Estudios
CIUDAD Y TERRITORIO
ESTUDIOS TERRITORIALES
ISSN(P): 1133-4762; ISSN(E): 2659-3254
Vol. LVI, Nº 222, invierno 2024
Págs. 1193-1216
https://doi.org/10.37230/CyTET.2024.222.6
CC BY-NC-ND
![]()
Líneas estratégicas e indicadores para integrar la perspectiva de género en el planeamiento: documento de aprobación inicial del Plan General de Ordenación Municipal de Narón (Galicia)
María Carreiro-Otero (1)
Cándido López-González (2)
(1) (2) Profesor/a de la Escuela Técnica Superior de Arquitectura
(1) (2) Universidade da Coruña (UDC)
Resumen: Los estudios sobre género y urbanismo evidencian la omisión de las tareas de cuidados en la organización de la ciudad moderna. Solventar esta carencia requiere integrar la perspectiva de género en el planeamiento, una cuestión aún en fase de desarrollo. Para sistematizar el contenido urbanístico que permita su total incorporación se propone una guía definida a partir de un conjunto de diez líneas estratégicas, dotadas con un total de treinta y dos indicadores. Al aplicarla al documento de aprobación inicial del plan general de Narón, sistemática y selectivamente, se ha podido constatar su validez como herramienta tanto para preparar y redactar el planeamiento, como para evaluar su contenido a través del informe de impacto de género.
Palabras clave: Impacto de género; Líneas estratégicas; Perspectiva de género; Planeamiento urbano; Urbanismo.
Strategic lines and indicators for integrating the gender perspective: the document for the initial approval of the Narón General Plan (Galicia)
Abstract: The omission of caring tasks in the organisation of the modern city is highlighted in studies on gender and urban planning. Overcoming this shortcoming requires the integration of a gender perspective in planning, an issue that is still in its infancy. A guide is proposed, based on a set of ten strategic lines with a total of thirty-two indicators, in order to systematise the content of urban planning so that it can be fully integrated. Through its systematic and selective application to the first approval document of the General Plan of Narón, we have confirmed its effectiveness as a tool both for the preparation and drafting of the plan, as well as for the evaluation of its content through the gender impact report.
Keywords: Gender impact; Strategic lines; Gender mainstreaming; Urban planning; Urbanism.
Recibido: 07.12.2023; Revisado: 03.06.2024
Correo electrónico (1): maria.carreiro@udc.es N.º ORCID: http://orcid.org/0000-0001-6351-7902
Correo electrónico (2): candido.lopez@udc.es Nº ORCID: http://orcid.org/0000-0003-3388-6859
Los/as autores/as agradecen las críticas constructivas recibidas, comentarios y sugerencias realizados por las personas evaluadoras anónimas, que han contribuido a mejorar y enriquecer el manuscrito original.
1. Marco teórico y contexto
La ciudad alemana de Bad Godesberg acogió en 1962 el Primer Congreso Internacional Femenino, promovido por el Ministerio de Construcción de Alemania Federal. Al tratar asuntos como “la creación de parques infantiles cercanos a los grupos de vivienda, el trazado de caminos directos desde las escuelas, sin cruzar las vías de tráfico...” (Arregui Cruz-López, 1964), abrió un debate sobre la relación entre arquitectura, género y urbanismo que seguimos tratando de asentar transcurridos ya más de sesenta años.
Esa acción, aislada y sin efectos inmediatos conocidos, constituye un antecedente de los estudios sobre género y urbanismo que, iniciados en los años setenta del siglo XX, se extienden hasta la actualidad bajo el amparo de ciencias como la antropología, la geografía, la sociología o la urbanística, campo en el que se inscribe este artículo (Booth & Darke & Yeandle, 1998; Eichler, 1996; Greed, 1994; Greed & Roberts, 2014; Hapgood & Getzels,1974; Hayden, 1980; Kern, 2021; Peterson & Wekerle & Morley, 1978; Roberts,1991; Roberts & al.,1984; Roberts & Greed, 2001; Sánchez de Madariaga, 2000; Sánchez de Madariaga & Roberts, 2013; Spain, 2014; Wekerle & Peterson & Morley, 1980; Wekerle, 1980; World Bank, 2020). Todos ellos inciden en el impacto que la ordenación urbana ejerce en la vida de las mujeres y, por ende, de todas aquellas personas dependientes, al margen de su edad y sexo. Coinciden en el diagnóstico: el modelo de ciudad moderna, formulado a lo largo del siglo XX, omite las tareas de cuidados y su efecto en el uso de la ciudad. Esta se ha conformado con una zonificación ajustada a la triada ocio-trabajo-descanso del rol productivo, que corresponde a una distribución del día en franjas de 8 horas correlativas. Este perfecto triángulo desconsidera el rol reproductivo, referido al trabajo de los cuidados -no remunerado y remunerado-, realizado fundamentalmente por mujeres: las tareas domésticas, las compras de alimentación, menaje y ropa, las tareas de crianza y atención/acompañamiento a dependientes. Una situación vigente a día de hoy, tal y como recoge el informe Sagnier (2018). En este, los datos señalan que en parejas con trabajos remunerados, las mujeres realizan el 74 % de las tareas domésticas frente al 26 % de las que se ocupan los varones. Una situación que transforma el triángulo equilátero en un polígono irregular (Fig. 1).
El diagnóstico apunta a un necesario cambio de modelo que ha de reconocer, y recoger, las necesidades derivadas del trabajo reproductivo y, por tanto, del modo en que las mujeres viven en la ciudad (Gilroy & Booth, 2004). Un nuevo modelo que requiere incorporar la perspectiva de género en el planeamiento y el diseño urbano. Son pocos, sin embargo, los ejemplos que dan cuenta de ello. De ahí que las intervenciones conocidas como Frauen Werk Stadt I -actual Margarete Schütte-Lihotzky Hof-, Frauen Werk Stadt II, la reordenación urbana del distrito de Mariahlif o la reurbanización de parques infantiles realizadas en Viena1 entre 1992 y 2004 se consideren ejemplos de buenas prácticas a nivel internacional (Bauer, 2009; Ciudad de Viena, 1996; Gruber, 2018; Horelli, 2017; Jackowska & Novás, 2023; Kail & Irschik, 2007; Ullman, 2013, 2020).

Fig. 1 / El modelo funcional de referencia del urbanismo moderno (triada productiva) y el modelo inclusivo contemporáneo con las tareas de cuidados (triada reproductiva)
Fuente: Elaboración propia
Al centrar la mirada en España, se observa que dichos estudios comienzan en la última década del siglo XX (Sánchez de Madariaga & Novella-Abril, 2020). Entre ellos, un primer proyecto coordinado por Anna Bofill entre 1996 y 1999: “Las mujeres y la ciudad” (Bofill Levi & al., 1998). Debe añadirse la constitución, en 1999, del grupo de investigación Generourban, de la Escuela de Arquitectura de la Universidad Politécnica de Madrid, ETSA-UPM, antecedente de la actual Cátedra UNESCO de Género de la UPM, uno y otra bajo la dirección de Inés Sánchez de Madariaga.
