https://doi.org/10.4438/1988-592X-RE-2025-407-658
Bruno Blanco-Varela
https://orcid.org/0000-0001-5319-6578
Universidade de Santiago de Compostela
Jose Manuel Amoedo
https://orcid.org/0000-0002-9459-6030
Universidade de Santiago de Compostela
Abstract
The profile of repeating students is frequently addressed in the literature. However, the existing knowledge about the effects of grade repetition remains very limited. It is generally assumed that the effects of grade repetition are homogeneous for different students, without considering that the individual characteristics of the student and their socioeconomic and cultural environment may condition them. In this article, we challenge the homogeneity of the effects of grade repetition through a study of the effects of grade repetition on students in Spanish secondary education. Specifically, using data provided by PISA in its 2018 edition, we employ Propensity Score Matching to estimate the effects of grade repetition for students according to their gender, socioeconomic and cultural level, type of school ownership, and origin. The results indicate that the impact is generally negative and significant, but it affects women, immigrants, students from more vulnerable socioeconomic and cultural backgrounds, and those from public schools to a greater extent. These results highlight the heterogeneous nature of the effects of grade repetition and point to the need to delve into the reasons that lead to this heterogeneity. These results highlight the need to consider these factors when making decisions on how and to what extent to implement grade repetition.
Keywords: grade repetition, equal education, educational policy, socioeconomic status, sex fairness, academic achievement.
Resumen
El perfil de los estudiantes repetidores es abordado en la literatura. Sin embargo, el conocimiento existente sobre los efectos de la repetición escolar sigue siendo muy limitado. En general, se asume que los efectos de la repetición escolar son homogéneos para el conjunto de los estudiantes, sin tener en cuenta como influyen sus características individuales y su entorno socioeconómico y cultural. En este artículo cuestionamos la homogeneidad de los efectos de la repetición escolar a través de un estudio de los efectos de la repetición escolar en los estudiantes de la educación secundaria en España. Concretamente, a partir de los datos proporcionados por la edición PISA 2018, empleamos el Propensity Score Matching para estimar los efectos del agrupamiento escolar para los estudiantes según su sexo, el nivel socioeconómico y cultural, la titularidad del centro y su procedencia geográfica. Los resultados indican que el impacto de la repetición es, en general, negativo y significativo, pero este incide en mayor medida en las mujeres, los inmigrantes, los estudiantes de entornos socioeconómicos y culturales más vulnerables y en las escuelas públicas. Estos resultados resaltan el carácter heterogéneo de los efectos de la repetición escolar y señalan la necesidad de profundizar en las razones que conducen a esta heterogeneidad. Además, se subraya la necesidad de tenerlos en cuenta a la hora de tomar las decisiones sobre cómo y en qué medida aplicar la repetición escolar.
Palabras clave: repetición de curso, igualdad educativa, política educativa, estatus socioeconómico, diferencia de sexo, logro académico.
The option of repeating a course is presented as a second opportunity for students to reach the required level of skills and knowledge of their respective grade. Although this practice has been the topic of numerous studies, it has been observed that it has adverse and detrimental effects for students who must repeat. This could limit the achievement of Sustainable Development Goal 4 (Quality Education). Most existing research has focused on assessing the likelihood and circumstances of repetition and identifying the groups most affected by the practice (Valbuena et al., 2021; Goos et al., 2021). However, there are scarce studies that specifically investigate the academic harm that this practice can cause to students.
The aim of this paper is to study the effects of grade repetition on academic performance according to the social, economic, and cultural student profile to determine if the effects of this policy on students are heterogeneous. Specifically, in this paper the effects of grade repetition are estimated, firstly, for the entire student group (disregarding their characteristics) and, after, according to their social, economic, and cultural status, their sex, the school ownership and their origin.
In contrast to conventional research that mainly investigates the factors leading to grade repetition, this paper delves into the outcomes of retention by examining its varied impacts on students. This approach offers essential insights into the complex results of grade retention policies, highlighting the complex relationship between educational interventions and student economic and demographic profile. In this way, the study emphasizes the critical need for educational policies that are not only accountable to the causes of grade repetition but also sensitive of its heterogeneous effects on different student groups.
The database used is PISA, compiled by the OECD every three years, where the efficiency and equity of the educational systems of participating countries are evaluated. Then, the Propensity Score Matching (PSM) method is employed to assess the effect of school repetition on achievement level. PSM is used to ensure that the groups are comparable and that differences in outcomes can be attributed to the relevant variable, which is the retention grade.
The structure of this paper consists of six sections, including this introduction. The second section addresses the literature review, which includes the effects of repetition on performance, the profile of students more tending to repeat, what implications it has on other school outcomes, and the relevance of school repetition in Spain. The third section presents the PISA database, the variables for the analysis, and the PSM methodology. In the fourth section, the results of the incidence of school repetition are shown to analyse how it harms students based on their profile. The fifth section provides a discussion of the results and their possible causes. Finally, the main conclusions and recommendations of this research are detailed.
According to the OECD (2020), grade repetition involves requiring students to remain in the same grade for an additional year, instead of moving on to the next grade along with their peers of the same age. This practice is generally applied to students who underperform academically. Similarly, Jackson (1975) defines course repetition as the decision to retain students with unsatisfactory academic performance in the same grade level for at least one more year, rather than promoting them to a higher level.
The main objective of grade repetition is to provide students with a ‘second chance’ to acquire and develop the necessary knowledge and competences for their grade level. The purpose of this educational practice is to improve learning and the acquisition of student competencies and, therefore, its evaluation has been a relevant focus in the literature. The study of grade repetition effectiveness has generated considerable attention in the academic literature. Many studies, through systematic reviews and meta-analyses, have analysed the impact of this educational policy. Among the most noteworthy is the revision of Goos et al., (2021) who, after rigorously analysing 84 studies, deduced that the overall effect of course retention is essentially neutral. This finding suggests that, on average, the development of students who repeat a course is comparable to that of those who do not, although with notable variations. Approximately 35% of the observed effects were significantly negative, 41% showed no significant impact, and 24% were significantly positive. In contrast, Jimerson (2001) presents a meta-analysis with a different view, revealing that grade retention does not improve either academic performance or socioemotional well-being. It has also been observed that students who repeat generally perform worse than their peers who progress without repeating. Furthermore, Valbuena et al. (2021) conclude that the predominant literature on grade repetition points mainly to adverse effects, which raises the question of the effectiveness of this policy as an educational policy.
