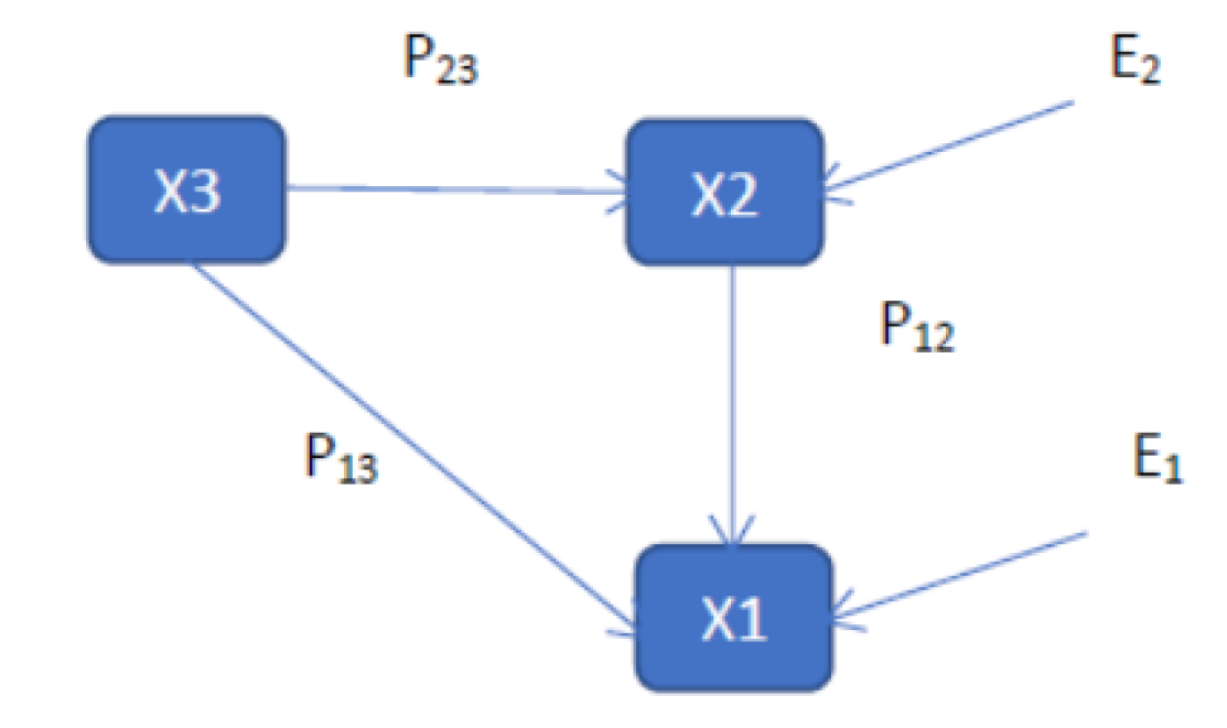
GRÁFICO I. Modelo causal genérico para un esquema de tres variables

Fuente: Kim et al. (1988)
El Gráfico I muestra un modelo causal genérico para un esquema de tres variables siendo E1 y E2 las correspondientes variables latentes cada una de las cuales representa el total de causas residuales que se desconocen, operando sobre la correspondiente variable, y que son diferentes de las consideradas de forma explícita en el modelo causal. Pij representan los coeficientes de camino. A este modelo causal ha de acompañar una explicación teórica plausible de cómo y por qué las variables están relacionadas, explicación que será dada más adelante.
Resultados
Amplitud del fenómeno de la repetición de curso en España. Un análisis comparado.
A partir de los datos auto informados de los alumnos, obtenidos con ocasión de diferentes ediciones de PISA, es posible efectuar un análisis comparativo de la amplitud del porcentaje de estudiantes de 15 años que han repetido al menos una vez a lo largo de su cursus escolar, y de su evolución durante aproximadamente una década. El Gráfico II muestra los valores de dicho indicador obtenidos por los países de la OCDE en las ediciones de 2009, 2015 y 2018 de PISA. De su análisis, cabe destacar las siguientes evidencias:
a) La mayor parte de los grandes países de la UE se sitúan en materia de repetición escolar por encima de la media de la OCDE.
b) Se observa una cierta tendencia progresiva a la disminución de la repetición a lo largo prácticamente de una década (2009-2018), y destaca en ella la drástica reducción de Francia.
c) Se advierte la posición que ocupa España (3ª) en ese ranking internacional de repetición y, a pesar de su moderada tendencia a la baja, se pone de manifiesto la considerable magnitud que adquiere dicho fenómeno en nuestro país.