Entrando en el siglo XXI se incrementan notablemente las aportaciones a este campo de estudio (Sánchez de Madariaga, 2003, 2020). Inicialmente centradas en el diagnóstico y la reflexión teórica, han ido evolucionando hacia un enfoque propositivo, tratando de determinar indicadores objetivos con los que abordar el planeamiento desde la perspectiva de género (Álvarez & Gómez, 2017; Bofill, 2008; Carreiro & López, 2015; Hiria Kolektiboa, 2010; Innerarity Grau & Acha Ugarte & Sancho Martínez, 2020; Paricio, 2019; Sánchez de Madariaga, 2006). Sin embargo, pese a esta andadura de casi treinta años, los estamentos académico, político-administrativo y profesional muestran una clara reticencia ante sus postulados. En el contexto de las Escuelas de Arquitectura, la perspectiva de género como un factor determinante del hecho urbano apenas se recoge en la información pública de las materias de urbanismo (Rodríguez-Rojas & Vilchez-Strivens & Abarca-Álvarez, 2023) y proyectos arquitectónicos.2 Tampoco forma parte del cuerpo legislativo de la ordenación urbanística, ya que los avances se vienen produciendo de manera indirecta, a través de las normas de igualdad (Sánchez de Madariaga & Neuman, 2016; Seisdedos Alonso & Sánchez de Ron, 2023). De hecho la Ley 30/2003, de 13 de octubre, sobre medidas para evaluar el impacto de género en las disposiciones normativas “no tuvo ningún impacto en la planificación urbanística”, tal y como señalan Sánchez de Madariaga & Novella (2020). Podría pensarse que dicha evaluación se introduce mediante los informes de impacto de género mencionados en el artículo 26. f) de la “Disposición Final tercera de la Ley 40/2015, de Régimen Jurídico del Sector Público (LRJSP)”. Una ley que, sin embargo, carece de efecto sobre el planeamiento si, jurídicamente, este no se interpreta como una norma, sino como un acto administrativo (Tolosa-Tribiño, 2020).
Debe incidirse que, siendo las comunidades autónomas responsables de las políticas de ordenación del territorio y urbanismo, hasta la fecha, de las diecisiete han ligado género y urbanismo (Bermejo Lorenzo & Fernández García, 2022) a través de su legislación un conjunto de nueve: Andalucía, Aragón, Cataluña, Comunidad Balear, Comunidad Canaria, Extremadura, Galicia, País Vasco y Valencia. Y de estas, muestran su compromiso publicando guías y manuales de referencia para su ámbito territorial, cuatro: Cataluña, Extremadura, País Vasco y Valencia. En el resto, la relación género-urbanismo/planeamiento posee un carácter más formal que real.
En estas circunstancias, ¿qué puede esperarse de la esfera profesional? Si la perspectiva de género aún no forma parte de los programas académicos, y no se ha erigido en exigencia normativa está, en consecuencia, prácticamente ausente de la faceta profesional. Y con ello, el informe de impacto de género tiende a convertirse, aun siendo preceptivo, en un ‘papel’ más a cubrir, falto de contenido.
A la reticencia observada para vincular perspectiva de género y urbanismo, se suman tres escollos más. El primero, la rigidez de la gestión urbanística (Benabent-Fernández de Córdoba, 2019), que dificulta el aplicar cambios de manera rápida, evaluar sus efectos y corregirlos. El segundo, la carencia de “criterios concretos para su materialización efectiva en los planes urbanísticos y territoriales” (Rando Burgos, 2019). Y el tercero, relacionado con el anterior, la indefinición del contenido y alcance del informe de impacto de género.
Tal y como sostiene Tolosa-Tribiño (2020), el informe de impacto de género, en la actualidad, ofrece un limitado alcance, tanto en los objetivos como en las determinaciones estructurales y de detalle del planeamiento. Se reduce, mayoritariamente, a un documento redactado con un lenguaje más o menos inclusivo, que incluye expresiones como ‘perspectiva de género’, ‘igualdad entre hombres y mujeres’, ‘ciudad inclusiva’ u otras similares. Sin entidad, por tanto, para conferir al uso de la ciudad unas condiciones de igualdad plena entre mujeres y varones. Por este motivo, semeja relevante definir su contenido, trasladando la perspectiva de género (Damyanovic, 2013) a la técnica urbanística con relación a:
– La revisión del programa dotacional urbano, incorporando el concepto de ‘infraestructuras para la vida cotidiana’ para atender a las nuevas necesidades de la ciudadanía (Horelli & Vespa, 1994; Gilroy & Booth, 1999; Sánchez de Madariaga, 2004).
– La expansión y la renovación del tejido edificado.
– La morfología urbana, al redefinir la tipología edificatoria, tanto residencial como de otros usos.
– Los sistemas de comunicaciones, de espacios libres y de equipamientos.3
Expuesta la situación, semeja pertinente definir una herramienta con la que afrontar tanto la redacción del planeamiento con Perspectiva de Género -PERGEN de ahora en adelante- como su evaluación. Para ello establecemos un soporte de trabajo a partir del estudio de dos informes de impacto de género, correspondientes a sendos planes de ordenación, para compararlos y establecer las similitudes de estructura y contenido entre ambos. Analizamos su relación con los diversos aspectos del planeamiento, para seguidamente formular las líneas estratégicas propias del urbanismo integrando la PERGEN: el tejido residencial, los sistemas de dotaciones y de espacios libres y zonas verdes, la movilidad, la gestión de residuos urbanos y la percepción de seguridad. La aplicación de dichas líneas a un caso práctico -el documento de aprobación inicial del Plan General de Ordenación Municipal de Narón- dará paso a las conclusiones.
2. Antecedentes. Dos ejemplos del empleo de la perspectiva de género en el planeamiento español
Como antecedentes de la aplicación de la PERGEN en el planeamiento, tomaremos dos documentos urbanísticos que se han acompañado de un informe de impacto de género: el Plan General de Ordenación Urbana (PGOU) de Irún y el Plan General Estructural (PGE) de Castellón. Uno, por ser el primer plan general que se dotó con un informe de impacto de género, redactado por un equipo profesional ‘especializado’. Y otro, por la naturaleza de su informe que, al integrar la componente profesional y la investigadora, ofrece una base sobre la que avanzar en la búsqueda de una herramienta de trabajo específica. Una somera descripción del contenido documental, de cada uno ellos, nos permitirá comparar su estructura organizativa. Nos proporcionará, asimismo, una aproximación a los aspectos afectados por el cambio de paradigma urbano que plantea la PERGEN en la elaboración del planeamiento.
Plan General de Ordenación Urbana de Irún
El País Vasco es una de las comunidades que viene desarrollando una sólida política de igualdad dentro del territorio español. Testigo de ello es que, a través de convocatorias públicas, el gobierno autónomo vasco impulsa –al menos desde el año 2012– los informes de impacto de género en el planeamiento. Esta medida explica por qué el primer plan general evaluado bajo la PERGEN se registró en esta comunidad. Nos referimos al “Diagnóstico, evaluación y adecuación del PGOU de Irún en relación a la igualdad de hombres y mujeres” redactado a partir del documento de aprobación inicial del PGOU de Irún, estando en fase de redacción el correspondiente al de la aprobación provisional prevista para 2013.
El índice, con los apartados del informe, resalta la definición de la PERGEN y su relación con el urbanismo, así como con la fase preliminar del planeamiento: los objetivos y el estudio del contexto socioeconómico de la población. Se registran seis apartados: cinco destinados a contextualizar, analizar y diagnosticar, apuntar medidas correctores, definir redacciones alternativas y sintetizar los resultados en el “informe de afección”, y un sexto con el que se evalúa el procedimiento seguido.
Las reflexiones y aportaciones de los documentos sectoriales que afectaban al planeamiento: el plan de movilidad urbana, la Agenda 21, el plan de igualdad municipal y el mapa de la ciudad prohibida (Fig. 2) se incorporan explícitamente en el segundo apartado, “Documento II. Análisis y diagnóstico”. En cuanto a las determinaciones urbanísticas del plan, se afrontaban de manera indirecta, mediante el análisis de la memoria de ordenación, de las normas urbanísticas y de los ámbitos de planeamiento, junto con la propuesta de medidas correctoras para las condiciones generales de edificación y uso de las parcelas edificables, y para las ordenanzas reguladoras.