Other studies have closely examined the relationship between grade repetition and achievement levels. It has been observed that students who repeat grades perform significantly worse compared to those who do not (Choi et al., 2018; Urbano & Álvarez, 2019; Cabus & Ariës, 2016; Fernández-Alonso et al., 2022; Márquez, 2016; Silberglitt et al., 2006), even losing the equivalent of one year of performance (Manacorda, 2012). On the other hand, studies such as those of Reschly & Christenson (2013) find null effects, while Greene & Winters (2007) find positive results in the performance of students who were retained. Cockx et al. (2019) make a difference that in the short term the effect of repetition is neutral but has adverse effects on educational outcomes in the long term.
Identifying factors and risks is a key aspect of grade repetition, some of which are beyond the school environment, according to the literature. The OECD (2014) highlights the importance of family context in grade repetition. Given two similar academic performance, students from vulnerable backgrounds are 1.5 times more likely to repeat a grade than those from more privileged backgrounds across the OECD. In Spain, the focus of our analysis, this probability is almost four times higher. Various studies, such as those by Cabrera (2019), Cordero et al. (2014), García-Pérez et al. (2014), Benito (2007), Choi et al. (2018), López-Rupérez et al. (2021), Özek (2015) and Tingle et al. (2012) emphasize factors like economic vulnerability, immigrant status, lack of kindergarten education, family structure, absence of books at home, being male, and technology usage as significant determinants of grade repetition. Rizo-Areas & Hernández-García (2019) and Carabaña (2009; 2013) also point out younger relative age compared to peers, while Méndez & Cerezo (2018) add the school ownership of the educational institution as a factor in the likelihood of repeating a grade.
Socio-economic status plays an important role in the lives of children and their families, influencing access to educational resources, advanced and higher education (Hunt & Seiver, 2017). Family support need not necessarily manifest itself as direct help but can also come in the form of supplemental tutoring and external reinforcement outside of school. Indeed, the study by Cabus & Arïes (2016) finds that greater parental involvement (more help and attention at home for studying and homework) correlates with lower academic performance.
Other studies offer alternative perspectives on the risks of grade repetition, such as Arroyo et al. (2019). In their analysis, the probability of repeating a grade is associated with variables related to learning processes and the curriculum rather than to the student’s background. The authors identify educational aspirations and having studied science in the previous year as key predictors of grade repetition, considering them pedagogically focused factors. However, educational aspirations cannot be considered just as a pedagogical factor, as highlighted Blanco-Varela et al. (2020). These aspirations are conditioned by the educational and socio-economic background of students, including parental education level, credit constraints, and information on the rate of educational return.
The implementation of the grade repetition policy has effects that extend beyond academic performance. The main consequences analysed in the literature include the impact on self-concept, school dropout rates, social cohesion, and costs for public finances.
First, there is research that has identified adverse effects of grade repetition on self-concept, motivation, and effort (Van Canegem et al, 2021; Urbano & Álvarez, 2019; Fernández-Alonso et al., 2022; Valbuena et al., 2021). These aspects have an impact on the educational and social development of students, as well as on their interpersonal relationships (Goos et al., 2021). Anxious, inattentive, and disruptive behaviors may also occur, according to Pagani et al. (2001). Shepard & Smith (1990) indicate that repetition is often perceived as punishment, leading to feelings of sadness and shame. Secondly, numerous studies have found a significant effect of grade repetition on school dropout rates (Ferreira, 2020; Ou & Reynolds, 2010; Cabrera, 2019; OECD, 2020; Rodríguez-Rodríguez & Batista-Espinosa, 2022) and lower rates of participation in post-secondary education (Manacorda, 2012).
Thirdly, the literature has emphasized the effects on social cohesion. On the one hand, a percentage of repeating students can disproportionately affect students from certain racial, and socio-economic backgrounds (Reschly & Christenson, 2013). On the other hand, when formulating public policies, implementation can have different impacts on the target group given the relevance of the demographic profile (Driessen & Merry, 2014; Redding & Carlo, 2023). This phenomenon suggests that retention can increase inequalities and not help students progress (Clark & Gibbs, 2023). Another negative effect on social cohesion is suggested by Van Canegem et al. (2022), whose results showed that retention in primary education was significantly associated with less respect for people from other cultures; and Pagani et al. (2001) suggest a higher tendency to engage in antisocial behavior.
The fourth relevant implication is that grade retention represents a costly measure, adding the expense of an extra year for every grade repeated (Fernández-Alonso et al., 2022; Pagani et al., 2001; Reschly & Christenson, 2013). Related to this, it is noteworthy that school repetition, as a predictor of dropout, can be associated with worse employment prospects, lower salaries, and more difficulties in finding a job (Eide & Showalter, 2001; Benito, 2007).
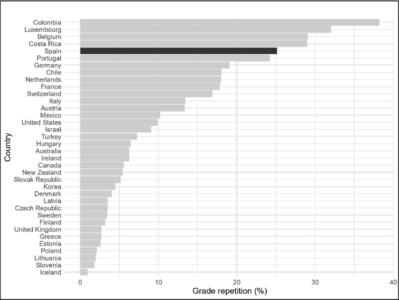
This study focuses on the analysis of the Spanish case, notable for its high rate of grade repetition within the OECD. Spain was ranked 5th in 2018 for having the highest rate of repeat students, surpassing 25% (Figure I). These rates of grade repetition significantly exceed the OECD average, posing a major challenge to the Spanish education system. The prevalent high repetition rate is often justified by a socially accepted belief in its benefits, as well as by a culture that supports this educational practice (Eurydice, 2011).
FIGURE I. Grade repetition rate in the OECD in 2018

Source: authors based on OECD (2019).
In Spain the decision to repeat a grade depends on the teachers and, secondly, on the family. Initially, this decision is predominantly influenced by factors internal to the school. This approach deliberately omits direct external socio-economic influences, ensuring equitable treatment without discrimination based on class, gender, or other social determinants. However, from an academic perspective, the decision to repeat a grade may also depend on socio-economic and cultural variables, since the performance of a student is strongly influenced by their socio-economic background (García-Pérez et al., 2014). In addition, social factors are directly affected and lead to disparities between different socioeconomic groups when family intervention is involved in the decision to repeat a grade.
Numerous studies have focused on analysing the Spanish context, studying the factors determining grade repetition or identifying the most affected groups (See, among others, Rodríguez-Izquierdo, 2022; Arroyo et al., 2019; Urbano & Álvarez, 2019; Cabrera, 2019; Fernández-Alonso et al., 2022; López-Rupérez et al., 2021; Choi et al., 2018). However, these studies have not paid attention to the cost of grade repetition in terms of performance according to the socio-economic and individual characteristics of the students. This gap in the literature is of interest since it allows for a greater analysis of whether repetition affects certain groups more and what consequences it has on educational inequality.
Grade repetition has been shown to have adverse consequences, negatively impacting retained students. Furthermore, research has primarily focused on analysing the likelihood of grade repetition and identifying vulnerable groups. However, there is limited evidence examining how this practice adversely affects students. This research goes beyond just identifying determinants and affected groups (incidence of negative effects) and delves into the intensity costs of the negative effects in academic performance according to student characteristics.