GRÁFICO II. Porcentaje de alumnos de 15 años que han repetido al menos una vez en los países de la Unión Europea. PISA 2009, 2015 y 2018

Fuente: Elaboración propia a partir de la base de datos de PISA 2018, 2015 y 2009
Una aproximación al fenómeno de la repetición de curso en España en el nivel subnacional, propio de las comunidades y ciudades autónomas, recurriendo a la misma variable REPEAT, se muestra en el Gráfico III. De su análisis cabe destacar los siguientes hechos:
a) La tendencia generalizada a una cierta disminución de la amplitud de la repetición de curso con el tiempo.
b) Unas cifras de repetición que llegan a triplicar la correspondiente a las de la OCDE.
c) Unas diferencias muy notables entre territorios. Cuando se efectúa la comparación en términos razonablemente homogéneos, se advierten muy amplias diferencias entre comunidades autónomas con cifras que, en 2018, van de un 35,6 por ciento en Canarias a un 15,2 por ciento en Cataluña.
GRÁFICO III. Porcentaje de alumnos de 15 años que han repetido al menos una vez en las comunidades y ciudades autónomas. PISA 2012, 2015 y 2018

Nota: Es a partir de 2015 cuando las diecisiete comunidades autónomas participan en PISA con muestra ampliada y a partir de 2018 cuando lo hacen Ceuta y Melilla.
Fuente: Elaboración propia a partir de la base de datos de PISA 2018.
Un modo alternativo de medir la amplitud del fenómeno de la repetición de curso a los 15 años consiste en recurrir a la llamada tasa de idoneidad (IDN) que muestra el porcentaje de alumnos de una determinada edad que está efectuando el curso teórico correspondiente a su edad. Es, por tanto, una medida inversa de la repetición. Dicho en otros términos, su complementario con respecto a 100 constituye una expresión de la tasa de repetición, de al menos una vez, a la edad que corresponda3 (REP=100-IDN). A diferencia del dato muestral procedente de PISA, que se obtiene a partir de las respuestas a los cuestionarios dirigidos a los alumnos, la tasa de idoneidad a los 15 años se mide de forma directa y censal, y se expresa en las correspondientes estadísticas escolares del Ministerio de Educación (MEyFP, 2020).
Por su procedimiento de medida, este indicador está afectado de un menor margen de error. Ello es así porque, en la producción de respuestas autoinformadas por parte de los estudiantes, está operando el mecanismo de la llamada “deseabilidad social” de modo que sus resultados estarían condicionados por lo que se considera bien visto por las familias y el centro, o preferido socialmente. Este sesgo tiende a generar un error sistemático, en este caso por defecto, tal y como se observa al contrastar, con otro estándar más seguro, las cifras para España y sus comunidades y ciudades autónomas. Así, por ejemplo, la tasa de repetición medida por PISA 2018 para el total nacional es de un 28,7 por ciento mientras que la cifra que se deriva de la tasa de idoneidad a los 15 años es de un 30,5 por ciento, en ese mismo curso. En el caso de Cataluña, la medida por PISA 2018 arroja un valor de un 15,1 por ciento, mientras que la obtenida mediante la tasa de idoneidad es de un 19,3 por ciento. El Gráfico IV replica el Gráfico III pero referido ahora a las tasas de idoneidad. Las evidencias que se infieren de su análisis son de la misma naturaleza que las adelantadas para el caso anterior: ligera disminución del fenómeno con el tiempo y considerable desigualdad territorial.
GRÁFICO IV. Tasas de idoneidad en la edad de 15 años en España y en las comunidades autónomas. Cursos 2011-12, 2014-15 y 2017-18

Fuente: Elaboración propia a partir de Estadística de las Enseñanzas no universitarias. Ministerio de Educación y Formación Profesional (ME y FP, 2019).
Aun cuando para la comparación internacional los datos procedentes de PISA son los únicos disponibles, para la comparación subnacional los obtenidos a partir de la tasa de idoneidad son los preferibles con el fin de reducir el margen de error y su propagación.
Nivel socioeconómico y cultural (ISEC) y tasa de repetición (REP)
Una primera aproximación empírica a la problemática de la repetición de curso, desde la perspectiva de la igualdad de oportunidades, consiste en evidenciar la asociación existente para España entre dicho fenómeno y el nivel socioeconómico y cultural.
El análisis de regresión lineal efectuado entre ISEC y tasa de repetición, calculada de forma más precisa a partir de la de idoneidad a los 15 años y referida al curso 2017-2018, se muestra en el Gráfico V. De dicho análisis se infieren las siguientes evidencias:
a) Una asociación intensa, con una fuerza R2 del 67 por ciento entre ambas variables, lo que podría reforzar la tesis de que en España el ISEC es un predictor inverso de la tasa de repetición a los 15 años, dado que menores niveles socioeconómicos se corresponden con mayores grados de repetición.
b) Una posición, en cuanto a la incidencia del fenómeno de la repetición, superior a la que les correspondería por su nivel socioeconómico y cultural, en especial de las comunidades autónomas de Aragón y Madrid, y de la ciudad autónoma de Ceuta. Estos territorios podrían estar utilizando el recurso a la repetición con una mayor frecuencia que la esperada.