El esquema del documento se sometía a la armazón documental del plan: memoria de información, diagnóstico, avance de planeamiento, documento de síntesis. Pero desconsideraba la imagen del espacio físico proyectado, la configuración de la ciudad en aquel momento -el presente de entonces- y las transformaciones derivadas de la PERGEN. Elaborado a partir del conocimiento y los criterios de los redactores, se centra en el caso concreto, de tal modo que para interpretarlo, ha de tenerse un conocimiento previo del contenido del PGOU. Sin dudar de su eficacia, por sí solo no semeja suficiente para establecer una herramienta con la que trazar un esquema genérico extrapolable a otro municipio y a otro tipo de planeamiento.
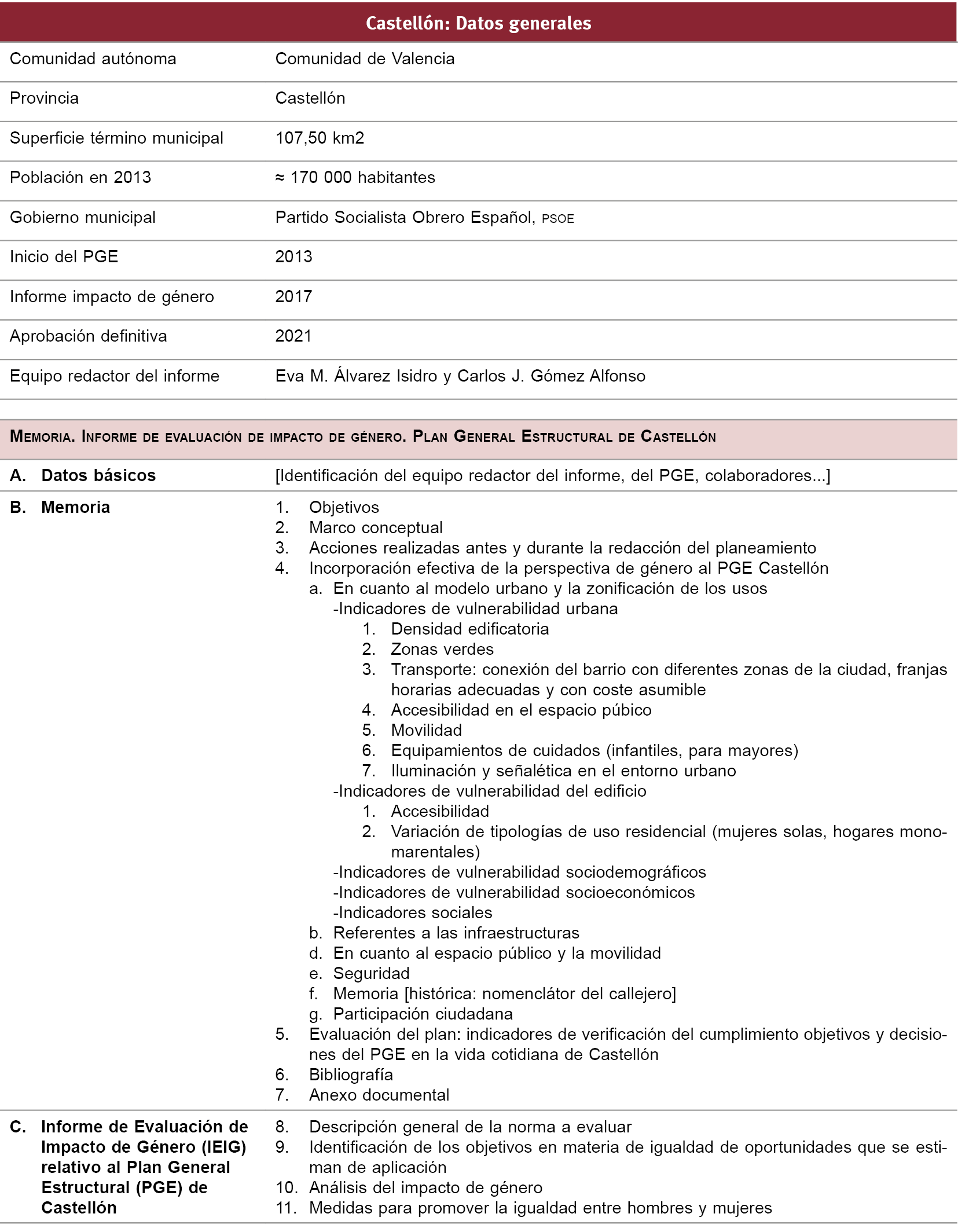
Plan General Estructural de Castellón
El Plan General Estructural de Castellón, PGE Castellón, ya contemplaba entre sus objetivos la incorporación de la PERGEN, por lo que previamente a su redacción se recopilaron datos estadísticos específicos, y se llevaron a cabo actividades de participación ciudadana, mediante jornadas y sesiones informativas. Igualmente se impulsó la coordinación entre el equipo redactor del planeamiento y el del informe de impacto de género. Este se desarrolló bajo el título “Memoria. Informe de evaluación de impacto de género” (Álvarez & Gómez, 2018), organizándose en tres partes. La parte A, datos básicos, identifica al personal implicado en la redacción del informe y del planeamiento. La parte “B. Memoria” engloba el proceso completo de análisis del planeamiento, cuyo diagnóstico se concreta en la última parte “C. Informe de Evaluación de Impacto de Género (IEIG) relativo al Plan General Estructural (PGE) de Castellón”.

Fig. 2 / Irún: datos generales y “Diagnóstico, evaluación y adecuación del Plan General de Ordenación Urbana (PGOU) de Irún en relación a la igualdad de hombres y mujeres”
Fuente: Elaboración propia
En relación con el objetivo perseguido, y en concomitancia con la síntesis descriptiva del documento referido al plan de Irún, nos serviremos de “B. Memoria” para desentrañar el contenido del informe de impacto de género. Esta memoria consta de siete apartados: los tres primeros con los objetivos, el marco conceptual y las acciones previas; el cuarto y el quinto con los campos evaluables y los indicadores para la evaluación y, finalmente, el sexto y el séptimo con la bibliografía y un anexo documental. De los siete, son especialmente significativos los apartados cuarto y quinto, dedicados a los indicadores que permiten desarrollar el plan urbanístico y evaluarlo (Fig. 3).

Fig. 3 / Castellón: datos generales y “Memoria. Informe de evaluación de impacto de género” del Plan General Estructural (PGE)
Fuente: Elaboración propia
La estructura de esta parte de la memoria permite extraer indicadores genéricos, de aplicación en otros casos. El documento aporta una aproximación inicial a un método de trabajo válido tanto para la elaboración del planeamiento con PERGEN como para la redacción del informe de impacto de género. No obstante, parece procedente clarificar la valoración del hecho físico desde el enfoque de género, influido por los sistemas estructurantes de la ciudad o las especificidades de algún tipo de suelo, como el industrial.
De Irún a Castellón
La comparación de las Figs. 2 y 3 evidencia la imposibilidad de establecer una lectura conjunta de los informes de Irún y Castellón. La organización de sus contenidos, reflejada en sus respectivos índices, señala la diversidad del contexto y del enfoque en la elaboración de uno y otro. Sin embargo, dado que persiguen un mismo fin, debería ser posible determinar los elementos de evaluación comunes a ambos.
Los epígrafes de la Fig. 4 señalan la coincidencia en seis factores. Dos de ellos idénticos: Objetivos, y Definiciones, y Conceptos o Marco conceptual. El primero derivado de la propia finalidad del informe: promover la igualdad de hombres y mujeres desde un documento urbanístico. El segundo, del enfoque común: la PERGEN, que al ser definida conceptualmente fija su alcance en relación con el planeamiento.