For this analysis, data from the Spanish schools and its students from PISA report database is utilized. The PISA report focuses on assessing the essential knowledge and skills of 15-year-old students in participating countries.
PISA collects one variable about the grade repetition of students (REPEAT). Being possible to know whether the students repeated some grade throughout their academic career. This dummy variable takes the value 1 if the student has repeated and 0 otherwise. Furthermore, PISA also gathers information about students features and their background, schools and assesses the competencies acquired by students. Based on the literature previously analysed, the following variables were selected: socio-economic status, gender, ownership of the school and origin (see Section 2). Table I shows the incidence of repetition within each of the groups analysed.
TABLE I. Presence of grade repetition by social group in Spain
|
Repeating students (%) |
Non-repeating students (%) |
|
Global |
25.15 |
74.85 |
|
Socio-economic status |
Low |
25.41 |
74.59 |
Middle |
24.89 |
75.11 | |
High |
25.15 |
74.85 | |
Sex |
Female |
20.99 |
79.01 |
Male |
29.35 |
70.65 | |
Ownership |
Public |
30.46 |
69.54 |
Private |
15.5 |
84.5 | |
Origin |
Native |
22.19 |
77.81 |
Immigrant |
46.87 |
53.13 | |
Note: Students with missing values in any of the relevant variables (including REPEAT) have been excluded from the sample.
Source: the authors.
To assess the impact of grade repetition the academic performance of repeating students must be compared with the academic performance of not repeating students. Nevertheless, given that these groups may show disparities in other factors that can influence academic performance, it becomes imperative to employ a methodology that can mitigate these disparities. Considering all factors that influence the student academic performance and/or that may influence the likelihood of grade repetition are considered relevant1 (Table II).
TABLE II. Variables used for conducting the matching
Dimension |
Variable |
Code |
Description |
Values |
Individual characteristics |
Age |
AGE |
Student age |
15,08 - 16,33 |
Sex |
SEX |
Student sex |
Female | |
Age at which formal education commenced |
PREPRIMARY |
Stage at which the students start his or her studies |
ISCED 01 | |
CHILDHOOD |
ISCED 02 | |||
PRIMARY |
ISCED 1 | |||
Nationality/origin |
IMMIG1 |
Student origin |
First-generation immigrant | |
IMMIG2 |
Second-generation immigrant | |||
NATIVE |
Native | |||
Socio-economic context |
Father studies |
EDUFATHER1 |
Level of education attained by the student father |
ISCED 1 & 2 |
EDUFATHER2 |
ISCED 3 & 4 | |||
EDUFATHER3 |
ISCED 5 | |||
EDUFATHER4 |
ISCED 6, 7, 8 & 9 | |||
Mother studies |
EDUMOTHER1 |
Level of education attained by the student mother |
ISCED 1 & 2 | |
EDUMOTHER2 |
ISCED 3 & 4 | |||
EDUMOTHER3 |
ISCED 5 | |||
EDUMOTHER4 |
ISCED 6, 7, 8 & 9 | |||
Social, economic, and cultural status |
ESCS |
Social, economic and cultural status index (ESCS) from the student |
-3,195 - 3.611 | |
Own desk |
OWNDESK |
Own desk in home |
Own desk | |
Own bedroom |
OWNBEDROOM |
Own bedroom in home |
Own bedroom | |
Own space |
OWNSPACE |
Own quiet study space in home |
Own study space | |
Individual access to learning resources |
Computer |
PC |
Disposable computer at home to study |
Computer |
Internet access |
INTERNET |
Internet access at home |
Internet | |
Books at home |
BOOKS1 |
Number of books in the student home |
< 10 books | |
BOOKS2 |
11-25 books | |||
BOOKS3 |
26-100 books | |||
BOOKS4 |
101-200 books | |||
BOOKS5 |
201-500 books | |||
BOOKS6 |
> 500 books | |||
School characteristics |
Discipline |
DISCLIMA |
Disciplinary climate in test language lessons in the school |
-4.747 |
Ability grouping |
ABGROUPING |
School uses Ability grouping |
Ability grouping | |
Region |
REGION |
City or autonomous community to which the school belongs |
Spanish NUTS 2 | |
School ownership |
CHARTER |
School ownership |
Charter | |
PUBLIC |
Public | |||
PRIVATE |
Private | |||
Municipality size |
MSIZE1 |
Number of inhabitants of the municipality in which the school is located |
< 3,000 inhabitants | |
MSIZE2 |
3,001-15,000 inhabitants | |||
MSIZE3 |
15,001-100,000 inhabitants | |||
MSIZE4 |
100,000-1M inhabitants | |||
MSIZE5 |
> 1M inhabitants | |||
Class size |
CLSIZE1 |
Average school class size |
< 15 students | |
CLSIZE2 |
16-20 students | |||
CLSIZE3 |
21-25 students | |||
CLSIZE4 |
36-30 students | |||
CLSIZE5 |
31-35 students | |||
CLSIZE6 |
36-40 students | |||
CLSIZE7 |
41-45 students | |||
CLSIZE8 |
46-50 students | |||
CLSIZE9 |
> 50 students | |||
Students by teacher ratio |
STRATIO |
Students by teacher ratio |
1-51,579 | |
School resources |
SCHRESOURCES1 |
School inadequate or poor-quality educational material |
A lot | |
SCHRESOURCES2 |
To some extent | |||
SCHRESOURCES3 |
Very little | |||
SCHRESOURCES4 |
Not at all | |||
Assisting staff lack |
SCHSTAFF1 |
Lack of assisting staff |
A lot | |
SCHSTAFF2 |
To some extent | |||
SCHSTAFF3 |
Very little | |||
SCHSTAFF4 |
Not at all | |||
Computers by student ratio |
PCRATIO |
Computers by student ratio |
0-25 | |
Academic performance |
Global performance |
GLOBALPERF |
Average of plausible values in Global Competency |
218.7 - 801.6 |
Science performance |
SCIENCEPERF |
Average of plausible values in Science |
193.7 - 767.9 | |
Reading performance |
READINGPERF |
Average of plausible values in Reading |
176.4 - 740.6 | |
Mathematics performance |
MATHPERF |
Average of plausible values in Mathematics |
185.4 - 733.0 |
Source: the authors.