GRÁFICO V. Análisis de regresión lineal entre el ISEC y la tasa de repetición a los 15 años (REP) en España y en las comunidades autónomas

Fuente: Elaboración propia a partir de PISA 2018 para el ISEC y Estadística de las Enseñanzas no universitarias, Ministerio de Educación y Formación Profesional, para el porcentaje de repetición a los 15 años.
c) Una posición en cuanto a la incidencia del fenómeno de la repetición inferior a la que les correspondería por su nivel socioeconómico y cultural, en especial de las comunidades autónomas de Cataluña y Extremadura. Estos territorios podrían estar utilizando el recurso a la repetición con una frecuencia inferior a la que les correspondería por su ISEC.
La Tabla II muestra los parámetros correspondientes al análisis de regresión de las variables REP vs. ISEC que se representa en el Gráfico V.
TABLA II. Parámetros relativos al análisis de regresión lineal entre la tasa de repetición (REP) a los 15 años (curso 2017-2018) y el ISEC (PISA, 2018) y al correspondiente análisis de varianza
|
Coeficiente de correlación |
0,82 |
||||
|
Coeficiente de determinación R^2 ajustado |
0,65 |
||||
|
Error típico |
4,14 |
||||
|
Análisis de Varianza |
|||||
|
Grados de libertad |
Suma de cuadrados |
Promedio de los cuadrados |
F |
Sig. |
|
|
Regresión |
1 |
626,07 |
626,07 |
36,44 |
0,00 |
|
Residuos |
18 |
309,24 |
17,18 |
||
|
Total |
19 |
935,31 |
|
|
|
Aunque la naturaleza de la metodología empleada no nos permite definir una relación de causalidad formalmente establecida, la propia naturaleza de las variables consideradas alude a una prelación entre ellas que resulta incompatible con la hipótesis de causalidad inversa: de la repetición hacia el nivel socioeconómico y cultural de la familia. Esa relación causal podría desplegarse, desde luego, en el medio o largo plazo, pero no en el momento en el que, de un modo simultaneo, se miden ambas variables. Más adelante refinaremos esta primera aproximación a dicho vínculo y a su magnitud mediante la técnica del “análisis de caminos”.
Valor predictivo de la repetición (REP) con respecto a la graduación en ESO (GRD)
El Gráfico VI muestra el resultado del análisis de regresión lineal efectuado entre la tasa de repetición (REP) a los 15 años y el rendimiento escolar, medido por la tasa de graduación (GRD) al final de la correspondiente etapa (ESO), sea cual fuere la edad a la que dicha graduación se produzca. De su análisis cabe destacar los siguientes resultados:
a) Una asociación intensa, con una fuerza R2 del 73 por ciento entre ambas variables, lo que refuerza la tesis de que estamos ante dos fenómenos fuertemente correlacionados en España. La repetición es pues un buen predictor inverso de la graduación.
GRÁFICO VI. Análisis de regresión lineal entre la tasa de repetición a los 15 años y la tasa de graduación en ESO en España y en las comunidades autónomas

Fuente: Elaboración propia a partir de Estadística de las Enseñanzas no universitarias. Ministerio de Educación y Formación Profesional (ME y FP, 2019).
b) Una posición, en cuanto a la tasa de graduación en la ESO, superior a la que les correspondería por su tasa de repetición, en especial de las comunidades autónomas de País Vasco, Navarra y Aragón en especial. En esos casos, las actuaciones de atención específica, apoyo o acompañamiento de los alumnos repetidores de origen sea escolar, sea familiar podrían estar siendo más efectivas que en el resto.
c) Una posición, en cuanto a la tasa de graduación en la ESO, inferior a la que les correspondería por su tasa de repetición, en especial de las comunidades autónomas de Cataluña, Castilla La Mancha y Asturias. En esos casos, las actuaciones de atención específica, apoyo o acompañamiento de los alumnos repetidores de origen sea escolar, sea familiar podrían estar siendo menos efectivas que en el resto.
La Tabla III muestra los parámetros correspondientes al análisis de regresión de las variables GRD vs. REP que se representa en el Gráfico VI.
TABLA III. Parámetros relativos al análisis de regresión lineal entre tasa de graduación (GRD) en ESO (curso 2017-2018) y la tasa de repetición (REP) a los 15 años (curso 2017-2018) y al correspondiente análisis de varianza
|
Coeficiente de correlación |
0,85 |
||||
|
Coeficiente de determinación R^2 ajustado |
0,71 |
||||
|
Error típico |
1,9 |
||||
|
Análisis de Varianza |
|||||
|
|
Grados de libertad |
Suma de |
Promedio de |
F |
Sig. |
|
Regresión |
1 |
183,84 |
183,84 |
48,31 |
0,00 |
|
Residuos |
18 |
68,5 |
3,81 |
||
|
Total |
19 |
252,34 |
|
|
|
Path analysis sobre las variables ISEC, REP y GRD
El Gráfico VII muestra el modelo causal postulado para esas tres variables, junto con los valores de sus parámetros característicos que han sido obtenidos a partir de sucesivos análisis de regresión múltiple jerárquicos o secuenciales; los valores de ajuste del modelo se muestran en la Tabla IV. Antes de proceder a la interpretación de los resultados, es preciso comentar que este modelo satisface los dos requisitos descritos más arriba, que son condiciones necesarias para poder aplicar un análisis de camino.