El tercer factor se refiere a la información con la que se obtiene el panorama socioeconómico del término municipal. Es imprescindible la desagregación de los datos por sexo, pero también resulta relevante establecer qué datos son necesarios. En este sentido, el informe de Castellón apunta que se deben identificar los patrones de uso de la ciudad por las mujeres, así como las relaciones forjadas entre los habitantes y el entorno construido.
El cuarto factor pone de relieve la movilidad y el efecto de los planes de movilidad urbana, junto con otros planes y/o proyectos sectoriales que influyen en los flujos de circulación y movimiento en el ámbito urbano. El quinto factor radica en la sostenibilidad, entendida en un sentido amplio: desde los aspectos generales hasta la elección de los materiales de la urbanización y el mobiliario urbano, preferentemente durable y de fácil mantenimiento y reposición. Y como último y sexto factor, la percepción de seguridad, que en Irún se ligaba a los criterios del mapa de la ciudad prohibida, y en Castellón a las recomendaciones generales para el diseño urbano.
Al relacionar estos seis factores con las tres facetas presentes en la ciudad (Capel, 2003): la gobernanza o polis, el conglomerado humano o civis y el espacio físico o urbs, se detecta el predominio de los aspectos políticos y sociales sobre el hecho material. Este no queda recogido explícitamente ni en los índices de Irún ni en los de Castellón, sino que se aborda a través de los epígrafes del documento de planeamiento. En este sentido, cabe avanzar que los informes han de valorar aquellos aspectos que influyen en la estructura formal y el diseño urbano, dado su impacto en la vida diaria de las personas y, desde la PERGEN, específicamente en la vida de las mujeres en la ciudad.
Por tanto, es conveniente incorporar la técnica urbanística referida al espacio físico, especialmente en las determinaciones de las dotaciones urbanas, sean espacios libres o construidos, del suelo industrial o de la vivienda, junto con aspectos ligados a la habitabilidad, como la movilidad o el mobiliario urbano.
3. Líneas estratégicas para un planeamiento con perspectiva de género
Más allá de ordenar la expansión urbana, el urbanismo contemporáneo tiene como misión mejorar las ciudades, perfeccionando su habitabilidad, su ser igualitario y su sostenibilidad. Una misión expresada a través del espacio construido coherentemente planificado (Carrero de Roa, 2009), que se afronta mediante lo que denominaremos líneas estratégicas (Romero Aloy & Vidal Climent, 2018). Unas líneas de actuación urbana que, desde la PERGEN, profundizan en los sistemas y el diseño urbano, la movilidad, la sostenibilidad o la tecnología, independientemente de la escala de la ciudad, de su contexto socioeconómico y/o geográfico, o de su representatividad en el área de influencia.
Las líneas estratégicas se categorizan en dos: básicas, relativas a las facetas políticas y cívicas; y temáticas, concernientes al espacio construido, tanto en los aspectos estructurales como en los morfológicos y en los de habitabilidad. Entre las primeras se incluye el modelo de ciudad con sus objetivos generales y concretos que, a su vez, determina el alcance de las segundas.
El conjunto PERGEN en su doble vertiente, como herramienta de análisis y transformación de la realidad y como factor que concierne a la construcción social, se integra en el urbanismo a partir de diez líneas. Las tres básicas integran otros tantos factores comunes de los informes de Irún y Castellón. La primera, el modelo de ciudad, con el que establecer los objetivos. La segunda, la participación ciudadana, como base para la lectura e interpretación de los estudios socioeconómicos. Y la tercera, la percepción de seguridad como fundamento para la ordenación y el diseño.

Fig. 4 / Factores comunes/similares en los informes de impacto de género del Plan General de Ordenación Urbana (PGOU) de Irún y del Plan General Estructural (PGE) de Castellón
Fuente: Elaboración propia
Las siete temáticas abordan el sistema de equipamientos y espacios libres, la movilidad aportada por el sistema viario, las determinaciones del suelo industrial, la gestión de residuos, la vivienda, el amueblamiento urbano y la representatividad en la señalización urbana.4 La totalidad de las líneas señaladas, básicas y temáticas, se concretan mediante treinta y dos indicadores que están presentes en las distintas fases del desarrollo urbanístico de la ciudad.
3.1. Líneas estratégicas básicas
A) Modelo de ciudad
Representa el eje rector de todo plan, ligado a la revisión y mejora de la situación de la ciudad existente. Combina los aspectos conceptuales y sociológicos con los estructurales y morfológicos, mediatizados por los recursos económicos disponibles. Se formula considerando el ámbito ya construido, una manufactura elaborada a lo largo del tiempo, con aciertos y errores. El epígrafe que desarrolla el modelo urbano debe concretarse para cada caso, a partir de los objetivos generales implícitos en la ciudad contemporánea y futura: ser accesible, igualitaria y sostenible, policéntrica y polifuncional.
Indicadores asociados:
1. Identificar las necesidades espaciales y urbanas de las mujeres e introducir las tareas de cuidados y los roles de género en la planificación urbana.
Efectos en la planificación: 5 en las secciones viarias, en la disposición de los equipamientos y servicios y en el desarrollo de los suelos industriales y logísticos.
2. Prever la descentralización funcional.
Efectos: evitar una calificación urbanística monofuncional de nodos comerciales; disponer los equipamientos y los espacios libres en los intersticios del tejido residencial existente y/o previsto; plantear recorridos cortos en el acceso a los diversos equipamientos y a los espacios libres de sistema local (Birche, M. & al. 2021).
B) Participación ciudadana
Completa y facilita la interpretación de los datos estadísticos y el estudio socio-demográfico. La participación colectiva se nutre con talleres de información y formación para la ciudadanía sobre conceptos urbanísticos básicos -por barrios o entidades vecinales-, y su influencia en la vida diaria, así como aquellos relacionados con la PERGEN. Esta información facilitará ‘leer’ los documentos del planeamiento con relación al uso de la ciudad, más allá de los intereses económicos. Dichos talleres permiten completar los datos extraídos de los institutos de estadística, contribuyendo a fijar los objetivos propuestos en el planeamiento. También coadyuvan a desentrañar las fricciones derivadas del solapamiento y superposición temporal entre el rol productivo y el reproductivo y su afección al planeamiento. Debe introducirse un inciso sobre los estudios sociológicos que acompañan a los planes generales. A partir de estos se fijan objetivos y se justifica el crecimiento y la expansión urbana, si bien sus previsiones a largo plazo pueden verse alteradas por el principio de incertidumbre al que también está sometida la vida en la ciudad. Por este motivo, los planes parciales y/o especiales –especialmente estos– han de fornecerse con los datos particulares del momento en que se desenvuelven.
Indicadores asociados:
3. Recopilar/disponer datos socioeconómicos desagregados por sexo.
Efectos: dotarse de un estudio socio-económico con datos de población, actividad económica y actividad de cuidados desagregado por sexos, junto con información sobre la vida de las mujeres en la ciudad, que contribuya a definir los objetivos del planeamiento.
4. Incluir la experiencia cotidiana de las mujeres.
Efectos: integrar en el planeamiento las propuestas basadas en la experiencia de las mujeres como usuarias de la ciudad: en el plan de movilidad, en la programación de las infraestructuras de lo cotidiano y los equipamientos públicos y privados, así como en las estipulaciones del diseño urbano y los procesos de urbanización. Ejemplo: propuestas sobre las características del espacio público usado como recorrido saludable –ubicaciones preferentes para colocar aparatos de ejercicio, áreas de sol y sombra, bancos, pavimentos-, los programas de necesidades de los equipamientos o los tipos de equipamientos demandados, la disposición de los contenedores de residuos, o los requerimientos dimensionales y de diseño en la relación entre los portales y la calle.