To estimate the extent to which grade repetition affects students’ educational performance, it is necessary to control for the other characteristics that may condition it. For this purpose, PSM is used to estimate the effects of grade repetition (Rosenbaum & Rubin, 1983). This methodology is used by several Economics of Education articles to analyse if different educational policies improve the academic performance and educational equity (Blanco-Varela et al, 2024; Ou & Reynolds, 2010; Valbuena et al, 2021). PSM allows to obtain balanced treatment (grade repetition) and control (not grade repetition) groups to compare their results as the policy impacts. Specifically, in the present research different combinations of Nearest Neighbor Matching (NNM) and exact matching2 are applied, which allows for more accurate matches. The combination of both methodologies enables the selection of those variables where exact matching of individuals is most important (Stuart et al, 2011).
To obtain the best possible balancing to eliminate endogeneity problems, different ratios (1, 3, 5 and 10), distance “glm”, replacement and discard are used. Standardized bias and pseudo-R2, and graphical analysis are used to study and to test the balance, being selected the matching with the best balance. Specifically, five matching processes are elaborated (general, by status, by sex, by school ownership and by origin). For each case, the option that best balances the treatment and control groups was selected (Table III).
TABLE III. Matching balance measures
|
Matching option |
Standardized-bias |
Pseudo-R2 |
Treatment students |
Control students |
|||||
Before |
After |
Before |
After |
Before |
After |
Before |
After | |||
Global |
NNM 1:1 |
15.97% |
1.96% |
0.1709 |
0,0060 |
5,127 |
5,108 |
18,666 |
3,512 | |
Socio-economic status |
Low |
NNM 1:3 |
15.37% |
2.46% |
0.1727 |
0.0131 |
1,683 |
1,675 |
6,169 |
2,508 |
Middle |
NNM 1:3 |
15,58% |
1.95% |
0.1594 |
0.087 |
1,685 |
1,672 |
6,166 |
1,685 | |
High |
NNM 1:5 |
15.09% |
2.53% |
0.174 |
0.0167 |
1,759 |
1,748 |
6,331 |
3,426 | |
Sex |
Female |
NNM 1:3 |
16.12% |
2.06% |
0.1622 |
0.0078 |
2,260 |
2,253 |
10,124 |
3,623 |
Male |
NNM 1:5 |
15.69% |
1.79% |
0.172 |
0.0059 |
2,867 |
2,850 |
8,542 |
5,023 | |
Ownership |
Public |
NNM 1:3 |
11,24% |
1.99% |
0.1584 |
0.0075 |
3,975 |
3,950 |
11,211 |
5,474 |
Private |
NNM 1:3 |
17.52% |
2.77% |
0.1515 |
0.0134 |
1,152 |
1,140 |
7,455 |
2,032 | |
Origin |
Native |
NNM 1:3 |
15.84% |
1.69% |
0.1578 |
0.0041 |
4,133 |
4,127 |
17,299 |
6,517 |
Immigrant |
NNM 1:3 |
10.34% |
2.93% |
0.1151 |
0.0151 |
994 |
985 |
1,367 |
994 | |
Source: the authors.
The general matching allows to study the effect of grade repetition for the entire student cohort ignoring whether it has different academic effects based on the student’s profile. The matching by status allows to analyse if the grade repetition has heterogeneous effects according to the student “socio-economic profile”. Specifically, in this research the students are divided in three levels of socio-economic status (Low, Middle and High) according to the student ESCS. With the low-class composed of students with lower ESCS, the middle-class composed by the central 33% and the high-class composed by the top 33%. The matching by sex allows to analyse the grade repetition with a gender perspective to determinate it its impact differs between female and male students. The matching by school ownership allows to study whether the school context also influences the impact of the policy. Given that private institutions tend to have a more homogeneous student body with elevated socio-economic status than public institutions. Finally, the matching by origin allows to analyse whether the grade repetition impact differs between native and immigrant students.
Maintaining a strong balance between the treatment and control groups facilitates the assessment of the impact of grade repetition by directly calculating the difference between these two groups. In this way, the weighted means for the four performance variables (overall, mathematics, science and reading) is calculated, as well as the percentage difference between the two groups as the effect of the policy. In addition, a t-test is performed to check the statistical significance of these differences.
Grade repetition as an educational policy does not appear to enhance academic performance, as indicated by the literature reviewed in the second section. Specifically, the effects according to the socio-economic status, the sex, the origin, and the school ownership are analysed on performance in the three competences and on the overall performance. In this section the obtained results are presented starting with the overall analysis and then proceeding to the different groups.
Grade repetition exhibits negative effects on academic performance both globally and across the three knowledge areas: science, reading and mathematics. This is shown in the Figure II presented below and the detailed results are documented in Table A.1 of the Appendix.
FIGURE II. Global grade repetition effect by knowledge area

Note: *p<0.10, **p<0.05, ***p<0.01 and ****p<0.001.
Source: the authors.
Specifically, the results indicate a 15.23% reduction in overall academic performance, associated with grade repetition. The results also indicate a negative effect, exceeding the Global magnitude, in the different knowledge areas. The greatest decline occurs in Mathematics (-16.54%), followed by Reading (-15.63%), and, finally, Science (-15.56%). All these effects are statistically significant for the four levels of significance outlined in the table as previous studies have pointed out, missing part of the equivalent of an academic year (Manacorda, 2012; Choi et al., 2018). However, it is to be expected that these effects are not homogeneous across students with different characteristics. This aspect is analysed below and provides further evidence to the literature and the gap on ‘how school repetition harms’ based on the student’s profile. With this, we indicate that educational policies may have a differentiated academic effect depending on personal and family characteristics, with consequences for their educational opportunities.
Academic performance, as demonstrated by the literature reviewed in the section 2, is influenced, among other factors, by the familiar background (Özek, 2015). Generally, a socio-economic and cultural environment that supports learning and the student development, along with abundant and high-quality resources, has a positive effect. The Figure III presents the results obtained on this aspect andthe detailed results are documented in Table A.1 of the Appendix.
FIGURE III. Grade repetition effect by socio-economic and cultural status and knowledge area

Note: *p<0.10, **p<0.05, ***p<0.01 and ****p<0.001.
Source: the authors.
The results obtained show a negative effect —consistent with the global effect (Figure II)—for all three groups of students analysed: high, middle, and low class. These effects are of a similar magnitude (around a 15% decline). However, the effects are not homogeneous across the three groups. Specifically, the low class experiences a greater average decline in their academic performance, followed by the middle class. The differential between the decline in the lower class and the high class exceeds 1% for both overall performance and performance in the three knowledge areas analysed. This indicates a decidedly regressive effect of grade repetition that exacerbates pre-existing socio-economic inequalities.
Regarding the decline in academic performance by knowledge areas, it is noteworthy that there is a clear pattern for all three levels of socio-economic status. Specifically, the greatest decline occurs in mathematics, followed by reading and then science. While the difference between the latter two is clearly smaller than with the first.
