RESUMEN
Este artículo aspira a trazar una panorámica de la política industrial francesa hacia España durante los primeros gobiernos de François Mitterrand (1981-88) y Felipe González (1982-86). Las tensiones políticas bilaterales, derivadas de la falta de entendimiento en las cuestiones del terrorismo vasco y el ingreso de España en la Comunidad Económica Europea, no obstaculizaron la cooperación económica, especialmente en materia industrial. Los responsables franceses, siguiendo las directrices de su planificación indicativa, privilegiaron los grandes proyectos y la alta tecnología (nuclear, militar, electrónica, informática). Toparon con múltiples inconvenientes por las desventajas del Tratado Preferencial de 1970, las secuelas de la crisis económica mundial y la competencia de otros países, pero lograron consolidar su implantación en España y contribuir a la modernización del tejido industrial y tecnológico local. Para el desarrollo de estas cuestiones, nos basaremos, sobre todo, en fondos públicos franceses recientemente abiertos a los investigadores, entre ellos los del Ministerio de Asuntos Exteriores y el Ministerio de Economía y Finanzas.
Palabras clave: Francia; España; Mitterrand; González; cooperación industrial.
ABSTRACT
This article aims to offer an overview of French industrial policy towards Spain during the first governments of François Mitterrand (1981-88) and Felipe González (1982-86). There were bilateral political tensions arising from the lack of understanding on the Basque terrorism issue and the imminent entry of Spain into the European Economic Community. But these tensions did not impede economic cooperation, especially in industrial matters. Following the guidelines of their indicative planning, French public and private leaders prioritized large projects and high technology (nuclear, military, electronics-informatics). They encountered difficulties, coming from the disadvantages of the 1970 Preferential Treaty, the aftermath of the world economic crisis and the competition from other countries. Nevertheless, they managed to consolidate their presence in Spain and contribute to the modernization of the local industrial and technological fabric. In order to develop these topics, we will mostly rely on French public funds recently open to researchers, including those from the Ministry of Foreign Affairs and the Ministry of Economy and Finance.
Keywords: France; Spain; Mitterrand; González; industrial cooperation.
SUMARIO
Depuis l’avènement d’un gouvernement socialiste en Espagne, la multiplication des contacts bilatéraux a incontestablement contribué à détendre et à rééquilibrer les relations franco-espagnoles, dont le médiocre niveau politique contrastait jusqu’alors avec l’ampleur de la présence économique et culturelle de la France en Espagne.
Nota del Ministerio francés de Asuntos Exteriores, 1984.
En la historiografía sobre la Transición española han primado tradicionalmente la
variable interior y la variable política. Solo en los primeros años del siglo xxi comenzó a despuntar la dimensión internacional, incrementándose los trabajos sobre
el papel de Estados Unidos (USA) y las potencias europeas, en particular Francia,
la República Federal de Alemania (RFA) y, en menor medida, Gran Bretaña[2]. Son muchos los estudios dedicados a la etapa de François Mitterrand en Francia y
de Felipe González en España. Mientras que Francia aparece con frecuencia en los trabajos
sobre la política exterior de Felipe González, especialmente al tratar cuestiones
relativas a la organización terrorista Euskadi Ta Askatasuna (ETA) y el ingreso de
España en la Comunidad Económica Europea (CEE), los trabajos sobre la política exterior
de Mitterrand apenas incluyen referencias a España Por ejemplo, Védrine ( Védrine, H. (1996). Les mondes de François Mitterrand. À l’Élysée, 1981-1995. Paris : Fayard.
Maclean, M. (ed.) (1998). The Mitterrand Years. Legacy and Evaluation. Houndmills; London: Palgrave MacMillan. Disponible en: https://doi.org/10.1007/978-1-349-26395-0 Sánchez ( Sánchez, E. M. (2006). Rumbo al Sur. Francia y la España del desarrollo. Madrid: CSIC.
Puig, N. y Castro, R. (2009). Patterns of Internacional Investiment in Spain, 1850-2005.
Business History Review, 83, 505-537. Disponible en: https://doi.org/10.1017/S0007680500002981 Castro, R. (2010a). Génesis y transformación de un modelo de inversión internacional: el capital francés
en la España del siglo xx [tesis doctoral]. Universidad Complutense de Madrid.
Los efectos de la inversión extranjera en la mejora de las capacidades locales han
sido examinados, desde perspectivas generales y sectoriales, por Jones ( Jones, G. (2005). Multinationals and global capitalism from the nineteenth to the twenty-first century.
Oxford: Oxford University Press.
Jones, G. (2014). Firms and Global Capitalism. En L. Neal y J. G. Williamson (eds.).
The Cambridge History of Capitalism, vol. 2. The Spread of Capitalism: from 1848 to
the present (pp. 169-200). Cambridge: Cambridge University Press. Disponible en: https://doi.org/10.1017/CHO9781139095105.006 Buckley, P. J. (2009). Business history and international business. Business History, 3, 307-333. Disponible en: https://doi.org/10.1080/00076790902871560 Narula, R. y Dunning, J. (2010). Multinational Enterprises, Development and Globalization:
Some Clarifications and a Research Agenda. Oxford Development Studies, 38, 263-287. Disponible en: https://doi.org/10.1080/13600818.2010.505684 López, S. M., Molero, J. y Santos-Arteaga, J. (2011). Poverty traps in a frictionless
world: The effects of learning and technology assimilation. Structural Change and Economic Dynamics, 22, 106-115. Disponible en: https://doi.org/10.1016/j.strueco.2010.12.001 Puig, N. y Álvaro, A. (2015). La huella del capital extranjero en España: un análisis
comparado. Revista de Historia Industrial, 58, 249-285.
De la Torre, J. y Rubio-Varas, M. (2018). Learning by Doing: The First Spanish Nuclear
Plant. Business History Review, 92, 29-55. Disponible en: https://doi.org/10.1017/S0007680518000053 Delgado, L. y López, S. M. (eds.) (2019). Ciencia en Transición. El lastre franquista ante el reto de la modernización. Madrid: Sílex.
Este trabajo aspira a trazar las grandes líneas de la política industrial francesa hacia España de 1981 a 1986, sacando a la luz una serie de procesos y acontecimientos que han quedado eclipsados por la preferencia otorgada a la transición política en España y a las grandes potencias industriales en Francia. Abordaremos, en primer lugar, el contexto político que enmarcó la relación bilateral. Ofreceremos después un balance de los grandes flujos de comercio e inversión, así como de la posición de la industria francesa ante el inminente ingreso de España en la CEE. El resto del texto se dedicará a analizar los tres grandes capítulos que presidieron la política industrial francesa hacia España: la industria nuclear, de defensa, e informática y electrónica, sectores que concentraron grandes esfuerzos diplomáticos, financieros y tecnológicos, y generaron muchas y variadas externalidades. Trataremos de identificar los proyectos y protagonistas más destacados, examinar las estrategias desplegadas y analizar los resultados alcanzados. Cerrarán el texto algunas conclusiones.
En 1981, tras veintitrés años de gobiernos conservadores, el líder del Partido Socialista
Francés (PSF), François Mitterrand, llegó a la Presidencia de la República con un
programa de reformas radicales (Les 110 Propositions pour la France), que incluía nacionalizaciones de empresas, leyes de descentralización regional y recetas
keynesianas para impulsar el crecimiento. Así, caminando a contracorriente respecto
al resto de potencias occidentales, la era socialista se inició en Francia con la
decisión de nacionalizar los cinco primeros grupos industriales del país (Saint Gobain,
Rhône-Poulenc, Thomson, Compagnie Générale d’Électricité y Péchiney-Ugine Kuhlman-PUK)
y cuarenta instituciones financieras (entre ellas, Parisbas, Indosuez y el Crédit
Commercial de France), al tiempo que se promulgaban medidas para crear empleo público,
gravar las grandes fortunas y ampliar la protección social. El Estado pasó a ser responsable
del 60 % de la inversión industrial, el 30 % de las exportaciones y el 24 % del empleo
A finales de 1982 las complicaciones económicas, internas y externas, impusieron un
drástico cambio de rumbo. Los socialistas reconocieron haber subestimado las fragilidades
estructurales de la economía francesa y pecado de un exceso de optimismo. El boom de los Treinta Gloriosos había llegado a su fin, la crisis energética mundial había
disparado las tasas de desempleo, déficit e inflación, y el neoliberalismo había deshecho
el consenso socialdemócrata de la posguerra. Mitterrand se vio forzado a sumarse a
la dinámica internacional y adoptar políticas de ajuste (la rigueur). Logró controlar el déficit y la inflación, a la par que reconciliarse con los grandes
medios de negocios. Las contrapartidas fueron el incremento del paro y la reducción
del poder adquisitivo de prácticamente todos los grupos sociales, lo que generó un
amplio malestar social y la recuperación de la derecha de Jacques Chirac. En materia
de política industrial, la planificación indicativa (8.º y 9.º planes) siguió priorizando,
como en décadas anteriores, las industrias de alto contenido tecnológico, si bien
otorgando a las regiones una mayor capacidad de interlocución directa con el Estado.