5. Incorporar los cuidados como actividad.
Efectos: vincular la información recabada con el plan de movilidad y estructurar la red de dotaciones públicas adecuadas al ámbito de planeamiento.
6. Organizar equipos técnicos paritarios y diversos para los talleres y la interpretación de los datos.
Efectos: fortalecer los equipos técnicos con miradas y experiencias diferentes y complementarias sobre el hecho urbano y su planificación.
C) Percepción de seguridad
La percepción de seguridad se logra con áreas plurifuncionales, espacios abiertos cuyos bordes evidencien el uso y el estar habitados, evitando las partes residuales, así como las tramas urbanas discontinuas con intersticios de bolsas de suelo no desarrollado (Michaud, 2003). Se vincula al mantenimiento del entorno y a los trayectos de paso. En el suelo urbano, el diagnóstico del hábitat permite identificar las zonas o los puntos que generan inseguridad. Al reconocerse pueden categorizarse y determinar sus características físicas, y con ello corregirlas y evitarlas en la medida de lo posible.
Indicadores asociados:
7. Integrar el diagnóstico del hábitat o mapa de la ciudad prohibida dentro del plan.
Efectos: identificar y catalogar los lugares que generan inseguridad, así como aquellos en los que se concentran delitos que afectan a mujeres. Contribuye también a determinar las características de dichos espacios, pudiendo así reformularse su diseño.
8. Definir las condiciones de iluminación y visibilidad aplicables al espacio público.
Efectos: generar recorridos seguros perceptual y visualmente, recogidos en el plan de movilidad.
9. Determinar las condiciones de seguridad que han de cumplir los trazados de las calles.
Efectos: evitar alineaciones ciegas prolongadas equivalentes a una o más manzanas.
10. Establecer las condiciones de seguridad del amueblamiento urbano y la vegetación para transmitir seguridad.
Efectos: evitar recodos, ángulos muertos de visión en los trazados definidos en los planes parciales y especiales, y en los proyectos de urbanización.
3.2. Líneas estratégicas temáticas
D) Equipamientos y espacios libres
Contribuyen a la habitabilidad de la ciudad y estructuran la trama urbana. La implantación de usos dentro de este sistema requiere revisar el listado de infraestructuras de lo cotidiano y del resto de equipamientos. Se recomienda calificarlos en el planeamiento general como ‘multifuncionales’ para adecuarlos a las carencias detectadas en el momento en que se desarrolle el sector, o en el que se disponga de la financiación y la oportunidad de mejorar las dotaciones existentes. Por otro lado, prever un listado de infraestructuras de lo cotidiano para cada área permitirá adecuar esas oportunidades de financiación a las necesidades de la población, evitando las situaciones sobrevenidas, provocadas por subvenciones o inversiones inesperadas que, en ocasiones, introducen piezas que no responden a una programación coherente. Equipamientos y espacios libres son complementarios en su disposición. Han de emplazarse, bien en ubicaciones centrales del sector al que atienden, especialmente si se categorizan como infraestructuras de lo cotidiano, o bien en posiciones en las que se mantenga una apropiada distancia física y temporal con el entorno al que sirven (Logan & al., 2022).
Indicadores asociados:
11. Definir los tipos de espacio libre público presentes en el ámbito urbano.
Efectos: disponer de un catálogo general de espacios libres para su cómputo en las cesiones dotacionales, con las definiciones de plaza, jardín, parque infantil, parque deportivo, parque saludable, o parque urbano que integre los anteriores parcial o totalmente.
12. Resolver la accesibilidad en el espacio libre y en la llegada/entrada a los elementos construidos.
Efectos: valorar las condiciones topográficas en el diseño del espacio público, disponiendo los elementos arquitectónicos y mecánicos adecuados para facilitar la vida diaria, según la realidad física y social.
13. Implantar infraestructuras que respondan a los roles de género y a las tareas de cuidados.
Efectos: revisar el catálogo de equipamientos, para incorporar nuevos usos o reincorporar otros como los aseos públicos.
14. Idear equipamientos para la conciliación familiar, que atiendan a la infancia, adolescencia, o a las personas mayores y, a la vez, complementen a los centros educativos o asistenciales clásicos.
Efectos: revisar el catálogo de equipamientos, acomodándolos a las necesidades de los sectores y barrios.
E) Movilidad
El término incluye el ‘sistema de comunicaciones’ o red viaria, y la sección que va adoptando en las distintas situaciones del ámbito urbano, la accesibilidad peatonal física y/o mecánica, las conexiones con vehículos de uso personal, los puntos de intermodalidad y el transporte público. El trazado de las calles y de la sección viaria, así como la continuidad en los recorridos, contribuyen a compaginar los roles productivo y reproductivo. Exige la coordinación entre el plan de movilidad y el planeamiento urbano. La movilidad en el uso diario mejorará si el plan de movilidad incorpora en su redacción la PERGEN, que habrá permitido detectar las carencias existentes.
Indicadores asociados:
15. Diseñar el viario teniendo en cuenta los recorridos realizados en las tareas de cuidados y en los usos de la vida cotidiana.
Efectos: dimensionar y organizar las secciones viarias atendiendo al tránsito de personas que acompañan a otras, que caminan con bolsas, con carros de compra.
16. Incorporar itinerarios peatonales, ciclables y de vehículos de transporte personal -VTP-.
Efectos: dimensionar, jerarquizar y organizar las secciones viarias.
17. Revisar la ubicación de las paradas del transporte público, atendiendo a los usos y características funcionales del entorno, así como estaciones de VTP –bicicletas y patinetes–.
Efecto: organizar la calle y los recorridos viarios.
18. Diseñar paradas que atiendan a la diversidad de usuarias/os y a las circunstancias y recorridos ligados a las tareas cuidados.
Efectos: incidir en el catálogo del mobiliario urbano
F) Suelo industrial
La igualdad laboral entre mujeres y varones, así como el desempeño híbrido del rol productivo-reproductivo introducen cambios en las necesidades dotacionales del suelo industrial. Se observa la necesidad de incorporar espacios libres y equipamientos asistenciales que faciliten la conciliación de la vida personal y laboral de un modo amplio, como pueden ser guarderías, centros de día para dependientes y/o centros de conciliación.
Indicadores asociados:
19. Conocer la composición y el perfil de las y los trabajadores de los polígonos industriales.
Efectos: reunir información para determinar las dotaciones asociadas a estas bolsas de suelo.
20. Incorporar equipamientos públicos que contribuyan a la conciliación familiar y laboral.
Efectos: dotar al suelo industrial con equipamientos de carácter asistencial y educativo.
21. Propiciar la diversidad de usos.
Efectos: ampliar el catálogo de usos con aquellos compatibles con la industria y la logística.
G) Residuos sólidos urbanos
La ciudadanía actúa como agente activo en el reciclaje y la separación de residuos, labor que se facilita sumando los minipuntos limpios al catálogo de infraestructuras para la vida cotidiana. Su incorporación en el paisaje urbano exige definir los tipos de islas para los contenedores y establecer, en consecuencia, las reservas de suelo público, o las servidumbres y reservas de superficie a cubierto en las plantas bajas de los edificios.
Indicadores asociados:
22. Identificar las zonas en las que se deben disponer los contenedores de residuos, considerando que a ellos acudirán, principalmente, quienes realicen las tareas de cuidados.
Efectos: incluir esta información en la memoria de estado ‘actual’ de los proyectos de urbanización, sobre todo los que afectan a áreas consolidadas.