A second aspect of great relevance when addressing the effects of grade repetition is whether it varies depending on the school ownership attended by the student. Following this is the fact that private schools often serve as a tool for school segregation (Garcia, 2008; Carabaña, 2023; Bonal & Bellei, 2018). They tend to select students with more advantaged socio-economic profiles, resulting in less heterogeneity among their student body compared to public schools (Murillo et al., 2018; Fernández-Llera & Muñiz-Pérez, 2012). Figure IV presents the results by school ownership (public-private) and knowledge area and the detailed results are documented in Table A.1 of the Appendix.
FIGURE IV. Grade repetition effect by school ownership and knowledge area

Note: *p<0.10, **p<0.05, ***p<0.01 and ****p<0.001.
Source: the authors.
Generally, the results indicate that grade repetition has a more significant negative impact on academic performance in public schools than in private ones. There is an exception in the case of science, where the decline is slightly higher for private schools, which translates to global performance. Regarding the distribution by knowledge areas, the results exhibit a similar pattern to the previous cases, with the greatest decline in mathematics compared to reading and science. It also states that the incidence of grade repetition is higher in public schools; this contributes to a greater detriment in performance. This phenomenon must be complemented with the previously indicated data (see Table 1): the incidence of grade repetition is higher in public schools, where it is more detrimental to academic performance.
Another relevant aspect to analyse is whether the effects of grade repetition differ by gender. This is important as the literature, in general, indicates different behaviours between male and female students in school. Figure V presents the results by gender (female-male) and knowledge area and the detailed results are documented in Table A.1 of the Appendix.
FIGURE V. Grade repetition effect by sex and knowledge area

Note: *p<0.10, **p<0.05, ***p<0.01 and ****p<0.001.
Source: the authors
The results indicate that females are more adversely affected by grade repetition, as the percentage decline in their performance is greater than that of males. Only in the case of reading do males fare worse, which is logical given that the average performance of females in this area tends to be higher than that of males. In this case, it should be noted that, although boys suffer a higher proportion of school repetition, girls experience a greater decline in their educational performance.
The last aspect to address is whether grade repetition affects native and immigrant students uniformly. This becomes highly relevant given the general negative handicap of coming from another country and the higher incidence of grade repetition among non-native students (Table I) (Murillo et al., 2017; Tingle et al., 2012). Figure VI presents the results by origin (native-immigrant) and knowledge area andthe detailed results are documented in Table A.1 of the Appendix.
FIGURE VI. Grade repetition effect by origin and knowledge area

Note: *p<0.10, **p<0.05, ***p<0.01 and ****p<0.001.
Source: the authors.
The results show that native students, i.e., those born in the country and children of natives, are more adversely affected by grade repetition. However, the effects are clearly negative for both groups. It is worth noting that the pre-existing difference in performance between the two groups may contribute to this greater decline.
As Jimerson (2001) emphasizes, despite the negative evidence, grade repetition policies persist, often due to political pressure and misguided belief in their efficacy. The purpose of this discussion is to clarify the complexities underlying the different effects of grade repetition across demographic groups, with particular attention to socio-economic status, school type, gender, and origin. The different results observed raise several critical questions of this policy that have not been addressed in the literature on how it harms repetition as a function of student characteristics.
The lower academic achievement of students from low socioeconomic backgrounds is reinforced by the lack of additional support available to their more privileged peers. To achieve effective educational equity, families with difficulties should receive after-school reinforcement programs (López-Rupérez et al., 2021; Shepard & Smith, 1990), or summer schooling or strengthening teachers’ human capital (Valbuena et al., 2021).
The decision and impact of repeating a course is influenced by the student’s environment. The student’s educational opportunities and potential are moderated by the expectations of the school (teachers and principals) and parents. Socio-economic status often serves as a protective buffer, reducing the severity of academic decline associated with grade repetition. Blanco-Varela (2022) highlights this by noting the inverse relationship between the likelihood of repeating a grade and the socio-economic status of the student body. Moreover, Moreno (2022) and Runte-Geidel (2014) point out lower performers in tutoring and private lessons to address academic difficulties. This suggests that students from less affluent backgrounds are at greater risk of repeating a grade.
At the same time, the type of school ownership deeply influences this equation. Private schools, characterized by lower repetition rates, typically offer students more comprehensive monitoring and support systems (Cuartero, 2023). The elevated expectations from parents and the advantages of a privileged learning context within these institutions further diminish the likelihood of grade repetition. This contrast is notable when compared to public schools, which, despite serving a broad range of academic needs and socio-economic backgrounds, often face resource limitations.
Other results of interest from a sociological point of view lie in the prejudice that school repetition implies for female students, making school repetition a “more punitive” measure. Analysing the reasons for this exceeds the scope of the present work, which presents an exploratory study on the degree of negative impact of school repetition on performance. However, this could be explained by modulating self-concept and social pressure, and by women being more susceptible to contextual circumstances (Eagly, 1983; Costa & Tabernero, 2012).
There’s a higher tendency to make foreign students repeat a year (as shown in Table 1). This could be because the current educational system may not effectively meet the needs of immigrant students, leading to longer periods in the educational system. This results in more heterogeneous, less linear school trajectories, as highlighted by Rodríguez-Izquierdo (2022).
The persistence of grade repetition policy, despite its documented shortcomings, underscores the critical need for policy reassessment. Educational equity requires targeted support, such as after-school programs and improved teacher training, to close the gaps in academic support. The decision to repeat grades is not just an academic issue but is deeply rooted in sociocultural contexts and affects students differently depending on their backgrounds. Understanding these complex dynamics is crucial to developing more effective and equitable educational strategies.
Grade repetition serves as an educational indicator, one that approximates the quality and evaluation of educational systems. Thus, repetition reflects deficiencies in the educational system, and high repetition rates usually indicate problems in the quality of teaching, the relevance of the curriculum or the efficiency of the pedagogical methodologies employed. It also has an impact on public resources, as it involves the repeated enrolment of students in a grade. It has psychosocial implications for students, as it affects their self-concept and attitude towards school.
The aim of this article is to examine the impact of grade repetition on academic performance in relation to students’ socio-economic, cultural, and gender profiles in Spain, that it is a country with a deep-rooted culture of grade repetition. The purpose is to determine if the effects of this educational policy vary among different student groups.
The study reveals that grade repetition leads to a significant reduction in academic performance in the areas analysed. This negative effect is consistent with previous research indicating the loss of almost one academic year due to grade repetition. The impact is not uniform across socio-economic groups; students from lower socio-economic backgrounds experience a more pronounced decline. In addition, the study finds that school ownership (public vs. private), particularly interesting in Spain, and student demographics (gender; and native vs. immigrant status) also influence the magnitude of academic regression due to grade repetition, with females and native students being the most adversely affected. This highlights the regressive nature of grade repetition, which reinforces existing socio-economic disparities and suggests that it has a “punitive” weight that disproportionately affects certain groups. This runs counter to the desirable goals of an education system and even to the achievement of the fourth SDG.