También continuó la apuesta por la energía nuclear como alternativa al petróleo: el
Plan Messmer, vigente desde 1974, enmarcó la construcción de una treintena de centrales
nucleares entre 1980 y 1986, además de otras muchas infraestructuras relacionadas
con el átomo. En el
comercio exterior, las repetidas devaluaciones del franco (octubre de 1981, junio
de 1982 y marzo de 1983) garantizaron tasas de exportación elevadas, paliando la sobreproducción
industrial. Pero la posición de Francia en los mercados internacionales arrojó valores
inferiores a los de la RFA, USA y Japón
La continuidad fue la nota dominante en materia de política exterior. Pervivieron
las tres grandes coordenadas de la V República gaullista: a) la independencia nacional,
garantizada por la force de frappe nuclear; b) la defensa del equilibrio entre los bloques, desde la pertenencia al bloque
occidental y a la CEE, y c) la solidaridad con el Tercer Mundo. Mitterrand intervino
directamente en la toma de decisiones internacionales y valoró el contacto personal
con los líderes extranjeros, lo que le condujo a realizar numerosos desplazamientos
fuera de las fronteras francesas: 154 durante el primer septennat Favier y Martin-Roland ( Favier, P. y Martin-Roland, M. (1990). La décennie Mitterrand (Vol.1. Les ruptures, 1981-1984; Vol.2. Les épreuves, 1984-1988).
Paris: Points.
Fonteneau, A. y Muet, P. A. (1985). La gauche face à la crise. Paris: Presses de la Fondation Nationale des Sciences Politiques.
Ross, G., Hoffmann, S. y Malzacher, S. (1988). El experimento Mitterrand. Valencia: Edicions Alfons El Magnànim.
Virard, M. P. (1993). Comment Mitterrand a découvert l’économie. Paris: Albin Michel.
En España, la arrolladora victoria del Partido Socialista Obrero Español (PSOE) en
las elecciones generales de 1982 ha sido tradicionalmente considerada como la culminación
del proceso de transición a la democracia. En la agenda política de Felipe González
figuró como objetivo preferente el engarce con Europa, imprescindible para consolidar
la democracia, modernizar la economía y ganar peso en los foros internacionales. Los
socialistas se enfrentaron a un panorama económico complejo: una espiral inflacionista,
tasas de desempleo que doblaban la media de la OCDE, déficits crecientes en el presupuesto
y en la balanza de pagos, y pérdida progresiva de tejido industrial Un balance de la primera legislatura socialista en Guerra y Tezanos ( Guerra, A. y Tezanos J. F. (eds.) (1992). La década del cambio. Diez años de Gobierno socialista (1982-1992). Madrid: Sistema.
Soto, Á. (2005). Transición y cambio en España, 1975-1996. Madrid: Alianza.
Soto, Á. (2006). Felipe González, más reformista que socialdemócrata. Balance de una
gestión. Historia del Presente, 8, 17-37.
Soto, Á. (2010). Dictadura franquista y democracia. Barcelona: Crítica.
Tusell, J. y Paniagua, J. (2008). La España democrática: la transición a la democracia, consolidación de la democracia.
El Gobierno socialista. Madrid: El País.
Marín, J. M. (2008). Los socialistas en el poder (1982-1986). Historia y Política, 10, 43-71.
Pérez, J. A. (2011). Una sociedad en transformación (1982-1996). Ayer, 84, 99-127.
El PSOE no se planteó en ningún momento seguir la estela económica inicial del PSF,
cuyos malos resultados eran ya visibles en 1982. Pese a la oposición de los sindicatos,
adoptó un programa de austeridad y privatizaciones, destinado a combatir los grandes
desequilibrios macroeconómicos, reordenar los sectores en crisis y crear un «Estado
de bienestar realista», susceptible de recibir financiación sin producir desajustes
económicos Burns ( Burns, T. (1996). Conversaciones con el socialismo. Barcelona: Plaza y Janés.
Solchaga, C. (1997). El fin de la edad dorada. Madrid: Taurus.
Ballesteros ( Ballesteros, F. (1996). Análisis comparativo de la evolución en el programa económico del PSOE y la política
económica del gobierno socialista. Barcelona: ESADE.
Fernández, D. y Matías, G. (2006). Ajuste estructural de la economía española y negociaciones
con las Comunidades Europeas durante el primer gobierno socialista (1982-1985). Historia del Presente, 8, 40-60.
Martín Arce, J. M. (2006). La fase dura de la reconversión industrial: 1983-1986.
Historia del Presente, 8, 61-101.
Pardo, R. (2011). La política exterior de los gobiernos de Felipe González: ¿un nuevo
papel para España en el escenario internacional. Ayer, 84, 73-97.
La llegada al Gobierno de los dirigentes del PSOE fue muy bien acogida por los socialistas
franceses. «Demócratas convencidos», «aperturistas no radicales» y afines a Francia
por su formación y experiencia, no podían sino acelerar el acercamiento bilateral:
«les nouveaux dirigeants espagnols, francophones et francophiles, ont vécu de nombreuses
années d’exil en France et connaissent bien notre pays, où ils ont noué un grand nombre
d’amitiés personnelles […] ils constituent un incontestable facteur de rapprochement
entre nos deux pays […]» «Relations franco-espagnoles», informe del Ministerio francés de Asuntos Exteriores
(MAE-F), 7/3/1983, Archives du Ministère français des Affaires Étrangers (en adelante
AMAE-F), EUROPE, Espagne, 1981-1985, vol. 5141.
Los socialistas heredaron los dos contenciosos que llevaban años ensombreciendo las
relaciones francoespañolas: la falta de entendimiento en la lucha contra el terrorismo
vasco y los obstáculos de Francia al ingreso de España en el Mercado Común europeo.
Todavía en 1982, parte de la izquierda francesa contemplaba a los terroristas de ETA
como resistentes antifranquistas defensores de la libertad del pueblo vasco, y al
sistema político español como una democracia débil con prácticas policiales oriundas
de la dictadura. El resto del abanico político francés adoptaba, salvo excepciones,
una actitud de indiferencia ante lo que consideraba un asunto interno de los españoles.
En consecuencia, el Gobierno francés se resistía a extraditar a los terroristas, que
disfrutaban en Francia del estatuto de refugiado político y utilizaban su territorio
como campo de entrenamiento, centro financiero y base de repliegue tras los atentados.
En España, Gobierno y medios de comunicación criticaban duramente esta actitud, advirtiendo
que sin el «santuario» francés, ETA llevaría tiempo desmantelada. Los años ochenta
se iniciaron con una escalada de violencia, pues a los atentados de ETA se sumaron,
por una parte, los del grupo francés Iparretarrak, que aspiraba a separarse de Francia
y formar una Euskal Herria independiente, y por otra, los de los Grupos Antiterroristas
de Liberación (GAL), cuya campaña de erradicación de ETA por la vía del terrorismo
de Estado se saldó con varias decenas
de muertos a ambos lados de los Pirineos. Por fin en 1984 los ministros de Interior
Gaston Deferre y José Barrionuevo firmaron los acuerdos de la Castellana, que facilitaron
las detenciones y dieron luz verde a las primeras extradiciones Morán Blanco ( Morán Blanco, S. (1997). ETA entre España y Francia. Madrid: Complutense.
Casanova, I. (2008). ETA, 1958-2008. Medio siglo de historia. Tafalla: Txalaparta.
Avilés, J. (2010). El terrorismo en España. De ETA a Al Qaeda. Madrid: Arco.
Gabriel-Oyhamburu, K. (2015). Du nationalisme au terrorisme basque: pourquoi l’hystérèse de l’ETA. Paris: L’Harmattan.
Fernández Soldevilla, G. (2016). La voluntad del «gudari»: génesis y metástasis de la violencia de ETA. Madrid: Tecnos.
Moruzzi, J. F. y Boulaert, E. (1988). Iparretarrak: separatisme et terrorisme en pays basque français. Paris: Plon.
Jacob, J. E. (1994). Hills of conflict: Basque nationalism in France. Reno: University of Nevada.
Bidegain, E. (2011). Iparretarrak: historia de una organización política armada. Tafalla: Txalaparta.
Miralles, M. y Onetti, A. (2006). GAL: la historia que sacudió al país. Madrid: La Esfera de Los Libros.
Díez, L. (2011). Las cloacas de la Transición. Madrid: Espasa.
A la llegada al Ejecutivo de Felipe González, el Gobierno francés seguía sin manifestar
un apoyo firme a la entrada de España en la CEE, amparándose en la competencia de
los productos agrarios mediterráneos (frutas, verduras, vinos de mesa, aceite de oliva)
y en la urgencia de resolver previamente los problemas comunitarios pendientes (la
reforma de la PAC y el desacuerdo presupuestario con Gran Bretaña, fundamentalmente).
Mitterrand había evocado a menudo las dificultades de la ampliación y la necesidad
de fijar pasos previos (préalables) para preservar los intereses de Francia Mitterrand ( Mitterrand, F. (1986). Réflexions sur la politique extérieure de la France. Introduction à ving-cinq discours
(1981-1985). Paris: Fayard.
Núñez, V. (2013). Entre la reforma y la ampliación (1976-1986). Las negociaciones hispano-comunitarias
en tiempos de transición y approfondissement [tesis doctoral]. Universidad Complutense de Madrid.
Fédération Nationale des Syndicats d’Exploitants Agricoles (FNSEA) y Centre National
des Jeunes Agriculteurs (CNJA).