23. Establecer reservas de suelo y servidumbres en espacios a cubierto para minipuntos limpios que faciliten el reciclaje y/o la reutilización de productos.
Efectos: integrar estas reservas en los planes parciales y los planes especiales.
24. Generar islas de colectores para el depósito de residuos, cuidando su disposición en relación con las aceras y los pasos de peatones.
Efectos: mejorar el reciclaje de los hogares.
H) Vivienda
Esta línea afecta a las promociones de viviendas, sean públicas o privadas. Deben responder a programas no estandarizados,6 junto con el uso residencial en las plantas bajas u otros usos colectivos. Afecta a los parámetros del uso residencial, en la medida en que propicie que los patios interiores puedan nacer de la planta baja, para facilitar la habitabilidad de los locales ubicados en ese nivel, así como su posible pertenencia a los espacios comunes del edificio.
Indicadores asociados:
25. Flexibilizar las tipologías conforme a las diversas estructuras familiares y sociales.
Efectos: contemplar en las ordenanzas la diversidad del programa funcional de la residencia colectiva, complementariamente a la organización estrictamente normativa, bajo la denominación que corresponda; y definir, en la memoria y las ordenanzas, el programa de vivienda al que se aspira.
26. Aplicar criterios de diseño que incluyan el ciclo de mantenimiento del ajuar doméstico y de la limpieza,7 para favorecer las tareas de cuidados y el reparto de las tareas domésticas.
Efectos: definir, en la memoria y las ordenanzas, los programas de vivienda a los que se aspira.
27. Dotar de accesibilidad a los inmuebles y las viviendas existentes.
Efectos: recoger en la memoria y las ordenanzas las medidas a implementar, incluso las excepciones a las normas de habitabilidad y/o las alternativas propuestas desde la municipalidad.
28. Integrar viviendas públicas en la trama consolidada.
Efectos: recoger en la memoria descriptiva y justificativa los instrumentos que permitan adquirir vivienda pública en el tejido consolidado -convenio, concesión, donación-; y determinar el porcentaje de vivienda social dentro de los sectores residenciales en desarrollo.
I) Amueblamiento urbano
Contribuye a la habitabilidad y sostenibilidad de los espacios libres, así como a la legibilidad de los barrios. Las características formales del mobiliario -funcional y confortable- y de su ubicación -no invasiva ni meramente decorativa- deben forman parte de las estipulaciones generales de los proyectos de urbanización, asociados al planeamiento sectorial y al diseño urbano previsto en los procesos de reurbanización.
Indicadores asociados:
29. Identificar el amueblamiento-obstáculo para reubicarlo y/o eliminarlo.
Efectos: incluir en los proyectos de reurbanización un apartado con la información pormenorizada de la situación de partida.
30. Estudiar la escala y dimensiones del mobiliario urbano.
Efectos: valorar el tipo de mobiliario urbano seleccionado en relación con la extensión del espacio a urbanizar, con su tipología y con el entorno humano.
J) Representatividad en la señalización urbana
Determina la adecuación de los pictogramas, señales y elementos representativos a los diversos colectivos ciudadanos, tratando de poner en valor las aportaciones del sexo infrarrepresentado. La señalética contribuye a la lectura del lugar y al reconocimiento y orientación en el espacio público. La administración local debe considerar estos aspectos en el momento de desarrollar los proyectos de urbanización y reurbanización.
Indicadores asociados:
31. Potenciar la presencia simbólica y la representación de las mujeres en la ciudad
Efectos: establecer mecanismos de coordinación con otros servicios municipales para ubicar estatuas y o esculturas de homenaje y recuerdo.
32. Promover un lenguaje visual no discriminatorio en la iconografía.
Efectos: incluir en las ordenanzas referencias a la iconografía presente en los lugares públicos.
4. El caso de Narón: la perspectiva de género en el Plan General
Frente a las situaciones planteadas en Irún y Castellón, expondremos el proceso seguido al afrontar el encargo del informe de impacto de género del plan general de Narón, una situación diferente de las anteriores, tanto por el proceso de desarrollo del planeamiento, como por la extensión municipal.
El ayuntamiento de Narón (Fig. 5) inició en 2009 la revisión del planeamiento. Un proceso que se fue interrumpiendo sucesivamente, conforme se iba modificando la legislación urbanística autonómica. Y así hasta el año 2021, en que se presentó el documento de aprobación inicial, DAI-2020, para su informe por los servicios municipales.
En ese período el ayuntamiento se dotó de un plan de igualdad, II Plan de Igualdade do Concello de Narón (naron.es). En este se reconoce que “la transversalidad debe ser el principio que vertebre su diseño, y el Plan, a su vez, debe incluirse también transversalmente en la planificación del resto de las áreas del ayuntamiento, de modo que sea posible articular una planificación rectora trabada por la igualdad”. Con estas premisas se optó por requerir la evaluación del documento urbanístico desde la PERGEN. El informe elaborado parte, por tanto, del documento de aprobación inicial, DAI-2020.
4.1. Preliminares
La elaboración del informe se inicia con el estudio del documento a evaluar, a través de cinco pasos: un examen material del documento (a), un registro de la normativa de referencia aplicada (b), una búsqueda de palabras clave en relación con el objeto del informe (c), una revisión somera y aleatoria sobre la inclusividad del lenguaje (d), y una comprobación del epígrafe con las definiciones y los conceptos del documento generales y específicos de la PERGEN (e).
a) Examen material del documento
Se identifican diez tomos: memoria justificativa, estudio del medio rural; análisis del modelo de asentamiento de la población; análisis de movilidad; planos de información; planos de ordenación; normas urbanísticas; catálogo; estrategia de actuación, estudio económico, informe de sostenibilidad y memoria de sostenibilidad económica; y, finalmente, documento para la evaluación ambiental estratégica.
b) Normativa de referencia aplicada, definiciones y conceptos
El documento presentado se ajusta a la normativa urbanística autonómica en vigor, la Ley 2/2016 del 10 de febrero del Suelo de Galicia, así como a las normas sectoriales con afección sobre el hecho urbano y la ordenación territorial. No consta, sin embargo, ninguna referencia a la legislación general sobre de igualdad, ni a su impacto en el planeamiento.
c) Palabras clave
Para verificar la referencia a la PERGEN en el documento se definieron cinco palabras clave: cuidados, género, igualdad, inclusividad, participación ciudadana. La búsqueda no arrojó ningún resultado.
d) Lenguaje
La redacción se ajusta a la ortodoxia normativa clásica, sin emplear los recursos de inclusividad señalados en cualquiera de las múltiples guías sobre el lenguaje no sexista (Bengoechea, s/d).
e) Definiciones y los conceptos del documento generales y específicos de la PERGEN
El documento no dispone de ningún epígrafe con definiciones y conceptos.
4.2. El informe de impacto: Borrador
El estudio del DAI-2020 apunta que el documento elaborado no incorpora criterios relativos a los cuidados o a las mujeres en la ciudad. El análisis del documento a partir de las determinaciones de las líneas estratégicas básicas confirmó que el material disponible no era susceptible de evaluar. Se constata que la memoria no definía el modelo de ciudad perseguido, ciñéndose en sus objetivos a causas administrativas y legislativas, sin referencias ni la habitabilidad ni a la sostenibilidad urbana. Asimismo, en ella se obviaron tanto los mecanismos de participación ciudadana, como la relación entre el diagnóstico de los estudios socio-económicos y las determinaciones del planeamiento. Tampoco se vinculaban las tareas de cuidados con el diseño urbano, ni se recogían instrumentos para valorar la percepción de seguridad en el término municipal y corregir o fortalecer las deficiencias en sus determinaciones y en el desarrollo de documentos específicos como el Plan de Movilidad.