En cuanto al primer requisito de “orden causal”, al menos débil, cabe afirmar que a la asociación empírica comprobada entre cada pareja de variables le acompaña la prelación evidente en el orden causal. Así, la relación ISEC -> REP no admite la de sentido opuesto, toda vez que es el nivel socioeconómico y cultural de un alumno, que es característico de su medio familiar, el condicionante de su repetición de curso y no al contrario, al menos en el momento en el que se realiza la observación. Algo similar cabe decir de la relación ISEC -> GRD como medida del rendimiento escolar. En cuanto a la relación REP -> GRD, el orden temporal de los dos fenómenos (la condición de repetidor precede a su graduación en la ESO) justifica asimismo ese orden causal. En lo que concierne al segundo requisito de “cierre causal” el propio diagrama del Gráfico VII asegura que se dan las condiciones establecidas en su definición.
Las cifras que se representan junto a los grafos del Gráfico VII representan los valores de sus coeficientes de camino. De su análisis se infieren las siguientes evidencias:
a) Cuanto mayor sea el nivel socioeconómico y cultural de los alumnos (ISEC), tanto menor será su tasa de repetición a los 15 años (REP), siendo la intensidad de la relación directa entre ambas variables de un 6,2 %.
b) Cuanto mayor sea la tasa de repetición de los alumnos a los 15 años (REP), tanto menor será la tasa de graduación en la ESO (GRD), siendo la intensidad de la relación directa entre ambas variables de un 67,2 %.
c) Cuanto mayor sea el nivel socioeconómico y cultural de los alumnos (ISEC), tanto mayor será su tasa de graduación en la ESO (GRD), siendo la intensidad de la relación directa entre ambas variables de un 1,4 %.
d) El impacto sobre la tasa de graduación en la ESO (GRD) del total de las causas residuales que operan sobre dicha variable pero que no se explicitan en el modelo es elevado, con una fuerza del 54,8%. Este es, pues, el porcentaje de la varianza no explicado por el modelo.
GRÁFICO VII. Diagrama de caminos correspondiente a las variables ISEC, REP y GRD

TABLA IV. Valores de ajuste del modelo
|
Criterio |
Valor obtenido |
|
|
χ2 |
Significación > .05 |
0.104 |
|
χ2/gl |
< 3 |
0.104 |
|
GFI |
≥ .95 |
0.996 |
|
AGFI |
≥ .95 |
0.978 |
|
RMR |
Próximo a 0 |
0.154 |
|
RMSEA |
< 0,05 |
0.000 |
|
CFI |
≥ .95 |
1,00 |
La información cuantitativa resumida en el Gráfico VII puede complementarse con la que se recoge en la Tabla V. En ella se distinguen los efectos causales y no causales (espurios); y, entre los causales, se diferencian los directos de los indirectos.
TABLA V. Descomposición de los efectos de las relaciones en no causales (espurios) y causales; y los causales, en directos e indirectos.
|
Relación bivariada |
ISEC -> REP |
ISEC-> GRD |
REP->GRD |
|
A. Covariación original (rij)* |
-0,25 |
0,08 |
-0,86 |
|
B. Efectos causales |
-0,25 |
0,32 |
-0,82 |
|
Directos |
-0,25 |
0,12 |
-0,82 |
|
Indirectos |
0 |
0,20 |
0 |
|
C. Efectos no causales (A-B) |
0 |
0 |
-0,04 |
* rij corresponde al coeficiente de correlación -múltiple en el caso GRD= f (REP, ISEC)-
En relación con los efectos espurios, derivados del hecho de que dos variables están correlacionadas ambas con una tercera, la Tabla V nos indica que dicho efecto no causal entre las variables REP y GRD, ambas correlacionadas con ISEC, es en este caso pequeño (-0,04) según nuestro modelo. En cuanto a los efectos totales de ISEC sobre GRD son la suma de los directos (0,12) y de los indirectos (-0,25 x -0,82= 0,20) en los cuales el efecto notable de la repetición (REP) sobre la graduación (GRD) aporta una contribución singular (véase el diagrama de caminos del Gráfico VII).
Discusión y conclusiones
Los cuatro objetivos de investigación más arriba formulados han sido razonablemente cubiertos por los procedimientos de análisis, tal y como ha quedado reflejado en los resultados obtenidos. Pero, en este apartado de discusión, merece la pena detenerse en sus dos aspectos más relevantes: la asociación entre nivel socioeconómico y cultural y tasa de repetición, y el valor predictivo de la repetición con respecto a la graduación en la Educación Secundaria Obligatoria (ESO).