Trouvé ( Trouvé, M. (2005). Une querelle agricole: le Midi de la France et l’adhésion de l’Espagne
à la CEE (1975-1986). Annales du Midi: revue archéologique, historique et philologique de la France méridionale,
250, 203-227. Disponible en : https://doi.org/10.3406/anami.2005.7090 Molina, S. (2018). La construcción del enemigo. Francia, España y el problema agrario,
1968-1977. Pasado y Memoria. Revista de Historia Contemporánea, 17, 453-477.
Molina, S. (2020). ¿Competitivas o complementarias ? El debate agrario español en
la transición democrática, 1975-1982. Historia Agraria, 80, 177-207. Disponible en: https://doi.org/10.26882/histagrar.080e06m García Crespo, G. (2019). «Contra viento y marea». La mediación del Conseil National
du Patronat Français en defensa de la entrada de España en el Mercado Común (1976-1986).
Comillas Journal of International Relations, 14, 81-100. Disponible en: https://doi.org/10.14422/cir.i14.y2019.007 González-Fernández, A. (2018). «La tutela europea». Estereotipos, enfoques y estrategias
para la integración ibérica en las comunidades europeas (1977-1985). Mélanges de la Casa de Velázquez, 48 (1), 287-308. Disponible en: https://doi.org/10.4000/mcv.8087
Hacia 1984, coincidiendo con el despliegue de la cooperación en la lucha contra ETA
y con la presidencia francesa de la CEE, Francia aceptó por fin poner fecha a la incorporación
de España. Explican este cambio de actitud la solución del conflicto agropresupuestario,
la mejora general de la situación económica, la intermediación del canciller alemán
Helmut Kohl, las cesiones españolas en algunas partidas agrarias y la aplicación de
planes de modernización en el Midi francés. El 12 de junio de 1985 se firmó el Tratado
de Adhesión, que entraría en vigor el 1 de enero del año siguiente. Aunque los incidentes
con pescadores y transportistas no desaparecieron de la noche a la mañana, los dirigentes
franceses se congratularon del nuevo clima de confianza: «[ …] l’on peut dire que
la plupart de nos contentieux bilatéraux qui hypothéquaient gravement nos relations
jusque vers 1984 ont été apurés dans des conditions satisfaisantes pour les deux parties
[…] l’on peut aujourd’hui parler de relations tout à fait exemplaires entre Paris
et Madrid» «Relations franco-espagnoles», nota para el Primer Ministro, 1/12/1986, AMAE-F, EUROPE,
Espagne, 1986-1990, vol. 6245. Sobre el proceso de negociaciones España-CEE, remitimos
a Étienvre y Urquijo ( Étienvre, J. P. y Urquijo, J. R. (eds.) (1989). España, Francia y la Comunidad Europea. Madrid: Casa de Velázquez; CSIC.
Powell, Ch. (2003). España en Europa: de 1945 a nuestros días. Ayer, 49, 81-119.
Crespo, J. (2004). España en Europa, 1945-2000. Del ostracismo a la modernidad. Madrid: Marcial Pons.
Trouvé, M. (2008). L’Espagne et l’Europe. De la dictature de Franco à l’Union Européenne. Bruxelles: PIE Peter Lang.
Cavallaro, M. E. (2009). Los orígenes de la integración de España en Europa: desde el franquismo hasta los
años de la transición. Madrid: Sílex.
Cavallaro, M. E. (2013). La Francia di Giscard d’Estaing da madrina ad ostacolo dell’integrazione
della Spagna in Europa. En M. E. Cavallaro y G. Levi (eds.). Italia e Spagna nel processo di integrazione europea, 1950-1992 (pp. 99-121). Soveria Mannelli: Rubbettino.
Moreno, A. (2010). Por fin Europa: la transición y el camino hacia la adhesión a la
CEE. En S. Forner (ed.). Coyuntura Internacional y política española, 1898-2004 (pp. 177-200). Madrid: Biblioteca Nueva; Universidad de Alicante.
Pardo, R. (2011). La política exterior de los gobiernos de Felipe González: ¿un nuevo
papel para España en el escenario internacional. Ayer, 84, 73-97.
Núñez, V. (2013). Entre la reforma y la ampliación (1976-1986). Las negociaciones hispano-comunitarias
en tiempos de transición y approfondissement [tesis doctoral]. Universidad Complutense de Madrid.
Francia institucionalizó, además, cumbres bilaterales con Alemania, Italia y Gran
Bretaña. Y España con Portugal.
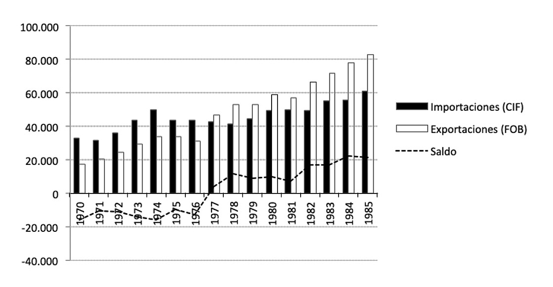
Las tensiones políticas se dejaron sentir poco sobre los intercambios económicos.
En 1981 Francia era el primer cliente de España y su segundo proveedor e inversor
después de USA (España era el octavo socio comercial de Francia) Los intercambios comerciales se intensificarán tras la entrada de España en la CEE.
Francia mantendrá su peso en el comercio exterior de España (primer cliente, primer
proveedor) y España lo incrementará (quinto cliente, sexto proveedor).
De hecho, el déficit desapareció en 1987, tras la adhesión de España a la CEE. De
1980 a 1989 el saldo francés pasó de -3,3 a 7,4 millares de francos y la tasa de cobertura
del 80 % al 118 %.
Gráfico 1.
Evolución del comercio español con Francia, 1970-1986 (millones de pesetas de 1970)

Fuente: Estadísticas del Comercio Exterior de España, Ministerio de Comercio, 1970-1986, y Carreras y Tafunell (2005) para IPC-deflactor.
Al iniciarse los años ochenta, Francia concentraba el 11,8 % del total de la inversión
extranjera en España (10 100 millones de pesetas corrientes), situándose detrás de
USA (24,4 %) y Suiza (16,5 %), y próxima a Gran Bretaña y la RFA (c. 10-12 %) (gráfico 2) Cifras de inversiones mayoritarias, sujetas a autorización administrativa. Se excluyen,
por tanto, las inversiones minoritarias (estimadas en un tercio de las mayoritarias)
y las inversiones inmobiliarias (en torno al 35 % de la inversión neta extranjera).
«Les investissements étrangers en Espagne», nota de Philippe Harot, consejero financiero
de la Embajada de Francia en España, 15/3/1982, AMAE-F, EUROPE, Espagne, 1981-1985,
vol. 5141. Como venía sucediendo desde el final de la Segunda Guerra Mundial, el peso
de Suiza está sobrevalorado, puesto que muchas compañías europeas y norteamericanas
realizaron sus operaciones financieras en España a través de filiales domiciliadas
en Suiza, atribuyéndosele así el origen nacional de las inversiones.
«Relations entre la France et l’Espagne dans le domaine des investissements directs»,
nota de la Direction des Affaires Économiques et Financières, 15/6/1982, AMAE-F, EUROPE,
Espagne, 1981-1985, vol. 5149.
Gráfico 2.
Evolución de los porcentajes de inversión extranjera en España, 1970-1990

Fuente: Economía Industrial y AMAE-F.
A mediados de los años ochenta, las embajadas contabilizaron unas mil doscientas empresas
francesas con plantas de producción y/o comercialización en España (frente a las doscientas
españolas en Francia). En su mayoría, estaban ubicadas en el entorno de Madrid y Barcelona,
y se habían establecido antes de 1975 «L’implantation française en Espagne», informe del Servicio de Expansión Económica
de la Embajada de Francia en España, 8/4/1987, Centre des Archives Économiques et
Financières (en adelante CAEF), B55301.
El ingreso de España en la CEE estimularía los flujos de inversión en ambos sentidos.
«Fiche Les investissements français en Espagne», nota de la Embajada de Francia en
Madrid, 1989, AMAE-F, EUROPE, Espagne, 1986-1990, vol. 6245.
Las nacionalizaciones de 1981 afectaron en España a 25 filiales, 25 000 empleos y
un volumen de negocios de unos 140 000 millones de pesetas, cifras que se sumaron
a las aportadas por las ya de por sí numerosas empresas públicas. Con ello, el Estado
francés pasó a ser el primer empleador en España. En principio, la legislación española
preveía la revocación de las autorizaciones de inversión concedidas a empresas extranjeras
en caso de que estas se nacionalizasen. No obstante, a demanda de los interesados,
podía otorgarse una autorización especial para mantener la inversión. Todas las empresas
nacionalizadas consiguieron enseguida los permisos necesarios para seguir operando
en España, a excepción de PUK, cuyo expediente se retrasó sine die a raíz de su enfrentamiento con el Instituto Nacional de Industria (INI) El enfrentamiento PUK-INI se enmarca en un contexto en el que el empresariado francés
se negaba sistemáticamente a participar en los aumentos de capital de las sociedades
del INI mientras no adoptasen medidas de racionalización y reestructuración financiera.
Así, PUK rechazó: a) incrementar su participación en Aluminio Español (poseía ya el
20 % a través de Aluminio de Galicia), y b) sufragar el suministro de alúmina de Aluminio
Español (filial del INI al 55 %) a Aluminio de Galicia (filial de PUK al 67 %) a un
precio muy superior al del mercado mundial. «Conséquences pour leurs filiales espagnoles
de la nationalisation de certaines groupes industriels français», informe del Ministerio
de Industria, 14/6/1982, AMAE-F, EUROPE, Espagne, 1981-1985, vol. 5177.