De este acercamiento inicial se infiere que el informe solicitado atañe a los objetivos del documento en elaboración, orientándolo hacia un informe prescriptivo, que dote a los servicios municipales de una referencia para trabajar en la introducción de la PERGEN en el plan en curso.
4.3. El informe para la incorporación de la PERGEN en el planeamiento de Narón
El informe prescriptivo se articula en una parte ejecutiva y otra propositiva. La primera establece un decálogo de actuaciones con las que ampliar la información disponible e implicar al conjunto de servicios en la política urbanística municipal, y por tanto, en el proceso de desarrollo del plan. La segunda señala unos objetivos específicos referidos a los cuidados, el género y la igualdad que, atendiendo a las peculiaridades del término municipal, deberían incluirse en el plan en redacción.
4.3.1. Decálogo de acciones singularizadas
Contiene las medidas necesarias para implementar la PERGEN, con los mínimos datos posibles.
1.ª Recopilar, y revisar, la información disponible en las distintas áreas y servicios del ayuntamiento, con relación a la población del municipio: igualdad, participación ciudadana, recogida de basura, uso de las instalaciones municipales, datos de la actividad laboral en los polígonos...
2.ª Incorporar en el organigrama municipal la cooperación igualdad-urbanismo/urbanismo-igualdad.
3.ª Seleccionar, a partir de la información disponible, uno o dos barrios del núcleo urbano para planificar un proyecto piloto, contando con los siguientes elementos:
• Un estudio demográfico del barrio.
• Acciones de formación e información del vecindario acompañadas de talleres y procesos de participación encaminados a fijar criterios de intervención.
• Un diagnóstico del hábitat y de la convivencia igualitaria.
• Propuestas específicas de mejora del entorno.

Fig. 5 / El término municipal de Narón. Datos básicos
Fuente: Elaboración propia
4.ª Reconocer y clasificar los tipos de equipamientos existentes para determinar las necesarias infraestructuras para la vida cotidiana y su posible localización, generando un catálogo base que dote de eficacia las subvenciones y ayudas para las construcciones y equipamientos que se impulsan desde otros niveles de la administración.
5.ª Reelaborar las secciones tipo de las calles, jerarquizándolas, para dar legibilidad al tejido urbano. Al menos, el 50% del espacio debería destinarse al peatón (León Vivanco, 2017; Miranda, 2018, p. 173; Rueda, s/d, p. 37).
6.ª Reconsiderar la metodología del desarrollo urbanístico del suelo urbano no consolidado, dada su extensión, valorando la disposición de los espacios libres y equipamientos, la diversidad de modalidades de vivienda, y la convivencia de suelo hortícola con el suelo urbanizado.
7.ª Determinar los usos y ubicación de los equipamientos en los suelos industriales, con una superficie muy significativa en el término municipal, a partir de los datos demográficos referidos a cada uno de los polígonos así delimitados.
8.ª Valorar la implantación de alguna modalidad de transporte público adaptado y específico, considerada la escala del núcleo urbano principal y del término municipal en su conjunto, que atienda a las necesidades del día a día de las mujeres y de los colectivos vulnerables.
9.ª Adoptar medidas positivas para favorecer la presencia de las mujeres en el espacio público, y su participación en las consultas ciudadanas referidas a las acciones urbanísticas y de reurbanización/urbanización así como en las actividades municipales.
10.ª Implicar a los centros educativos en las actividades de participación y en la evaluación del espacio urbano.
4.3.2. Objetivos específicos en relación con las líneas estratégicas
A la par que se desarrolla el decálogo anterior, se propone añadir una serie de medidas al planeamiento a partir de la fase de aprobación inicial. Estas se enmarcan en las líneas estratégicas definidas, atendiendo a la escala y el contexto del término municipal de Narón. Para cada una de ellas se particularizan unos determinados indicadores, las medidas derivadas de estos, así como los documentos y/o fases del planeamiento afectadas.
A) Modelo de ciudad
Indicadores aplicados:
1. Identificar las necesidades espaciales de las mujeres, e introducir las tareas de cuidados.
Documento/fase del planeamiento y medidas propuestas:
• Memoria: objetivos.
– Recopilar información disponible de las quejas y sugerencias efectuadas por mujeres en los diferentes servicios municipales, para entresacar las necesidades espaciales y urbanas de toda la ciudadanía, y de las mujeres en particular.
B) Participación ciudadana
Indicadores aplicados:
3. Recopilar/disponer de datos socioeconómicos desagregados por sexo.
4. Incluir la experiencia cotidiana de las mujeres.
Documento/fase del planeamiento y medidas propuestas:
• Memoria: estudio socio-económico.
– Incluir en las encuestas municipales preguntas sobre género, el entorno de edad y el barrio/núcleo de residencia.
– Distribuir encuestas sobre el uso del espacio urbano en formato papel, al tiempo que se lanzan en la web municipal.
– Organizar talleres formativos e informativos destinados la ciudadanía en general, y específicos para las mujeres, referidos a aspectos concretos de la incidencia del género en el planeamiento, al diseño de los espacios de juego y estancia, a los tipos de equipamientos adecuados para un barrio o sector urbano, o a la influencia de la planificación urbana en la percepción de seguridad.
C) Percepción de seguridad
Indicadores aplicados:
7. Integrar el diagnóstico del hábitat o mapa de la ciudad prohibida en el plan.
9. Determinar las condiciones de seguridad que han de cumplir los trazados de las calles, evitando alineaciones ciegas prolongadas equivalentes a una o más manzanas.
Documento/fase del planeamiento y medidas propuestas:
• Anexos
– Elaborar el estudio del hábitat y la convivencia igualitaria.
• Ordenanzas
– Fijar normas de diseño que eviten la formalización de espacios profundos en el paisaje urbano. Ejemplos:
* Que la puerta de cierre del portal o de acceso a la parcela de los inmuebles urbanos -o a los aparcamientos privados en los inmuebles residenciales- se disponga a una profundidad máxima de 1,20 m con respecto a la alineación viaria.
D) Equipamientos y espacios libres
Indicadores aplicados:
13. Implantar infraestructuras que respondan a los roles de género y a las tareas de cuidados.
Documento/fase del planeamiento y medidas propuestas:
• Memoria: objetivos / Proyectos de urbanización
– Alcanzar la proporción de 1 árbol/3 personas en el suelo urbano público, incorporando una parte de ellos en las aceras.
• Planos de ordenación
– Disponer los equipamientos asociados con espacios libres dotados de arbolado.
– Situar los equipamientos y los espacios libres en posiciones centrales con respeto de la trama urbana.
• Ordenanzas / Planos de ordenación
– Prever dotaciones polifuncionales, por medio de centros integrales en los que se combinen usos de cuidados, de conciliación, asistenciales y terapéuticos con los administrativos, deportivos y sociales, conforme a las necesidades de la colectividad.
• Ordenanzas
– Hacer compatible el uso comercial con el dotacional público de las plantas bajas.
– Integrar en las plantas bajas los minipuntos limpios de cercanía.
E) Movilidad
Indicadores asociados:
15. Diseñar el viario teniendo en cuenta los recorridos realizados en las tareas de cuidados y en los usos de la vida cotidiana.
Documento/fase del planeamiento y medidas propuestas:
• Plan de Movilidad / Planos de ordenación
– Diseñar el carril bici conectado en red, para facilitar los recorridos hasta los centros docentes, los centros deportivos, o los centros de trabajo, por ejemplo.
• Plan de Movilidad
– Fijar recorridos seguros para las mujeres en el tránsito diario, tanto diurno como nocturno.