The study goes beyond identifying the most affected groups (males, immigrants, socio-economically vulnerable) to examine how the incidence of grade repetition varies in intensity across groups. This reveals systemic challenges in the education system and highlights how these policies can perpetuate inequalities. Focusing on the intensity of performance decline as a function of group characteristics allows for a better understanding of the broader implications of grade repetition in education.
The differential performance gap that grade repetition presents, especially for females, could have detrimental effects on their self-concept and their social and personal development, even though they are less likely to repeat grades than males. In addition, this practice is a greater handicap for immigrant students, who are more affected by both the incidence (percentage of students repeating a grade) and the intensity of performance gap. Thus, as the literature has shown, it generates problems of social cohesion and integration of students of different origins (Clark & Gibbs, 2023; Reschly & Christenson, 2013).
Despite the well-documented shortcomings of grade repetition policies, their persistence highlights a critical need for reassessment. These policies are not solely academic issues; they are deeply embedded within sociocultural contexts, impacting students differently based on their backgrounds. Educational equity demands targeted support measures, such as after-school programs and enhanced teacher training, to bridge the existing academic support gaps, again aligned with the fourth SDG. In addition, understanding the complex dynamics of these policies is critical to developing more effective and equitable education strategies. The study encourages a re-evaluation of these policies by considering their broader effects, including potential consequences such as dropout rates and negative self-concept. Given the diversity of student populations and the influence of socio-political and economic factors, future research should investigate more inclusive and context-sensitive alternatives to grade repetition, aiming to optimize the development of human potential across varied educational environments.
Arroyo, D., Constante, I. A., & Asensio, I. (2019). La repetición de curso a debate: un estudio empírico a partir de PISA 2015. Educación XX1, 22(2), 69-92. https://doi.org/10.5944/educXX1.22479
Benito, A. (2007). La LOE ante el fracaso, la repetición y el abandono escolar. Revista Iberoamericana de Educación, (43), 1-11. https://doi.org/10.35362/rie4372297
Blanco-Varela, B. (2022). Unha análise socioeconómica da vulnerabilidade en Galicia o camiño dende a escola até a inserción laboral [Unpublished PhD Thesis]. Universidade de Santiago de Compostela.
Blanco-Varela, B., Amoedo, J. M., & Sánchez-Carreira, M. C. (2024). Analysing ability grouping in secondary school: A way to improve academic performance and mitigate educational inequalities in Spain? International Journal of Educational Development, 107, 103028. https://doi.org/10.1016/j.ijedudev.2024.103028
Blanco-Varela, B., Sánchez-Carreira, M. C., & Mourão, P. R. (2020). Las aspiraciones educativas en Galicia bajo la influencia del territorio, el rendimiento y el perfil socioeconómico. Investigaciones Regionales= Journal of Regional Research, (47), 135-159.
Bonal, X., & Bellei, C. (2018). The renaissance of school segregation in a context of globalization. In X. Bonal, C. Bellei, X. Bonal, & C. Bellei (Eds.), Understanding School Segregation. Patterns, Causes and Consequences of Spatial Inequalities in Education (Primeira ed., pp. 1-35). Londres, Reino Unido: Bloomsbury Academic. Retrieved Novembro 26, 2018
Cabrera, L. (2019). Políticas educativas preventivas de la repetición de curso en la enseñanza obligatoria en España. Multidisciplinary Journal of Educational Research, 9(3), 227-257. https://doi.org/10.4471/remie.2019.4523
Cabus, S. J., & Ariës, R. J. (2016). What do parents teach their children? – The effects of parental involvement on student performance in Dutch compulsory education. Educational Review, 69(3), 285-302. https://doi.org/10.1080/00131911.2016.1208148
Carabaña, J. (2009). Las puntuaciones PISA predicen casi toda la repetición de curso a los 15 años en España. Revista de la Asociación de Sociología de la Educación, IV(III), 286-306.
Carabaña, J. (2013). Repetición de curso y puntuaciones PISA ¿cuál causa cuál? In OCDE, & F. P. Secretaría de Estado de Educación (Ed.), PISA 2012. Informe Español (Vol. II, pp. 32-66). Madrid: Ministerio de Educación, Cultura y Deporte.
Carabaña, J. (2023). La segregación social entre centros, un dudoso problema del sistema escolar. Madrid: Fundación Europea Sociedad y Educación.
Choi, Á., Gil, M., Mediavilla, M., & Valbuena, J. (2018). Predictors and effects of grade repetition. Revista de Economía Mundial, (48), 21-42. https://doi.org/10.33776/rem.v0i48.3882
Clark, M. G., & Gibbs, B. G. (2023). Retention and Educational Inequalities in the U.S. Educational Policy. https://doi.org/10.1177/08959048231209258
Cockx, B., Picchio, M., & Baert, S. (2019). Modeling the effects of grade retention in high school. Journal of Applied Economics, 34(3), 403-424. https://doi.org/10.1002/jae.2670
Cordero, J. M., Manchón, C., & Simancas, R. (2014). La repetición de curso y sus factores condicionantes en España. Revista de Educación, 365, 13-37.
Costa, S., & Tabernero, C. (2012). Rendimiento académico y autoconcepto e estudiantes de educación secundaria obligatoria según el género. Revista Iberoamericana de Psicología y Salud, 3(2), 175-193.
Cuartero, M. d. (2023). La segregación en la escuela concertada. Un análisis a través de las actividades complementarias. Eunomía. Revista en Cultura de la Legalidad, 24, 49-68. https://doi.org/10.20318/eunomia.2023.7655
Driessen, G., & Merry, M. S. (2014). Trends in educational disadvantage in Dutch primary school. Educational Review, 66(3), 276-292. https://doi.org/10.1080/00131911.2013.771146
Eagly, A. H. (1983). Gender and social influence: A social psychological analysis. American Psychologist, 38(9), 971–981. https://doi.org/10.1037/0003-066X.38.9.971
Eide, E. E., & Showalter, M. H. (2001). The effect of grade retention on educational and labor market outcomes. Economics of Education Review, (20), 563-576. https://doi.org/10.1016/S0272-7757(00)00041-8
Eurydice. (2011). La repetición de curso en la educación obligatoria en Europa: normativa y estadísticas. Bruselas: Ministerio de Educación. Secretaría de Estado de Educación y Formación Profesional.
Fernández-Alonso, R., Postigo, Á., García-Crespo, F. J., Govorova, E., & Ferrer, Á. (2022). Repetir no es aprender. Mitos desmentidos y alternativas posibles a una práctica ineficiente e inequitativa. Save the Children.