Para aplicar en España los «programas prioritarios de acción» de la planificación
indicativa francesa, que recomendaban ampliar inversiones en sectores industriales
de alta intensidad tecnológica Sánchez ( Sánchez, E. M. (2006). Rumbo al Sur. Francia y la España del desarrollo. Madrid: CSIC.
Sánchez, E. M. (2016). Francia y la España del tardofranquismo y la transición. Sinergias
económicas en un marco de cambio político, 1970-1986. Hispania, 254, 847-882. Disponible en: https://doi.org/10.3989/hispania.2016.024 «Autonomies» entrecomillado en el original. «Relations économiques franco-espagnoles»,
informe del MAE-F, 20/6/1985, AMAE-F, EUROPE, Espagne, 1981-1985, vol. 5145.
«Note sur les transferts de technologie dans l’industrie espagnole», Embajada de
Francia en España, 3/5/1982, AMAE-F, EUROPE, Espagne, 1981-1985, vol. 5177. La presencia
de residentes franceses en España respondía en gran parte a estas necesidades de formación:
57 027 en 1982, frente a los 428 000 españoles en Francia (más 60 000 en épocas de
vendimia). «Données sur l’Espagne. Fiches», AMAE-F, EUROPE, Espagne, 1981-1985, vol.
5141.
Con muy pocas excepciones, los representantes de la industria francesa defendieron
el ingreso de España en la CEE, si bien no tuvieron tanta visibilidad pública como
los agricultores del Midi. Desde el Ministerio de Industria y la patronal Conseil
National du Patronat Français (CNPF) se criticó duramente el Tratado Preferencial
de 1970, responsable de una competencia desleal basada en unos «vestigios proteccionistas
asimétricos, discriminatorios y contrarios a los intereses de la industria francesa» Nota del Ministerio de Investigación e Industria, 16/6/1983, AMAE, AMAE-F, EUROPE,
Espagne, 1981-1985, vol. 5145. El apoyo del CNPF al ingreso de España en la CEE es
tratado en García Crespo ( García Crespo, G. (2019). «Contra viento y marea». La mediación del Conseil National
du Patronat Français en defensa de la entrada de España en el Mercado Común (1976-1986).
Comillas Journal of International Relations, 14, 81-100. Disponible en: https://doi.org/10.14422/cir.i14.y2019.007 Telegrama de Guidoni al MAE-F, 17/10/1984, AMAE-F, EUROPE, Espagne, 1981-1985, vol.
5145. El tratado de 1970 permaneció en vigor hasta 1986 y el desarme arancelario se
escalonó en siete años.
El mayor obstáculo que tuvieron que afrontar las empresas francesas con intereses
en España fue la competencia extranjera (USA, RFA y Japón, fundamentalmente). Ante
las dificultades para igualar las ofertas tecnológicas y financieras de sus rivales,
los franceses hicieron valer otras ventajas comparativas. Del lado político, insistieron
en las posibilidades de la cooperación con Francia para disminuir la dependencia respecto
a USA y aproximarse a Europa. Del lado económico, en la ayuda al desarrollo de la
industria española mediante la firma de acuerdos de cofabricación, la exportación
del material fabricado en España con licencia francesa y la formación del capital
humano local. La formación adoptaría formas diversas. Las casas suministradoras adiestrarían
a ingenieros y técnicos en el manejo y mantenimiento de los equipos traídos de fuera.
Las filiales se ocuparían de todos los integrantes del proceso productivo, desde los
obreros de la cadena de montaje hasta los cuadros medios y superiores. Y los Gobiernos
podrían intervenir directamente en estas actividades, patrocinando programas formativos
conjuntos (acciones integradas, formación de doctores, conciertos entre organismos
de enseñanza e investigación) y potenciando las aplicaciones industriales de los estudios
académicos «Coopération Scientifique et Technique avec l’Espagne», nota al MAE-F, 23/5/1985,
AMAE-F, EUROPE, Espagne, 1981-1985, vol. 5138.
Estas estrategias se aplicaron a los tres sectores que priorizó la política industrial
francesa en España en los años ochenta: el sector nuclear, la provisión de equipos
militares y la industria informática y electrónica, sectores que examinaremos en los
epígrafes siguientes. La industria automovilística, primera en el comercio francoespañol,
no preocupó en exceso al Gobierno francés. Las filiales de Renault y PSA Peugeot Citroën
habían sufrido las consecuencias socioeconómicas de la crisis energética mundial,
pero el estancamiento se había solucionado de manera relativamente rápida gracias
al incremento de las exportaciones y al despliegue de un proceso de renovación tecnológica
y empresarial basado en el toyotismo y el just in time Telegrama del MAE-F, 07/11/1990, AMAE-F, EUROPE, Espagne, 1986-1990, vol. 6239. «Les conditions récentes de l’endettement extérieur des organismos publics et des
entreprises espagnoles», nota de Philippe Harot, consejero financiero de la embajada
de Francia en España, 25/2/1981, AMAE-F, EUROPE, Espagne, 1981-1985, vol. 5148. La
evolución de la banca francesa en España en Castro, R. ( Castro, R. (2012). La banca francesa en la España del siglo xx. Madrid: Banco de España.
Animados por el relanzamiento de la energía nuclear tras la crisis del petróleo, el
Gobierno y las empresas francesas dedicaron grandes esfuerzos a la cooperación nuclear
con España. Aspiraban a intervenir en la totalidad del ciclo del combustible, desde
la extracción del mineral de uranio hasta el almacenamiento y gestión de los residuos
radiactivos «Coopération nucléaire avec l’Espagne», nota de la Direction Générale des Relations
Culturelles, Scientifiques et Techniques, 12/7/1978, AMAE-F, EUROPE, Espagne, 1977-1981,
vol. 4367.
Amparada por el Estado y diversas entidades privadas, Framatome lideraba la construcción
de centrales nucleares en Francia. Véanse Hecht ( Hecht, G. (2004). Le rayonnement de la France. Énergie nucléaire et identité nationale après la Seconde
Guèrre Mondiale. Paris: Éditions La Découverte.
Dänzel-Kantof, B. y Torres, F. (2013). L’énergie de la France: du Zoé aux EPR, une histoire du programme nucléaire français.
Paris: F. Bourin.
«Coopération nucléaire avec l’Espagne», nota de la Direction Générale des Relations
Culturelles, Scientifiques et Techniques, 28/1/1976, AMAE-F, EUROPE, Espagne, 1971-1976,
vol. 421.
Francia ofreció también su colaboración técnica y financiera en otras infraestructuras
atómicas planeadas en España. En primer lugar, estudió la venta de reactores rápidos
o «supergeneradores» similares a los franceses Phénix (450 MW) y Superphénix (1200-2000
MW), capaces de producir su propio combustible (plutonio) y generar hasta setenta
veces más energía que los reactores clásicos, aunque con gran complejidad tecnológica
y a un precio muy elevado «Collaboration franco-espagnole sur les reacteurs rapides», 3/11/1975, Archives Historiques
d’Électricité de France (en adelante AEDF), caja B0000469386.
Sobre el centro de Soria, Castro, L. ( Castro, L. (2015). La bomba atómica española. La energía nuclear en la Transición. Luis Castro (autoedición).
«Espagne. Aspects nucléaires», nota del Ministère du Redéploiement Industriel et
du Commerce Extérieur, 11/10/1985, AMAE-F, EUROPE, Espagne, 1981-1985, vol. 5138.
Todos los intentos de Framatome de liderar la construcción de nuevas centrales nucleares en España fracasaron, efecto combinado de la competencia internacional (USA con Westinghouse y General Electric, y Alemania occidental con KWU), y de la moratoria decretada en el Plan Energético Nacional de 1983, que redujo la potencia prevista para 1992 de 12 500 a 7500 MWe (ya había sido revisada a la baja en el Plan de 1978). Framatome reorientó entonces su estrategia hacia la provisión de servicios de mantenimiento, vigilancia y seguridad a la decena de centrales acabadas o en proceso de construcción, en su mayoría adjudicadas a USA.
Mayor éxito aportó la cooperación en las fases inicial y final del ciclo del combustible.
En la minería del uranio, la Empresa Nacional del Uranio S. A. (ENUSA) y su equivalente
francesa, la Compagnie Générale des Matières Nucléaires (COGEMA), firmaron una serie
de acuerdos para la explotación en común de uranio natural en Níger (yacimientos de
Akouta y Akokan). Respecto al enriquecimiento, España entró en el consorcio europeo
Eurodif, fundado en 1972 a iniciativa francesa para hacer frente a la creciente demanda
de uranio enriquecido, garantizar la seguridad y estabilidad de los precios y diversificar
las fuentes de suministro (es decir, liberarse de la dependencia de USA). Eurodif
construyó en Tricastin (Francia) una fábrica para el enriquecimiento de uranio por
difusión gaseosa, destinada a equipar a todos los países miembros en función de su
participación en el capital social. España suscribió a través de ENUSA el 11,11 %
de las acciones, obteniendo un volumen de uranio enriquecido que llegó a cubrir el
20 % de sus necesidades El resto procedió, a precios inferiores, de USA, la URSS y un consorcio formado por
Holanda, Reino Unido y Alemania occidental. «Enrichissement européen: un calendrier
chargé», 19/9/1973, AEDF, caja 891165, y Memorias de ENUSA, ejercicios 1972 a 1986, Archivo Histórico del INI (SEPI).