Carabaña (2013) ha vinculado empíricamente la repetición con el nivel de estudios de los padres; y en la misma línea García-Pérez et al. (2014) han establecido que “el número de repetidores es mayor entre los estudiantes con padres con un nivel educativo bajo” (p. 1377). Más recientemente, Choi et al. (2018), mediante un modelo logístico multivariado, han aportado un coeficiente de asociación entre repetición de curso, medido en PISA 2012, y nivel socioeconómico y cultural (ISEC) de -0,639, con un valor para la intensidad de dicha asociación de 0,527 medida por el correspondiente odd ratio (Choi et al., 2018). En el presente trabajo, el coeficiente de correlación R obtenido a partir del análisis de regresión lineal entre el ISEC de los alumnos y la tasa de repetición (REP), medida a partir de la de idoneidad (tomando como base de análisis las 17 comunidades autónomas) ha resultado ser de -0,82, con un coeficiente de determinación de 0,67. Aunque de menor magnitud (-0,25) el correspondiente coeficiente de camino de nuestro path analysis se alinea con esa misma idea. Hay pues una consistencia en el sentido de los resultados de investigaciones diferentes, a pesar de haber empleado técnicas de análisis e indicadores de rendimiento distintos, lo que advierte sobre el hecho de que la repetición escolar es un fenómeno que afecta preferentemente a los alumnos socialmente desaventajados.
Aun cuando la investigación en España del fenómeno de la repetición de curso es relativamente reciente y, por tanto, menos abundante que la de los Estados Unidos de América, la práctica totalidad de los estudios disponibles arrojan resultados que se alinean con la obtención de una asociación negativa entre repetición y resultados escolares. Esta circunstancia lleva con bastante frecuencia a sus autores a recomendar la supresión de la repetición de curso e incluso a decantarse por la promoción automática. Nuestros anteriores resultados empíricos obtenidos a este respecto apuntan, asimismo, a un impacto negativo de la repetición de curso a los 15 años sobre el rendimiento escolar posterior, medido por la tasa de graduación en la ESO, en particular los del path analysis. Si bien es cierto que, como se ha señalado más arriba, la totalidad de nuestros análisis reposan en datos no referidos a sujetos individualmente considerados, sino agrupados por territorios, sus resultados presentan de nuevo una estimable coincidencia con los de otros estudios que han recurrido a ese nivel más fino de análisis.
Así, por ejemplo, la Tabla VI muestra los coeficientes de correlación parcial entre la repetición escolar, medido por PISA 2015 a partir de su cuestionario de alumnos, y el rendimiento en Ciencias, para España y para la OCDE, a efectos de comparación. Asimismo, se presentan los coeficientes de correlación parcial entre ISEC y rendimiento.
TABLA VI. Coeficientes de correlación con el rendimiento en Ciencias de la repetición escolar de los alumnos y de su nivel socioeconómico y cultural para España y para la OCDE. PISA 2015
|
Repetición vs. rendimiento |
ISEC vs. rendimiento |
|
|
r(x100) d. e. |
r(x100) d. e. |
|
|
España |
-83,8 3,0 |
7,8 1,0 |
|
OCDE |
-49,3 0,6 |
16,2 0,2 |
Fuente: PISA 2015 Results (Volume II): Policies and Practices for Successful Schools. OECD 2016. Annex B1.7 Results (tables): What PISA results imply for policy. Table II.7.1 y Figure II.7.2 Factors associated with science performance.
A pesar de que tanto la medida de la repetición como la del rendimiento se han efectuado mediante procedimientos diferentes (los nuestros a partir de las estadísticas administrativas censales y los de la OCDE a través de los cuestionarios y de las pruebas de Ciencias muestrales de la edición 2015 de PISA), el orden de magnitud de los resultados obtenidos es similar. Este hecho no solo converge con nuestros datos, sino que permite efectuar una comparación que advierte de un comportamiento anómalo por parte de España. Como limitación debemos advertir posibles problemas de comparabilidad, así como las inherentes a las técnicas de análisis de datos empleadas.
Junto con el carácter negativo del impacto, la notable intensidad de la relación entre repetición y rendimiento que presenta el caso español podría estar denunciando una falta de consistencia o de efectividad de los mecanismos de compensación educativa que se aplican en nuestro país sobre los alumnos repetidores.