Fernández-Llera, R., & Muñiz-Pérez, M. (2012). Colegios concertados y selección de escuela en España: un círculo vicioso. (I. d. Fiscales, Ed.). Presupuesto y Gasto Público, (67), 97-118.
Ferreira, M. (2020). The effect of grade retention on secondary school dropout: Evidence from a natural experiment. Maastricht: Maastricht University, Graduate School of Business and Economics. GSBE Research Memoranda, 037. https://doi.org/10.26481/umagsb.2020037
García, D. R. (2008). The Impact of School Choice on Racial Segregation in Charter Schools. Educational Policy, 22(6), 805-829.
García-Pérez, J. I., Hidalgo-Hidalgo, M., & Robles-Zurita, J. A. (2014). Does grade retention affect students’ achievement? Some evidence from Spain. Applied Economics, 46(12), 1373-1392. https://doi.org/10.1080/00036846.2013.872761
Goos, M., Pipa, J., & Peixoto, F. (2021). Effectiveness of grade retention: A systematic review and meta-analysis. Educational Research Review, 34, 1-14. https://doi.org/10.1016/j.edurev.2021.100401
Greene, J. P., & Winters, M. A. (2007). Revisiting Grade Retention: An Evaluation of Florida’s Test-Based Promotion Policy. American Education Finance Association, 2(4), 319-340. https://doi.org/10.1162/edfp.2007.2.4.319
Hunt, C. S., & Seiver, M. (2017). Social class matters: class identities and discourses in educational contexts. Educational Review, 70(3), 342-357. https://doi.org/10.1080/00131911.2017.1316240
Jackson, G. B. (1975). The Research Evidence on the Effects of Grade Retention. Review of Educational Research, 45(4), 613-635.
Jimerson, S. R. (2001). Meta-analysis of Grade Retention Research: Implications for Practice in the 21st Century. School Psychology Review, 420-437. https://doi.org/10.1080/02796015.2001.12086124
López-Rupérez, F., García-García, I., & Expósito-Casas, E. (2021). La repetición de curso y la graduación en Educación Secundaria Obligatoria en España. Análisis empíricos y recomendaciones políticas. Revista de Educación, 394, 325-353. https://doi.org/10.4438/1988-592X-RE-2021-394-510
Manacorda, M. (2012). The cost of grade retention. The Review of Economics and Statistics, 94(2), 596-606. Retrieved from https://www.jstor.org/stable/23262090
Márquez, C. (2016). Factores asociados al fracaso escolar en la educación secundaria de Huelva. Revista Iberoamericana sobre Calidad, Eficacia y Cambio en Educación, 14(3), 131-144. https://doi.org/10.15366/reice2016.14.3.007
Méndez, I., & Cerezo, F. (2018). La repetición escolar en educación secundaria y factores de riesgo asociados. Educación XX1, 21(1), 41-62. https://doi.org/10.5944/educxx1.20172
Moreno, J. M. (2022). “Educación En la Sombra” en España: cómo las clases particulares se están convirtiendo en un bien de primera necesidad. EsadeEcPol – Center for Economic Policy.
Murillo, J., Belavi, G., & Pinilla, L. (2018). Segregación escolar público-privada en España. Papers, 103(3), 307-337.
Murillo, J., Marínez-Garrido, C., & Belavi, G. (2017). Segregación escolar por origen nacional en España. Revista de Ciencias Sociales, 12(2), 395-423. https://doi.org/10.14198/OBETS2017.12.2.04
OCDE. (2014). ¿Tienen más probabilidades de repetir curso los estudiantes más desfavorecidos? PISA in Focus, (43), 1-4.
OCDE. (2019). PISA 2018 Database. Retrieved from https://www.oecd.org/pisa/data/2018database/
OCDE. (2020). PISA 2018 Results (Volume V): Effective Policies, Successful Schools. Paris: OECD Publishing.
Ou, S.-R., & Reynolds, A. J. (2010). Grade Retention, Postsecondary Education, and Public Aid Receipt. Educational Evaluation and Policy Analysis, 118-139. https://doi.org/10.3102/0162373709354334
Özek, U. (2015). Hold Back To Move Forward? Early Grade Retention And Student Misbehavior. Education Finance and Policy, 10(3), 350-377. https://doi.org/10.1162/EDFP_a_00166
Pagani, L., Tremblay, R. E., Vitaro, F., Boulerice, B., & McDuff, P. (2001). Effects of grade retention on academic performance and behavioral development. Development and Psychopathology, 297-315. https://doi.org/10.1017/S0954579401002061
Redding, C., & Carlo, S. M. (2023). The Adoption of Test-Based Grade Retention Policies: An Event History Analysis. Educational Policy. https://doi.org/10.1177/08959048231174886
Reschly, A. L., & Christenson, S. L. (2013). Grade retention: Historical perspectives and new research. Journal of School Psychology, 51, 319-322. https://doi.org/10.1016/j.jsp.2013.05.002
Rizo-Areas, L. J., & Hernández-García, C. (2019). El fracaso y el abandono escolar prematuro: el gran reto del sistema educativo español. Papeles Salmantinos de educación, (23), 55-81. https://doi.org/10.36576/20uma.108387
Rodríguez-Izquierdo, R. (2022). Diversidad de trayectorias escolares de estudiantes inmigrantes. Revista Mexicana de Ciencias Políticas y Sociales, (246), 321-345. https://doi.org/10.22201/fcpys.2448492xe.2022.246.77587
Rodríguez-Rodríguez, D., & Batista-Espinosa, F. J. (2022). La repetición de curso en educación secundaria y su relación con variables motivacionales. Bordón, 74(2), 77-91. https://doi.org/10.13042/Bordon.2022.89778
Rosenbaum, P. R., & Rubin, D. B. (1983). The central role of the propensity score in observational studies for causal effects. Biometrika, 70(1), 41-55. https://doi.org/10.1093/biomet/70.1.41
Runte-Geidel, A. (2014). Clases particulares en España: implicaciones en las desigualdades educativas. Revista Iberoamericana de Educación, 64(2), 1-15. https://doi.org/10.35362/rie642367
Shepard, L. A., & Smith, M. L. (1990). Synthesis of Research on Grade Retention. Educational Leadership, 47, 84-88.
Silberglitt, B., Jimerson, S. R., Burns, M. K., & Appleton, J. J. (2006). Does the Timing of Grade Retention Make a Difference? Examining the Effects of Early Versus Later Retention. School Psychology Review, 35(1), 134-141. https://doi.org/10.1080/02796015.2006.12088007
Stuart, E. A., King, G., Imai, K., & Ho, D. (2011). MatchIt: nonparametric preprocessing for parametric causal inference. Journal of statistical software, 42(8) https://doi.org/10.18637/jss.v042.i08
Tingle, L. R., Schoeneberger, J., & Algozzine, B. (2012). Does Grade Retention Make a Difference? The Clearing House, 179-185. https://doi.org/10.1080/00098655.2012.679325
Urbano, A., & Álvarez, L. (2019). La repetición de curso en la adolescencia: influencia de variables sociofamiliares. Revista Educativa Hekademos, (27), 51-59.