En 1982 se renovó y actualizó el acuerdo de cooperación nuclear de 1956 entre la JEN
y el Commissariat à l’Énergie Atomique (CEA). Retuvo cinco ámbitos de cooperación
prioritaria: reactores de investigación, protección y seguridad, física y altas energías,
fusión y gestión de residuos «Les relations industrielles franco-espagnoles», nota del Ministère du Redéploiement
Industriel et du Commerce Extérieur, 9/10/1984, AMAE-F, EUROPE, Espagne, 1981-1985,
vol. 5148.
Sánchez ( Sánchez, E. M. (2017). An alternative Route? France’s Position in Spanish Nuclear
Program, c.1950s-1980s. En M. Rubio, y J. De la Torre (eds.). The Economic History of Nuclear Energy in Spain (pp. 155-186). Cham: Palgrave MacMillan. Disponible en: https://doi.org/10.1007/978-3-319-59867-3_6
La cooperación nuclear militar fue tanteada en varias ocasiones. Desde Francia, se
tenía claro que los dirigentes franquistas intentaron dotarse de armamento atómico,
y que en democracia esta posibilidad no había sido descartada: «L’Espagne n’a pas
signé le TNP. Elle n’adhère pas aux Directives de Londres sur les exportations nucléaires.
Elle n’a jamais fait mystère de sa volonté de se réserver si nécessaire la possibilité
d’acquérir l’arme atomique. Elle est d’ailleurs considérée comme l’un des pays disposant
d’un programma nucléaire suffisamment avancé pour se trouver au seuil de l’option
militaire» Nota de Louis Amigues, sous-directeur des Questions Atomiques et Spatiales, 13/1/1984,
AMAE-F, EUROPE, Espagne, 1981-1985, vol. 5138.
La adopción de la tecnología UNGG, menos rentable que las estadounidenses de uranio
enriquecido y agua ligera, tuvo mucho que ver con su alta producción de plutonio,
susceptible de ser empleado en programas civiles (reactores rápidos) y militares (armamento
nuclear). Pero la voluntad española de fabricar bombas atómicas a partir del plutonio
irradiado en Vandellós 1 se desvaneció definitivamente a mediados de los años ochenta.
COGEMA y la empresa propietaria de Vandellós 1, HIFRENSA, acordaron que el plutonio
procedente de la central hispanofrancesa tendría un destino únicamente civil (reactores
rápidos, investigación) y permanecería bajo la vigilancia de Euratom y del Organismo
Internacional de la Energía Atómica En el acuerdo anterior (CEA-HIFRENSA, 1967) se establecía que el plutonio irradiado
en el reactor de Vandellós 1 sería reprocesado en Francia (Marcoule y La Hague) y
en su mayor parte devuelto a España, que podría utilizarlo libremente (no se especificaba su uso civil o militar), a condición de no ponerlo a disposición
de terceros países y permitir una cierta supervisión del CEA (que no de USA ni de
los organismos internacionales). Sánchez ( Sánchez, E. M. (2017). An alternative Route? France’s Position in Spanish Nuclear
Program, c.1950s-1980s. En M. Rubio, y J. De la Torre (eds.). The Economic History of Nuclear Energy in Spain (pp. 155-186). Cham: Palgrave MacMillan. Disponible en: https://doi.org/10.1007/978-3-319-59867-3_6 «Coopération franco-espagnole dans le domaine nucléaire», informe del embajador Emmanuel
de Margerie, 14/3/1979, AMAE-F, EUROPE, Espagne, 1977-1981, vol. 6239.
A finales de la década, Francia encontraría una nueva oportunidad de negocio (y aprendizaje)
en el desmantelamiento de centrales y gestión de sus residuos radiactivos. El punto
de partida fue el cierre anticipado de Vandellós 1, a raíz de un accidente ocurrido
en 1989 y la revocación al año siguiente del permiso de explotación. Francia contaba
entonces con más de cincuenta reactores operativos agrupados en diecisiete centrales.
Solo había procedido al cierre de los grupos UNGG de Marcoule y Chinon 1 y 2, y planeaba
el cierre de Saint Laurent des Eaux, Bugey y Chinon 3 en los dos años siguientes «Incident à la centrale nucléaire de Vandellós 1», Telegrama del MAE-F, 3/11/1989,
AMAE-F, EUROPE, Espagne, 1986-1990, vol. 6239.
Así se indica en sus webs corporativas:
Desde los Pactos de 1953, Estados Unidos marcó la pauta del sector español de la defensa.
Pero las potencias europeas también intentaron participar en el proceso de modernización
militar emprendido en España, buscando mercados para sus productos e interlocutores
para sus intereses políticos y económicos. Francia contaba con uno de los complejos
militares-industriales más grandes del planeta, mimado por el Estado y representado
por una decena de champions nationaux, públicos y privados. Todos ellos necesitaban rebasar los estrechos márgenes del mercado
doméstico (monopsónico) para recuperar inversiones y buscar beneficios en las economías
de escala: «C’est une nécessité pour le budget militaire de la France. [...] L’Armée
française n’aurait pas un équipement aussi moderne si notre industrie d’armement devait
se contenter du marché intérieur [...] Si ce n’est pas nous, ce sont nos concurrents
soviétiques, anglais, américains ou outres, qui décrocheront les contrats» Declaraciones del ministro de Defensa Charles Hernu. Ref. Favier y Martin-Roland
( Favier, P. y Martin-Roland, M. (1990). La décennie Mitterrand (Vol.1. Les ruptures, 1981-1984; Vol.2. Les épreuves, 1984-1988).
Paris: Points.
Según datos del Stockholm International Peace Research Institute (SIPRI).
Los militares franceses y españoles habían mantenido desde los años cincuenta un flujo
continuo de intercambios: informaciones, visitas, maniobras conjuntas, autorizaciones
de escala y sobrevuelo, formación de oficiales españoles en prestigiosas escuelas
francesas, etc. Estas relaciones desembocaron en la conclusión del acuerdo de cooperación
militar de 1970, aplicable a todas las operaciones bilaterales de compraventa de armas Las condiciones de la asistencia técnica y los planes de instrucción se regularon
en protocolos específicos firmados para cada transacción. Más detalles en Sánchez
( Sánchez, E. M. (2015). French Military Action in Spain from Dictatorship to Democracy:
Arms, Technology and Convergence. Journal of Contemporary History, 50, 376-399. Disponible en: https://doi.org/10.1177/0022009414551104 «Espagne. Relations dans le domaine d’armements», Ministerio de Defensa, Delegación
General de Armamento, 8/6/1982, AMAE-F, EUROPE, Espagne, 1981-1985, vol. 5177.
Con todo, el gasto militar en España era netamente inferior al de sus dos principales
socios extranjeros: 2,35 % del gasto total frente al 4,06 % de Francia y al 6,39 %
de USA entre 1980 y 1989. Sabaté ( Sabaté, O. (2015). Military spending, institutional stability and fiscal capacity. Spain in comparative
perspective (1850-2009) [tesis doctoral]. Universitat de Barcelona.
Véase:
Informe de Robert Dantou, jefe del Servicio de Expansión Económica de la Embajada
de Francia en España, 25/1/1980, CAEF, B55301.
Todos los contratos de armamento contemplaron una amplia participación de la industria española en los procesos de fabricación (mínima del 25 % y con frecuencia superior al 80 %). Los primeros aviones y carros de combate se importaron enteros, pero el resto se construyeron en España mediante acuerdos de cofabricación, que dejaron un amplio margen de participación a las empresas españolas del sector de la defensa, en su mayoría integradas en el Instituto Nacional de Industria (INI). Al principio, la industria local se encargó, bajo supervisión francesa, del ensamblaje de las piezas y conjuntos importados y de la fabricación de elementos secundarios de bajo-medio contenido tecnológico (cables, motores eléctricos, cajas de velocidades, etc.). Después, accedió a operaciones de mayor contenido tecnológico, participando incluso en la concepción de nuevos prototipos (como el submarino S-80). Los acuerdos de cofabricación no solo beneficiaron a las grandes empresas del INI (CASA, Bazán, Santa Bárbara), sino también a la industria auxiliar, que se repartió cientos de contratos de construcción y mantenimiento. Además, las instalaciones españolas se ampliaron y modernizaron para recibir y fabricar los nuevos equipos (bases aéreas de Manises en Valencia y Los Llanos en Albacete, talleres de Santa Bárbara en Sevilla, astilleros de Bazán en Cartagena, factorías de CASA en Sevilla y Getafe). Y numerosos ingenieros, técnicos y mecánicos aprendieron en Francia o con instructores franceses su correcto montaje, manejo y mantenimiento.