En el contexto del presente estudio, resulta de interés complementar la aproximación cuantitativa con los resultados de un estudio cualitativo sobre la repetición de curso, promovido por el Consejo Escolar de la Comunidad Foral de Navarra (Artruch Garde et al., 2015). De las conclusiones del estudio (Artruch Garde et al., 2015) cabe subrayar el hecho de que tanto los alumnos como los profesores consideran que “la repetición es una medida útil, a menos que haya otra alternativa para atender a los estudiantes que no van bien en los estudios”, si bien los profesores matizan que según, sean las características de los alumnos, “la medida puede servir o no”. Entre las ventajas de la repetición en las que coinciden profesores y alumnos, el informe destaca: “el alumnado puede recibir más ayuda, se pueden hacer nuevos amigos, ayuda a entender mejor las asignaturas y también puede ser una oportunidad para reflexionar y cambiar el modo de comportarse” (p.42). Entre los inconvenientes, tanto profesores como alumnos señalan: “la pérdida de amigos por no continuar con el grupo de referencia; también reconocen la sensación inicial de fracaso y baja autoestima, y el hecho de tener posibles problemas familiares (comparación con hermanos, discusiones por el estudio, etc.), o ser menos valorado por algunos compañeros”. En resumen, los resultados de este estudio exploratorio se inclinan hacia un apoyo matizado a la repetición de curso, en ausencia de otra alternativa de tratamiento educativo.
A la vista de todo lo anterior, de los antecedentes internacionales, de los posicionamientos derivados de los estudios nacionales, de nuestros propios resultados y de las opiniones coincidentes de profesores y de alumnos derivadas del estudio cualitativo del Consejo Escolar de Navarra, la posición que emerge del presente estudio es la de una solución ecléctica que no rechaza de plano la repetición pero la complementa con un adecuado tratamiento educativo, de carácter compensatorio, alineado con el modelo transaccional de desarrollo; concepción que postula que son las características particulares de la escuela, de la familia y del individuo las que, por influir en las trayectorias de desarrollo y de rendimiento del niño, le abocan, con una mayor probabilidad, hacia el fenómeno de la repetición (Jimerson,1999; 2001).
Llegados a este punto, los objetivos de esta investigación se entremezclan para apelar a los mecanismos de mejora en la implementación de las políticas de compensación educativa como una franca necesidad de nuestro sistema educativo. De los resultados cuantitativos del presente estudio, iluminados por nuestra experiencia personal con centros públicos que escolarizan, sobre todo, a población en desventaja (López Rupérez, 2008), parece inferirse que las políticas compensatorias que, de conformidad con la normativa vigente, se aplican de un modo generalizado en el sistema escolar español, podrían estar siendo poco efectivas. Esa era la opinión de diferentes directoras de colegios públicos que participaron activamente en el Plan de Centros Públicos Prioritarios de la Comunidad de Madrid (López Rupérez, 2008); y esa es también la conclusión principal por la que nos inclinamos, sobre la base de nuestros resultados empíricos: en particular, la muy notable extensión en términos comparados del fenómeno de la repetición de curso en España, y la muy intensa correlación negativa que muestra la repetición con el éxito escolar. El primer hecho se atemperaría, lo que no se observa, si los procedimientos de compensación educativa, en general, estuvieran funcionando preventivamente de un modo eficaz. El segundo reduciría su impacto, lo que en términos comparados internacionalmente tampoco se aprecia, si los alumnos repetidores fueran tratados, de un modo suficientemente personalizado y eficaz, en orden a cubrir sus deficiencias escolares. Ambos tipos de actuaciones, de prevención y de remediación respectivamente, y en particular la primera, asumen las implicaciones que se derivan del modelo transaccional de desarrollo y de sus mecanismos subyacentes (Jimerson,1999; 2001). La reciente investigación de Arroyo Resino et al. (2019) que concluye que la probabilidad de repetir se asocia más con variables de procesos, tales como tiempo de aprendizaje y currículum, refuerza la necesidad de centrar la atención en los mecanismos específicos de compensación educativa en el ámbito escolar y en su grado de eficacia.
Los anteriores razonamientos hacen bueno el juicio convergente de profesores y de alumnos que emerge del estudio cualitativo del Consejo Escolar de Navarra (Artruch Garde, González Felipe, Pascual Asura y Sanz Moreno, 2015) y que, a la postre, pone en cuestión una política de promoción automática como fórmula milagrosa para cubrir, por si sola, las deficiencias y los retrasos de los alumnos en desventaja: “la repetición es una medida útil, a menos que haya otra alternativa para atender a los estudiantes que no van bien en los estudios” (p.42).
Una evaluación amplia y rigurosa del impacto de las políticas de compensación educativa actualmente vigentes en España sería imprescindible, después de casi un cuarto de siglo de que se iniciara su normativización. Ello permitiría una reconceptualización del modelo con el fin de hacer más efectivas las intervenciones de prevención que mejorarían los resultados de los alumnos en desventaja y reducirían, además, las muy elevadas cifras de nuestras tasas de repetición.
En lo que concierne a la repetición propiamente dicha, el desarrollo de políticas efectivas de remediación, al estilo de las desarrolladas por el Estado de Florida en los EE.UU. (Schwerdt y West, 2012) que permiten la identificación de los alumnos en riesgo y desarrollan actuaciones de seguimiento, apoyo, refuerzo, clases en verano, etc., dirigidas específicamente sobre los alumnos repetidores, complementarían las de prevención.