Valbuena, J., Mediavilla, M., Choi, Á., & Gil, M. (2021). Effects of Grade Retention Policies: A Literature Review of Empirical Studies Applying Causal Inference. Journal of Economic Surveys, 35(2), 408–451. https://doi.org/10.1111/joes.12406
Van Canegem, T., Van Houtte, M., & Demanet, J. (2021). Grade retention and academic self-concept: A multilevel analysis of the effects of schools’ retention composition. British Educational Research Journal, 1340–1360. https://doi.org/10.1002/berj.3729
Van Canegem, T., Van Houtte, M., & Demanet, J. (2022). Grade retention, a pathway to solitude?A cross-national multilevel analysis towards the effects of being retained on sense of belonging. Comparative Education Review, 66(4), 664-687. https://doi.org/10.1086/721649
Contact information: Bruno Blanco Varela. Universidade de Santiago de Compostela. Campus Norte, Av. do Burgo das Nacións, s/n, 15782 Santiago de Compostela, A Coruña. E-mail: b.blanco.varela@usc.es
TABLE A.1. Detailed results about grade repetition effect on academic performance
|
Knowledge area |
Means |
Standard deviation |
Difference |
T-test |
|||
Treatment |
Control |
Treatment |
Control | |||||
Global |
Global |
449.63 |
530.42 |
69.56 |
74.60 |
-15.23% |
-50.8**** | |
Science |
424.12 |
502.26 |
64.87 |
69.26 |
-15.56% |
-52.8**** | ||
Reading |
415.00 |
491.90 |
71.20 |
75.23 |
-15.63% |
-47.6**** | ||
Mathematics |
419.37 |
502.48 |
61.85 |
64.61 |
-16.54% |
-59.7**** | ||
Socio-economic status |
Low |
Global |
448.62 |
532.79 |
69.29 |
75.57 |
-15.80% |
-37.74**** |
Science |
423.75 |
504.96 |
64.22 |
68.24 |
-16.08% |
-38.53**** | ||
Reading |
413.74 |
495.89 |
70.45 |
75.59 |
-16.57% |
-35.38**** | ||
Mathematics |
418.69 |
506.57 |
60.72 |
62.86 |
-17.35% |
-44.14**** | ||
Middle |
Global |
449.71 |
530.26 |
71.56 |
74.69 |
-15.19% |
-33.65**** | |
Science |
423.86 |
500.94 |
65.79 |
69.62 |
-15.39% |
-35.54**** | ||
Reading |
415.59 |
491.75 |
72.25 |
74.25 |
-15.49% |
-32.14**** | ||
Mathematics |
419.31 |
501.59 |
62.85 |
64.70 |
-16.40% |
-40.84**** | ||
High |
Global |
450.18 |
526.39 |
68.12 |
74.67 |
-14.48% |
-35.60**** | |
Science |
424.35 |
498.33 |
64.92 |
69.51 |
-14.85% |
-37.34**** | ||
Reading |
415.15 |
488.34 |
71.57 |
76.49 |
-14.99% |
-34.10**** | ||
Mathematics |
419.52 |
500.64 |
62.37 |
62.37 |
-16.20% |
-43.37**** | ||
Gender |
Female |
Global |
453.49 |
536.43 |
71.16 |
77.26 |
-15.46% |
-44.90**** |
Science |
415.52 |
492.81 |
66.27 |
71.92 |
-15.68% |
-45.40**** | ||
Reading |
422.26 |
497.85 |
72.85 |
77.26 |
-15.18% |
-40.53**** | ||
Mathematics |
407.96 |
491.30 |
62.86 |
65.60 |
-15.96% |
-52.16**** | ||
Male |
Global |
446.54 |
523.83 |
67.27 |
71.98 |
-14.75% |
-42.29**** | |
Science |
430.90 |
506.53 |
62.04 |
66.07 |
-14.93% |
-40.41**** | ||
Reading |
409.27 |
485.22 |
68.55 |
71.92 |
-15.65% |
-40.70**** | ||
Mathematics |
428.38 |
510.71 |
58.60 |
61.38 |
-16.12% |
-52.10**** | ||
Ownership |
Public |
Global |
447.26 |
527.23 |
68.03 |
74.65 |
-15.17% |
-53.39**** |
Science |
422.49 |
498.50 |
62.81 |
68.53 |
-15.25% |
-54.19**** | ||
Reading |
413.18 |
489.80 |
69.97 |
75.99 |
-15.64% |
-50.39**** | ||
Mathematics |
417.18 |
500.04 |
61.28 |
63.45 |
-16.57% |
-63.19**** | ||
Private |
Global |
457.55 |
537.24 |
69.87 |
74.62 |
-14.83% |
-30.43**** | |
Science |
429.41 |
507.41 |
65.37 |
69.95 |
-15.37 |
-32.51**** | ||
Reading |
420.76 |
495.72 |
71.57 |
74.71 |
-15.12% |
-27.90**** | ||
Mathematics |
426.73 |
510.06 |
61.86 |
64.30 |
-16.34% |
-36.27**** | ||
Origin |
Native |
Global |
449.69 |
529.87 |
68.38 |
73.21 |
-15.13% |
-56.20**** |
Science |
425.17 |
502.09 |
63.72 |
67.81 |
-15.32% |
-57.86**** | ||
Reading |
415.51 |
491.91 |
71.49 |
72.98 |
-15.53% |
-57.75**** | ||
Mathematics |
421.26 |
505.16 |
60.96 |
63.77 |
-16.61% |
-67.19**** | ||
Immigrant |
Global |
448.70 |
523.39 |
69.91 |
69.36 |
-14.27% |
-23.00**** | |
Science |
419.12 |
490.63 |
65.14 |
74.50 |
-14.57% |
-23.94**** | ||
Reading |
412.34 |
483.30 |
71.28 |
75.15 |
-14.68% |
-21.45**** | ||
Mathematics |
410.81 |
486.35 |
62.01 |
63.95 |
-15.53% |
-26.87**** |
||
Source: the authors.
_______________________________
1 For this reason, students with missing values in any of the variables collected in Table 2 were removed from the sample.
2 The variables subject to exact matching vary depending on the analysed feature. Thus, for the overall analysis, exact matching is applied to the variables REGION, SEX, INMIG1, INMIG2, and NATIVE. However, for the analysis by gender and origin, these variables (i.e., SEX and INMIG1, INMIG2, and NATIVE, respectively) are excluded from the list.