El caso de los aviones Mirage muestra el alcance de las compensaciones industriales
derivadas de los contratos armamentísticos. Las sociedades constructoras, Avions Marcel
Dassault Breguet Aviation-AMDBA (principal), SNECMA (motores), Thomson-CSF (equipos
electrónicos) y Matra (misiles), cedieron a la industria española la fabricación del
30 % de los Mirage, además de fuselajes, radares y otras piezas destinadas a aviones
y helicópteros de concepción francesa. Las principales empresas españolas beneficiarias
fueron CASA y otras firmas aeronáuticas vinculadas al INI (HASA, AISA, ENMASA). El
Ejército francés del Aire se encargó del adiestramiento de los pilotos y mecánicos
españoles en bases militares de uno y otro lado de los Pirineos. Además, los españoles
siguieron cursos de especialización en las sedes de AMDBA (simulador de vuelo, radioelectrónica,
centrales, mecánica, fotografía, hidráulica, electricidad, armamento, servomandos
y equipos), SNECMA (motores e instrucción técnica) y Thomsom-CSF (radar, mantenimiento
e instrucción) Información de cursos y listado de participantes en Archivo Histórico del Ejército
del Aire, caja A10951.
CASA se benefició de compensaciones industriales complementarias: AMDBA le compró
aviones C-101, C-212, C-295, C-235 y C-400, le ayudó a promocionar sus aparatos en
América Latina, Oriente Medio y los territorios francófonos de África, y facilitó
su acceso a proyectos europeos como el consorcio Airbus Industrie, denominado después
European Aeronautic Defence and Space (EADS) y actualmente Airbus Group. En los años
ochenta, CASA lideró la exportación española de sistemas de armas, con el mercado
francés como primer destino, seguido de varios países latinoamericanos (Argentina,
Venezuela, Chile, México, Colombia) y asiáticos (Emiratos Árabes, Arabia Saudí)
La industria de la defensa es un sector de fronteras difusas. Buena parte de sus bienes
y servicios tienen un carácter dual civil-militar, de manera que aparecen dispersos
en multitud de sectores productivos y asociados a numerosas firmas, tanto contratistas
principales como subcontratistas
Fue en los años cincuenta cuando se inició tímidamente en España la demanda de equipos
para el almacenamiento y tratamiento automático de la información Hubo iniciativas tecnológicas anteriores sin cobertura empresarial. López ( López, S. M. (1994). Los precedentes de la informática y la automática en España (1925-1971).
En Tècnica i societat en el món contemporani (pp. 255-262). Sabadell: Museu d’Història de Sabadell.
Castells et al. ( Castells, M. et al. (1986). El desafío tecnológico. España y las nuevas tecnologías. Madrid: Alianza.
El primer Plan Electrónico e Informático Nacional (PEIN), aprobado en 1984, despertó
grandes expectativas entre las empresas francesas del sector. Bull (material informático)
y Thomson (electrónica gran consumo y componentes), ambas públicas, intentaron aprovechar
las subvenciones y ventajas fiscales del PEIN para incrementar su presencia en España También lo hicieron los demás fabricantes foráneos, que entre 1984 y 1986 absorbieron
en conjunto más del 86 % de las inversiones, el 95 % de la producción y el 97 % de
las exportaciones. De Diego ( De Diego, E. (1995). Historia de la industria en España: la electrónica y la informática. Madrid: Escuela de Organización Industrial.
Para aumentar sus posibilidades en España, las empresas francesas buscaron la alianza
con socios locales, normalmente mediante la formación de joint ventures a partir de la adquisición de acciones en empresas españolas (la Compagnie Internationale
de Services en Informatique-CISI, filial del CEA, adquirió el 41,19 % del Centro de
Cálculo de Sabadell, y Seresco pasó a ser filial del grupo Générale de Service Informatique-GSI).
Paralelamente, continuaron cediendo licencias y firmando contratos de asistencia técnica
(v.g. Bull cedió la fabricación de componentes a Telesincro, empresa creada en 1963
por el ingeniero industrial, y futuro ministro socialista de Industria, Joan Majó).
Gobierno y empresarios trataron de promocionar la formación de especialistas españoles
en Francia, insistiendo en las ventajas de un aprendizaje global y no tan dependiente
del producto como el que proporcionaban los fabricantes norteamericanos Véanse López ( López, S. M. (1994). Los precedentes de la informática y la automática en España (1925-1971).
En Tècnica i societat en el món contemporani (pp. 255-262). Sabadell: Museu d’Història de Sabadell.
Arroyo, L. (2005). 100 años de informática y telecomunicaciones: España siglo xx. Madrid: Fundación Rogelio Segovia para el Desarrollo de las Telecomunicaciones.
Fornés, J. (2016). De la práctica a la profesión. Los informáticos en España, 1950-1982 [tesis doctoral]. Universitat Autònoma de Barcelona.
Barceló, M. (2008). Una història de la informàtica. Barcelona: Universitat Oberta de Catalunya.
La colaboración Bull-Telesincro gozó de un amplio apoyo gubernamental en París y Madrid,
por la voluntad de ambos estados de frenar la expansión de las multinacionales estadounidenses
(ATT, IBM, Digital Co.) y japonesas (Fujitsu, Sony, Sanyo), que utilizaban el mercado
español como plataforma para la exportación a la CEE
En 1983 Francia exportó a España productos informáticos y electrónicos por valor de
1422 millones de francos, obteniendo un saldo favorable de 903,6 millones de francos «Les relations de la France avec l’Espagne dans les secteurs de l’Électronique, de
l’Informatique et de l’Espace», nota del Ministère du Redéploiement Industriel et
du Commerce Extérieur, 5/10/1984, AMAE-F, EUROPE, Espagne, 1981-1985, vol. 5138.
Solchaga ( Solchaga, C. (1997). El fin de la edad dorada. Madrid: Taurus.
Durante el intervalo abordado en este estudio, se firmaron algunos contratos relevantes: suministro a la Generalitat de Catalunya de 3000 ordenadores Thomson MO5 y Bull Micral 30 (10 millones de francos); cofabricación de 24 000 terminales Bull Questar T destinadas a los ministerios de Asuntos Exteriores y Justicia; construcción por Matra de tres satélites de comunicación Hispasat, y venta de equipos electrónicos y material de telecomunicaciones a los cuerpos de seguridad del estado español (280 millones de francos al año). Pero fueron excepcionales. La mayoría de los grandes proyectos escaparon a las empresas francesas, incapaces de igualar las ofertas financieras y tecnológicas de sus competidoras europeas, norteamericanas y japonesas: macroproyectos como el sistema de teletexto o los equipamientos electrónicos del metro y el ferrocarril fueron atribuidos a empresas no francesas.
Los socialistas franceses y españoles llegaron al poder cuando ya había finalizado el largo ciclo de crecimiento económico posterior a la Segunda Guerra Mundial. Unos y otros acabarían por adoptar las recetas económicas liberales que triunfaban en Europa (camino a Maastricht), alejadas de la tradición socialdemócrata anterior, e identificadas con privatizaciones, desregulaciones y precarización del mercado laboral. Los primeros gobiernos de González y Mitterrand heredaron los contenciosos de ETA y la CEE, a los que comenzó a ponerse remedio en 1984, iniciándose un clima de mayor cordialidad, equilibrio y reciprocidad.
A la hora de hacer balance de su actividad industrial en España, las autoridades francesas
la tildaban de modesta y decepcionante. Consideraban que la proximidad geográfica,
la antigüedad de relaciones, la ambición de los programas industriales de ambos países
y el aval final de Francia en los temas de ETA y la CEE tendrían que haber aportado
más recompensas «Relations économiques franco-espagnoles», nota del MAE-F, 21/10/1985, AMAE-F. EUROPE,
Espagne, 1982-1985, vol. 5145.
Del análisis de la acción industrial francesa en España en tiempos de Mitterrand y González se desprenden tres grandes conclusiones. Primera, siguiendo las directrices de su planificación indicativa, Francia privilegió los grandes proyectos y la alta tecnología, en gran medida ligados al sector público. De hecho, el gran promotor de la actividad empresarial francesa en España fue el Estado francés, contratista principal de los macroproyectos nucleares, armamentísticos e informáticos. Los planes gubernamentales perdieron así de vista la potencialidad del sector servicios (dominado por la gran distribución), más vinculado a la iniciativa privada y en expansión sostenida al compás de la terciarización de ambas economías.
Segunda, las estrategias utilizadas para ampliar y consolidar posiciones al sur de los Pirineos se transformaron poco con el cambio de régimen político en España, exceptuando la mayor atención prestada a los ámbitos regional y europeo. Continuó la búsqueda de socios locales, la puesta en marcha de instituciones y convenios bilaterales en ámbitos de interés común, y la desvinculación de las actividades económicas de los temas política y socialmente más delicados (la dictadura primero, ETA y la CEE después).