Antecedentes como los del programa PROA del Estado (Manzanares Moya y Ulla Díez. (2012), o del Plan de Centros Públicos Prioritarios de la Comunidad de Madrid (López Rupérez, 2008), deberían ser recuperados, perfeccionados en su seguimiento y concepción, mantenidos ampliamente en el tiempo y orientados hacia la mejora de los resultados de los alumnos desaventajados, así como hacia la reducción, por esa vía, de la repetición escolar.
Referencias bibliográficas
Aron, A. y Aron, E. (2001). Estadística para Psicología. Buenos Aires: Pearson Education.
Arroyo Resino, D., Constante Amores, I. A. y Asensio Muñoz, I. (2019). La repetición de curso a debate: un estudio empírico a partir de PISA 2015. Educación XX1, 22(2), 69-92, doi: 10.5944/ educXX1.22479
Artuch Garde, R., González Felipe, P., Pascual Asura, A. y Sanz Moreno, A. (2015). Idoneidad y repetición en el sistema educativo en Navarra. Pamplona: Consejo Escolar de Navarra. Recuperado de https://consejoescolar.educacion.navarra.es/web1/wp-content/uploads/2015/12/Monografía-Idoneidad-y-repitición.pdf
Batista Foguet, J. M. B. y Gallart, G. C. (2000). Modelos de Ecuaciones Estructurales. Madrid: La Muralla.
Babcock, B. y Bedard, K. (2011). The wages of failure: new evidence on school retention and long-run outcomes. Education Finance and Policy, 293-322. Recuperado de: https://www.researchgate.net/publication/237415744_The_Wages_of_Failure_New_Evidence_on_School_Retention_and_Long-Run_Outcomes
Blalock, H.M. (1988). Estadística social. México D.F.: Fondo de Cultura Económica.
Brophy, J. (2006). Grade Repetition. Education Policy Series nº 6. IAE-IIEP/UNESCO. Recuperado de http//: www.unesco.org/ieps
Bryman, A. y Cramer, D. (1994). Quantitative data analysis for social scientists. New York: Routledge.
Carabaña, J. (2013). Repetición de curso y puntuaciones PISA ¿Cuál causa cuál?. En PISA 2012. Informe español. Volumen II: Análisis secundario. Madrid: INEE-MECD. Recuperado de https://www.educacionyfp.gob.es/inee/dam/jcr:67c216ff-0c79-4e81-9d2f-753916747c4d/pisa2012lineavolumenii.pdf
Choi, A., Gil, M., Mediavilla, M. y Valbuena, J. (2018). Predictors and effects of Grade Repetition. Revista de economía mundial, 48, 21-42.
Cordero Ferrera, J. M., Crespo Cebada, E. y Pedraja Chaparro, F. (2013). Rendimiento educativo y determinantes según PISA: una revisión de la literatura en España. Revista de Educación, 362. 273-297. DOI: 10.4438/1988-592X-RE-2011-362-161Recuperado de: https://www.educacionyfp.gob.es/dctm/revista-de-educacion/articulosre362/re36210.pdf?documentId=0901e72b816fbab8
Dawson, P. (1998). A primer on student grade retention: What the research says. Communiqué, 26, 28-30.
Eide, E. y Showalter, M. (2001). The effect of grade retention on educational and labor market outcomes. Economics of Education Review, 20(6), 563-576
García-Pérez, J., Hidalgo, M. y Robles, J. (2014). Does Grade Retention Affect Students’ Achievement? Some evidence from Spain. Applied Economics, 46(12), 1373-1392. DOI: 10.1080/00036846.2013.872761
Ikeda, M. y García, E. (2014). Grade repetition: A comparative study of academic and non-academic consequences. OECD Journal: Economic Studies, 1. Recuperado de http://dx.doi.org/10.1787/eco_studies-2013-5k3w65mx3hnx
Jackson, G. (1975). The research evidence on the effects of grade retention. Review of Educational Research, 45, 613-635.
Jacob, B.A. y Lefgren, L. (2004). Remedial Education and Student Achievement: A Regression discontinuity Analysis. Review of Economics and Statistics, 86(1), 226-244.
Jacob, B.A. y L. Lefgren, L. (2009). The Effect of Grade Retention on High School Completion. American Economic Journal: Applied Economics,1(3), 33-58.
Jimerson, S. R. (1999). On the failure of failure: Examining the association of early grade retention and late adolescent education and employment outcomes. Journal of School Psychology, 37, 243-272.
Jimerson, S. R. (2001). Meta-analysis of grade retention research: New directions for practice in the 21st century. School Psychology Review, 30, 420-437.
Jimerson, S.R., Anderson, G.E. y Whipple, A.D. (2002). Winning the battle and losing the war: examining the relation between grade retention and dropping out of high school. Psychology in the Schools, 39(4), 441-457.