Tercera, las externalidades derivadas de los grandes proyectos industriales de Francia en España fueron poco perceptibles en el corto plazo, pero fundamentales a medio y largo plazo. Gobierno y multinacionales contribuyeron a la formación de un capital humano (ingenieros, técnicos, investigadores, profesores, cuadros medios y superiores) que resultó crucial para garantizar el éxito de la modernización económica pendiente. La capacitación del personal español permitió pasar del ensamblaje de piezas y conjuntos importados a la fabricación propia de productos avanzados; sustituir los contratos «llave en mano» por empresas mixtas en las que extranjeros y nacionales se repartieron las tareas de diseño y construcción, y crear cada vez más centros locales de I+D+i, aunque muchos dependientes del exterior y especializados en las fases de menor contenido tecnológico. Este learning process fue a menudo recíproco: las empresas locales mejoraron procesos y productos, mientras que las multinacionales foráneas acumularon experiencias, corrigieron errores y perfeccionaron sus estrategias de expansión en el mercado mundial. Además, los macroproyectos estatales produjeron efectos intersectoriales sobre un gran número de empresas principales y auxiliares. Citemos algunos ejemplos: la formación adquirida en la construcción y desmantelamiento de infraestructuras nucleares se aplicó de forma genérica en la utilización de nuevos materiales, el transporte de grandes equipos y sustancias peligrosas, la mejora de los controles de calidad y la internalización de los estándares internacionales de vigilancia y seguridad. Muchos de los técnicos y mecánicos formados en el seno del Ejército acabaron trabajando para el sector civil, así en la aviación comercial o en pymes relacionadas con la electrónica. Y Francia y España ampliaron su proyección industrial internacional al cooperar en terceros países, v. g. al vender a Venezuela y Egipto carros AMX-30 fabricados en España o levantar complejos nucleares en China. Al fin y al cabo, no parece que los resultados de la política industrial francesa en España resultaran tan modestos y decepcionantes como indicaron sus promotores.
|
Acuña, R. L. (1986). Como los dientes de una sierra (Francia-España de 1975 a 1985, una década). Barcelona: Plaza y Janés. |
|
|
Arroyo, L. (2005). 100 años de informática y telecomunicaciones: España siglo xx. Madrid: Fundación Rogelio Segovia para el Desarrollo de las Telecomunicaciones. |
|
|
Avilés, J. (2010). El terrorismo en España. De ETA a Al Qaeda. Madrid: Arco. |
|
|
Ballesteros, F. (1996). Análisis comparativo de la evolución en el programa económico del PSOE y la política económica del gobierno socialista. Barcelona: ESADE. |
|
|
Barceló, M. (2008). Una història de la informàtica. Barcelona: Universitat Oberta de Catalunya. |
|
|
Bassols, R. (1995). España en Europa. Historia de la adhesión a la CEE, 1957-1985. Madrid: Política Exterior. |
|
|
Bidegain, E. (2011). Iparretarrak: historia de una organización política armada. Tafalla: Txalaparta. |
|
|
Buckley, P. J. (2009). Business history and international business. Business History, 3, 307-333. Disponible en: https://doi.org/10.1080/00076790902871560. |
|
|
Burns, T. (1996). Conversaciones con el socialismo. Barcelona: Plaza y Janés. |
|
|
Busturia, D. (dir.) (1994). Del reencuentro a la convergencia. Historia de las relaciones bilaterales hispano-francesas. Madrid: Asociación Diálogo. |
|
|
Casanova, I. (2008). ETA, 1958-2008. Medio siglo de historia. Tafalla: Txalaparta. |
|
|
Castells, M. et al. (1986). El desafío tecnológico. España y las nuevas tecnologías. Madrid: Alianza. |
|
|
Castro, L. (2015). La bomba atómica española. La energía nuclear en la Transición. Luis Castro (autoedición). |
|
|
Castro, R. (2010a). Génesis y transformación de un modelo de inversión internacional: el capital francés en la España del siglo xx [tesis doctoral]. Universidad Complutense de Madrid. |
|
|
Castro, R. (2010b). «Máquinas de vender». Una historia de la gran distribución francesa en España desde los años sesenta. Revista de Historia Industrial, 44 (3), 97-137. |
|
|
Castro, R. (2012). La banca francesa en la España del siglo xx. Madrid: Banco de España. |
|
|
Cavallaro, M. E. (2009). Los orígenes de la integración de España en Europa: desde el franquismo hasta los años de la transición. Madrid: Sílex. |
|
|
Cavallaro, M. E. (2013). La Francia di Giscard d’Estaing da madrina ad ostacolo dell’integrazione della Spagna in Europa. En M. E. Cavallaro y G. Levi (eds.). Italia e Spagna nel processo di integrazione europea, 1950-1992 (pp. 99-121). Soveria Mannelli: Rubbettino. |
|
|
Cohen, E. (1992). Le Colbertisme «high tech». Économie des Telecom et du Grand Projet. Paris: Hachette. Disponible en: https://doi.org/10.3917/hache.cohen.1992.01. |
|
|
Crespo, J. (2004). España en Europa, 1945-2000. Del ostracismo a la modernidad. Madrid: Marcial Pons. |
|
|
Dänzel-Kantof, B. y Torres, F. (2013). L’énergie de la France: du Zoé aux EPR, une histoire du programme nucléaire français. Paris: F. Bourin. |
|
|
De Diego, E. (1995). Historia de la industria en España: la electrónica y la informática. Madrid: Escuela de Organización Industrial. |
|
|
De la Torre, J. y Rubio-Varas, M. (2018). Learning by Doing: The First Spanish Nuclear Plant. Business History Review, 92, 29-55. Disponible en: https://doi.org/10.1017/S0007680518000053. |
|
|
Delgado, L. y López, S. M. (eds.) (2019). Ciencia en Transición. El lastre franquista ante el reto de la modernización. Madrid: Sílex. |
|
|
Delgado, L., Martín, R. y Pardo, R. (eds.) (2016). La apertura internacional de España. Entre el franquismo y la democracia, 1953-1986. Madrid: Sílex. |
|
|
Díez, L. (2011). Las cloacas de la Transición. Madrid: Espasa. |
|
|
Dumas, R. (1996). Le fil et la pelote. Mémoires. Paris: Plon. |
|
|
Dumas, R. (2007). Affaires étrangères, vol. 1. 1981-1988. Paris: Fayard. |
|
|
Étienvre, J. P. y Urquijo, J. R. (eds.) (1989). España, Francia y la Comunidad Europea. Madrid: Casa de Velázquez; CSIC. |
|
|
Favier, P. y Martin-Roland, M. (1990). La décennie Mitterrand (Vol.1. Les ruptures, 1981-1984; Vol.2. Les épreuves, 1984-1988). Paris: Points. |
|
|
Fernández de Sevilla, T. (2017). Growth amid a storm: Renault in Spain during the stagflation crisis, 1974-1985. Business History 59 (1), 121-140. Disponible en: https://doi.org/10.1080/00076791.2016.1223050. |
|
|
Fernández Soldevilla, G. (2016). La voluntad del «gudari»: génesis y metástasis de la violencia de ETA. Madrid: Tecnos. |
|
|
Fernández, D. y Matías, G. (2006). Ajuste estructural de la economía española y negociaciones con las Comunidades Europeas durante el primer gobierno socialista (1982-1985). Historia del Presente, 8, 40-60. |
|
|
Fisas, V. (1988). Las exportaciones españolas de armamento a América Latina en la década de los ochenta. Revista CIDOB d’Afers Internacionals, 14-15, 41-62. |
|
|
Fisas, V. (1991). Las armas de la democracia: Exportaciones españolas de armamento. Barcelona: Crítica. |
|
|
Fonteneau, A. y Muet, P. A. (1985). La gauche face à la crise. Paris: Presses de la Fondation Nationale des Sciences Politiques. |
|
|
Fornés, J. (2016). De la práctica a la profesión. Los informáticos en España, 1950-1982 [tesis doctoral]. Universitat Autònoma de Barcelona. |
|
|
Gabriel-Oyhamburu, K. (2015). Du nationalisme au terrorisme basque: pourquoi l’hystérèse de l’ETA. Paris: L’Harmattan. |
|
|
García Alonso, J. M. (2010). La base industrial de la Defensa en España. Madrid: Ministerio de Defensa. |
|
|
García Crespo, G. (2019). «Contra viento y marea». La mediación del Conseil National du Patronat Français en defensa de la entrada de España en el Mercado Común (1976-1986). Comillas Journal of International Relations, 14, 81-100. Disponible en: https://doi.org/10.14422/cir.i14.y2019.007. |
|
|
González, F. (2003). Memorias del futuro, reflexiones sobre el tiempo presente. Madrid: Aguilar. |
|
|
González-Fernández, A. (2018). «La tutela europea». Estereotipos, enfoques y estrategias para la integración ibérica en las comunidades europeas (1977-1985). Mélanges de la Casa de Velázquez, 48 (1), 287-308. Disponible en: https://doi.org/10.4000/mcv.8087. |
|
|
Guerra, A. y Tezanos J. F. (eds.) (1992). La década del cambio. Diez años de Gobierno socialista (1982-1992). Madrid: Sistema. |
|
|
Hecht, G. (2004). Le rayonnement de la France. Énergie nucléaire et identité nationale après la Seconde Guèrre Mondiale. Paris: Éditions La Découverte. |
|
|
Jacob, J. E. (1994). Hills of conflict: Basque nationalism in France. Reno: University of Nevada. |
|
|
Jones, G. (2005). Multinationals and global capitalism from the nineteenth to the twenty-first century. Oxford: Oxford University Press. |
|
|
Jones, G. (2014). Firms and Global Capitalism. En L. Neal y J. G. Williamson (eds.). The Cambridge History of Capitalism, vol. 2. The Spread of Capitalism: from 1848 to the present (pp. 169-200). Cambridge: Cambridge University Press. Disponible en: https://doi.org/10.1017/CHO9781139095105.006. |
|
|
Lemus, E. (2005). Las posiciones francesas ante la desaparición de Franco y el establecimiento de la monarquía. Historia del Presente, 6, 61-84. |
|
|
Lemus, E. (2011). Estados Unidos y la Transición española. Entre la Revolución de los Claveles y la Marcha Verde. Madrid: Sílex. |
|
|
López, S. M. (1994). Los precedentes de la informática y la automática en España (1925-1971). En Tècnica i societat en el món contemporani (pp. 255-262). Sabadell: Museu d’Història de Sabadell. |
|
|
López, S. M., Molero, J. y Santos-Arteaga, J. (2011). Poverty traps in a frictionless world: The effects of learning and technology assimilation. Structural Change and Economic Dynamics, 22, 106-115. Disponible en: https://doi.org/10.1016/j.strueco.2010.12.001. |
|
|
Maclean, M. (ed.) (1998). The Mitterrand Years. Legacy and Evaluation. Houndmills; London: Palgrave MacMillan. Disponible en: https://doi.org/10.1007/978-1-349-26395-0. |
|
|
Marín, J. M. (2008). Los socialistas en el poder (1982-1986). Historia y Política, 10, 43-71. |
|
|
Martín Arce, J. M. (2006). La fase dura de la reconversión industrial: 1983-1986. Historia del Presente, 8, 61-101. |
|
|
Martín García, Ó. (2010). Emisarios de la Moderación. La diplomacia pública británica ante el fin de las dictaduras ibéricas. Hispania, 242, 789-816. Disponible en: https://doi.org/10.3989/hispania.2012.v72.i242.387. |
|
|
Martín García, Óscar J. y Ortiz Heras, M. (coords.) (2010). Claves internacionales en la transición española. Madrid: Los libros de la Catarata. |
|
|
Milner, Helen (1992). International Theories of Cooperation among Nations: Strengths and Weaknesses, World Politics, 44, 466-496. Disponible en: https://doi.org/10.2307/2010546. |
|
|
Miralles, M. y Onetti, A. (2006). GAL: la historia que sacudió al país. Madrid: La Esfera de Los Libros. |
|
|
Mitterrand, F. (1986). Réflexions sur la politique extérieure de la France. Introduction à ving-cinq discours (1981-1985). Paris: Fayard. |
|
|
Molina, S. (2018). La construcción del enemigo. Francia, España y el problema agrario, 1968-1977. Pasado y Memoria. Revista de Historia Contemporánea, 17, 453-477. |
|
|
Molina, S. (2020). ¿Competitivas o complementarias ? El debate agrario español en la transición democrática, 1975-1982. Historia Agraria, 80, 177-207. Disponible en: https://doi.org/10.26882/histagrar.080e06m. |
|
|
Morán Blanco, S. (1997). ETA entre España y Francia. Madrid: Complutense. |
|
|
Morán López, F. (1990). España en su sitio. Barcelona: Plaza y Janés. |
|
|
Moreno, A. (2010). Por fin Europa: la transición y el camino hacia la adhesión a la CEE. En S. Forner (ed.). Coyuntura Internacional y política española, 1898-2004 (pp. 177-200). Madrid: Biblioteca Nueva; Universidad de Alicante. |
|
|
Moruzzi, J. F. y Boulaert, E. (1988). Iparretarrak: separatisme et terrorisme en pays basque français. Paris: Plon. |
|
|
Muñoz, A. (2012). El amigo alemán: el SPD y el PSOE de la dictadura a la democracia. Barcelona: RBA. |
|
|
Narula, R. y Dunning, J. (2010). Multinational Enterprises, Development and Globalization: Some Clarifications and a Research Agenda. Oxford Development Studies, 38, 263-287. Disponible en: https://doi.org/10.1080/13600818.2010.505684. |
|
|
Núñez, V. (2013). Entre la reforma y la ampliación (1976-1986). Las negociaciones hispano-comunitarias en tiempos de transición y approfondissement [tesis doctoral]. Universidad Complutense de Madrid. |
|
|
Ortuño, P. (2005). Los socialistas europeos y la transición española, 1959-1977. Madrid: Marcial Pons. |
|
|
Pardo, R. (2011). La política exterior de los gobiernos de Felipe González: ¿un nuevo papel para España en el escenario internacional. Ayer, 84, 73-97. |
|
|
Pereira J. C. (2004). El factor internacional en la transición española: la influencia del contexto internacional y el papel de las potencias centrales. Studia Historica. Historia Contemporánea, 22, 185-224. |
|
|
Pereira J. C. y Fernández, J. M. (dirs.) (2016). La política exterior y la dimensión internacional de la Transición española. Testigos y protagonistas (1976-1996). Madrid: Thomson Reuters-Aranzadi. |
|
|
Pérez, J. A. (2011). Una sociedad en transformación (1982-1996). Ayer, 84, 99-127. |
|
|
Powell, Ch. (2003). España en Europa: de 1945 a nuestros días. Ayer, 49, 81-119. |
|
|
Powell, Ch. (2011). El amigo americano. España y Estados Unidos: de la dictadura a la democracia. Barcelona: Galaxia Guttenberg. |
|
|
Puig, N. y Álvaro, A. (2015). La huella del capital extranjero en España: un análisis comparado. Revista de Historia Industrial, 58, 249-285. |
|
|
Puig, N. y Castro, R. (2009). Patterns of Internacional Investiment in Spain, 1850-2005. Business History Review, 83, 505-537. Disponible en: https://doi.org/10.1017/S0007680500002981. |
|
|
Reventós, J. (1993). Misión en Paris. Memorias de un embajador. Barcelona: Península. |
|
|
Rodríguez, F. J., Delgado, L. y Cull, N. J. (2015). US Public Diplomacy and Democratization in Spain. Selling democracy? New York: Palgrave MacMillan. |
|
|
Ross, G., Hoffmann, S. y Malzacher, S. (1988). El experimento Mitterrand. Valencia: Edicions Alfons El Magnànim. |
|
|
Sabaté, O. (2015). Military spending, institutional stability and fiscal capacity. Spain in comparative perspective (1850-2009) [tesis doctoral]. Universitat de Barcelona. |
|
|
Sachs, J. y Wyplosz, Ch. (1986). The Economic Consequences of President Mitterrand. Economic Policy, 1 (2), 261-306. Disponible en: https://doi.org/10.2307/1344559. |
|
|
Sánchez, E. M. (2006). Rumbo al Sur. Francia y la España del desarrollo. Madrid: CSIC. |
|
|
Sánchez, E. M. (2015). French Military Action in Spain from Dictatorship to Democracy: Arms, Technology and Convergence. Journal of Contemporary History, 50, 376-399. Disponible en: https://doi.org/10.1177/0022009414551104. |
|
|
Sánchez, E. M. (2016). Francia y la España del tardofranquismo y la transición. Sinergias económicas en un marco de cambio político, 1970-1986. Hispania, 254, 847-882. Disponible en: https://doi.org/10.3989/hispania.2016.024. |
|
|
Sánchez, E. M. (2017). An alternative Route? France’s Position in Spanish Nuclear Program, c.1950s-1980s. En M. Rubio, y J. De la Torre (eds.). The Economic History of Nuclear Energy in Spain (pp. 155-186). Cham: Palgrave MacMillan. Disponible en: https://doi.org/10.1007/978-3-319-59867-3_6. |
|
|
Sánchez, E. M. (2019). Francia, las Fuerzas Armadas españolas y el suministro de aviones Mirage. Ayer, 116, 77-104. |
|
|
Solchaga, C. (1997). El fin de la edad dorada. Madrid: Taurus. |
|
|
Soto, Á. (2005). Transición y cambio en España, 1975-1996. Madrid: Alianza. |
|
|
Soto, Á. (2006). Felipe González, más reformista que socialdemócrata. Balance de una gestión. Historia del Presente, 8, 17-37. |
|
|
Soto, Á. (2010). Dictadura franquista y democracia. Barcelona: Crítica. |
|
|
Trouvé, M. (2005). Une querelle agricole: le Midi de la France et l’adhésion de l’Espagne à la CEE (1975-1986). Annales du Midi: revue archéologique, historique et philologique de la France méridionale, 250, 203-227. Disponible en : https://doi.org/10.3406/anami.2005.7090. |
|
|
Trouvé, M. (2008). L’Espagne et l’Europe. De la dictature de Franco à l’Union Européenne. Bruxelles: PIE Peter Lang. |
|
|
Trouvé, M. (2011). François Mitterrand et l’Espagne (1981-1995). Matériaux pour l’Histoire de Notre Temps, 101-102, 17-19. Disponible en : https://doi.org/10.3917/mate.101.0005. |
|
|
Tusell, J. y Paniagua, J. (2008). La España democrática: la transición a la democracia, consolidación de la democracia. El Gobierno socialista. Madrid: El País. |
|
|
Urigüen, N. (2018). A imagen y semejanza: la democracia cristiana alemana y su aportación a la transición española. Madrid: CSIC. |
|
|
Védrine, H. (1996). Les mondes de François Mitterrand. À l’Élysée, 1981-1995. Paris : Fayard. |
|
|
Viñas, Á. (2003). En las garras del águila: los pactos con Estados Unidos, de Francisco Franco a Felipe González (1945-1995). Barcelona: Crítica. |
|
|
Virard, M. P. (1993). Comment Mitterrand a découvert l’économie. Paris: Albin Michel. |
|
|
Vorms, Ch. y Aguilar, M. Á. (2003). 1983-2003. Veinte años de diálogo hispano-francés. Vingt ans de dialogue franco-espagnol. Madrid: Asociación Diálogo. |