Jimerson, S.R., Ferguson, P., Whipple, A.D., Anderson, G.E. y Dalton, M.J. (2002). Exploring the Association Between Grade Retention and Dropout: A Longitudinal Study Examining Socio-Emotional, Behavioral, and Achievement Characteristics of Retained Students. The California School Psychologist, 7, 51-62
Kim, J.O. y Kohout, F.J. (1988). Special topics in general linear models. En Statistical Package for the Social Sciences. Nie, N.H. et al. New York: McGraw- Hill.
López Rupérez, F. (2008). La Educación Pública Prioritaria de la Comunidad de Madrid y el reto de la integración de la población socialmente desfavorecida. En Políticas educativas para la cohesión social (pp. 319-352). Madrid: Fundación Europea Sociedad y Educación & Comunidad de Madrid. Consejería de Educación.
Manacorda, M. (2012). The Cost of Grade Retention. Review of Economics and Statistics, 94(2), 596-606.
Manzanares Moya, A. y Ulla Díez, S. (2012). La evaluación estatal del Plan de Refuerzo, Orientación y Apoyo (PROA). Análisis tras seis años de evaluación continuada. Revista de Educación, número extraordinario, 89-116. DOI: 10.4438/1988-592X-RE-2012-EXT-208. Recuperado de: https://sede.educacion.gob.es/publiventa/descarga.action?f_codigo_agc=15508
MEyFP, Ministerio de Educación y Formación Profesional (2019). Sistema estatal de indicadores de la educación 2019. Recuperado de http://www.educacionyfp.gob.es/dam/jcr:627dc544-8413-4df1-ae46-558237bf6829/seie-2019.pdf
MEyFP, Ministerio de Educación y Formación Profesional (2020). Las cifras de la educación en España. Curso 2017-2018. Recuperado de https://www.educacionyfp.gob.es/servicios-al-ciudadano/estadisticas/indicadores-publicaciones-sintesis/cifras-educacion-espana/2017-18.html
Murnane, R.J. y Willett, J.B. (2011). Methods Matter: Improving Causal Inference in Educational and Social Science Research. New York: Oxford University Press.
OECD (2016). PISA 2015 Results (Volume II): Policies and Practices for Successful Schools. Paris: OECD Publishing.
OECD (2019). PISA 2018 Results (Volume I): What Students Know and Can Do. PISA. Paris: OECD Publishing. Recuperado de https://doi.org/10.1787/5f07c754-en.
Pérez, E., Medrano, L. A. y Sánchez Rosas, J. (2013). El Path Analysis: conceptos básicos y ejemplos de aplicación. Revista Argentina de Ciencias del Comportamiento, 5(1), 52-66.
Rumberger, R.W. y Lim, S.A. (2008). Why Students Drop Out of School: A Review of 25 Years of Research. Santa Barbara, CA: California Dropout Research Project. Recuperado de http://cdrp.ucsb.edu/dropouts/pubs_reports.htm#15.
Schwerdt, G. y West, M. (2012). Effects of Early Grade Retention on Student Outcomes over Time: Regression Discontinuity Evidence from Florida. Program on Education Policy and Governance Working Papers Series. PEPG 12-09. Harvard Kennedy School.
Thompson, C. y Cunningham, E. (2000). Retention and Social Promotion: Research and Implications for Policy. ERIC Digest No. 161, New York: ERIC Clearinghouse on Urban Education, Teachers College, Columbia University
West, M.R. (2012). Is Retaining Students in the Early Grades Self-Defeating?. CCF Brief# 49. Washington: Center on Children and Families at Brookings.
Xia, N. y Kirby, S.N. (2009). Retaining Students in Grade: A Literature Review of the Effects of Retention on Students’ Academic and Nonacademic Outcomes. RAND Technical Report. Recuperado de www.rand.org/content/dam/rand/pubs/technical_reports/2009/RAND_TR678.pdf.
Información de contacto: Francisco López Rupérez. Universidad Camilo José Cela. Facultad de Educación. Cátedra de Políticas Educativas.C/ Castillo de Alarcón, 49, Urb. Villafranca del Castillo, 28692 Villanueva de la Cañada. E-mail: flopezr@ucjc.edu
1(1) El cálculo se basa en tomar como gasto por alumno el correspondiente a instituciones educativas públicas y privadas en euros (PPS) para el conjunto de la educación obligatoria (5.837 euros PPS) (ME y FP, 2019; p.67).
2(2) Las anomalías producidas en la medida del rendimiento en competencia lectora para España, en la edición de 2018 de PISA, ha hecho que este tipo de datos no esté disponible.
3 Se mide para las edades que marcan el inicio de los ciclos segundo y tercero de la Educación Primaria (8 y 10 años), para la edad teórica de comienzo de la ESO (12 años) y para las asociadas a los dos últimos cursos de esta etapa (14 y 15 años).