F) Suelo industrial
Indicadores asociados:
20. Incorporar equipamientos públicos que contribuyan a la conciliación familiar y laboral.
Documento/fase del planeamiento y medidas propuestas:
• Planos de ordenación / Planes parciales
– Construir dotaciones asistenciales e infraestructuras de lo cotidiano en los polígonos industriales. Localizarlas en parcelas centrales, fácilmente accesibles.
• Proyectos de urbanización
– Urbanizar los espacios libres y zonas verdes de los polígonos, fomentando la relación con los equipamientos previstos, atendiendo a un criterio de centralidad
G) Residuos sólidos urbanos
Indicadores asociados:
23. Establecer reservas de suelo y servidumbres en espacios a cubierto para minipuntos limpios que faciliten el reciclaje y/o la reutilización de productos.
24. Generar islas de colectores para el depósito de residuos, cuidando su disposición en relación con las aceras y los pasos de peatones.
Documento/fase del planeamiento y medidas propuestas:
• Planes parciales
– Determinar la ubicación de las islas de contenedores de residuos y la disposición de minipuntos limpios de cercanía, con posibilidad de recoger pequeños electrodomésticos, tubos fluorescentes, baterías y pilas, aceite doméstico, o aluminio, por ejemplo en los bajos desocupados.
• Proyectos de urbanización
– Ordenar los colectores de residuos en islas, en la proximidad de las aceras, pero siempre fuera de ellas, según una disposición reconocible en la trama urbana
– Colocar las islas de los colectores de basura a 6,00 metros del paso de cebra, aprovechando esta distancia para garantizar la visibilidad de los mismos.
H) Vivienda
Indicadores asociados:
25. Flexibilizar las tipologías conforme a las diversas estructuras familiares y sociales.
27. Impulsar la adecuación de los inmuebles y las viviendas a la accesibilidad.
Documento/fase del planeamiento y medidas propuestas:
• Memoria
– Integrar la vivienda pública en las infraestructuras de lo cotidiano, al margen de las viviendas sociales de promoción autonómica o estatal.
– Gestionar por medio de convenios la incorporación de viviendas/inmuebles al patrimonio municipal. Ejemplo: incorporando el ascensor a inmuebles sin accesibilidad universal, a cambio de que los pisos o los inmuebles se cedan en propiedad, en el momento que se acuerde pertinente, a la administración pública.
• Ordenanzas
– Compatibilizar el uso comercial y el dotacional público en las plantas bajas del tejido residencial.
– Contemplar la promoción pública y/o privada de coviviendas, tanto como vivienda colaborativa o cohousing, o como condominio o coliving.
– Introducir la covivienda asistencial, ocupada en períodos cortos, fijados por el organismo promotor, en función de la naturaleza de la asistencia: ancianos, víctimas de violencia de género, u otras situaciones de vulnerabilidad.
• Ordenanzas / Planos de ordenación
– Designar los patios de manzana como espacio libre, comunitario, con vegetación en las 2/3 partes de su superficie.
– Dotar a las plantas bajas de los edificios residenciales con fachada hacia el patio de manzana, de acceso público.
I) Amueblamiento urbano
Indicadores asociados:
29. Identificar el amueblamiento-obstáculo para reubicarlo y/o eliminarlo.
30. Adecuar la escala y dimensiones de los elementos de mobiliario urbano.
Documento/fase del planeamiento y medidas propuestas:
• Proyectos de urbanización
– Elegir unos elementos de mobiliario urbano duraderos y de fácil mantenimiento.
– Disponer bancos cada 200 metros en las calles de paseo: alejados de los contenedores de basura, cerca de un árbol, buscando esquinas con vistas y sin interrumpir los recorridos.
J) Representatividad en la señalización urbana
Indicadores asociados:
31. Potenciar la presencia simbólica y la representación de las mujeres en la ciudad, a través de la nomenclatura de las vías y la estatuaria.
32. Promover un lenguaje visual no discriminatorio en la iconografía
Documento/fase del planeamiento y medidas propuestas:
• Ordenanzas
– Coordinar con el servicio de protocolo municipal los nombres de las calles y la ubicación de estatuas o elementos referenciales, para incorporar figuras y referencias femeninas, de tal modo que se equilibre la representación entre figuras femeninas y masculinas.
– Emplear imágenes e iconos que reflejen la diversidad social, con figuras tanto masculinas cómo femeninas, empleando un lenguaje inclusivo.
5. Conclusiones
El estudio de los informes de impacto de género asociados al planeamiento general de Irún y de Castellón, junto con las demandas establecidas para el documento urbanístico de Narón evidencia la necesidad de clarificar el alcance y contenido de dicho informe desde la técnica urbanística. Para ello resulta preciso incorporar los cuidados en el planeamiento. Diseñarlo conociendo el uso y las necesidades de las mujeres en la ciudad más allá de la recopilación de datos y del listado de recomendaciones fundamentadas en la conducta y las prescripciones asistenciales; revisar las herramientas de planeamiento disponibles; reformular los objetivos del planeamiento, así como los contenidos de los diversos documentos que lo conforman: el estudio socioeconómico -superar la incorporación de datos de población sin evaluar su relación con el modo en el que las personas habitan la ciudad-, el plan de movilidad -atender específicamente a los movimientos de las mujeres y a los derivados de las tareas de cuidados-, o los estudios del hábitat –a partir de las experiencias de las mujeres-, también llamados mapas de la ciudad prohibida. De igual manera, requiere reexaminar el alcance de la ordenación en su conjunto, desde la definición del modelo urbano, establecida en la memoria, hasta las determinaciones contempladas en los planos y en las ordenanzas, así como en el estudio económico financiero.

Fig. 6 / La PERGEN (Perspectiva de Género) en el planeamiento urbano. Método de las líneas estratégicas
Fuente: Elaboración propia
Dicha revisión se plantea tomando como herramienta diez líneas estratégicas, para una aproximación sucesiva que parte de los aspectos generales hasta llegar a la ordenación final y a la concreción dimensional del espacio urbano. Las diez líneas incluyen un conjunto de indicadores que orientan la intervención, a la vez que actúan como ítems de evaluación. Unos indicadores que se valen de medidas concretas, variables por tanto, en concordancia con el ámbito de estudio y de ordenación abordado.
Esta herramienta se ha empleado para evaluar el DAI-2020 de Narón, un término municipal de pequeña escala, con un núcleo urbano cuya extensión se categoriza como suelo urbano no consolidado en una cuarta parte. La aplicación de las líneas estratégicas nos ha permitido evaluar dicho documento, pero también proporcionar una guía para que el equipo técnico y los servicios municipales puedan revisar las propuestas de partida. Al margen de que existan otras herramientas y otros métodos y maneras de abordar la incorporación de la PERGEN al planeamiento, y proceder a su evaluación, las líneas estratégicas y sus indicadores (Fig. 6) sistematizan y aportan la objetividad precisa para abordar el planeamiento en sus distintas fases, tanto de redacción como de evaluación. Siendo una herramienta perfeccionable, se perfila como una línea de trabajo para avanzar en igualdad, pero también para contribuir a la construcción eficiente y sostenible de una ciudad compleja. Un objetivo que pasa por expandir la docencia del urbanismo a los temas contemporáneos, en concreto a los estudios de género, mejorando la formación de las y los urbanistas y, en consecuencia, del personal técnico que le es afecto.
6. Bibliografía
Álvarez, E. & Gómez, C. (2017): Recomendaciones para la incorporación de la perspectiva de género en el planeamiento urbano. Ciencia, Técnica y Mainstreaming Social, 1, pp. 29–38. http://hdl.handle.net/10251/81379
Álvarez, E. & Gómez, C. (2018): La incorporación de la perspectiva de género en el Plan General Estructural de Castelló: objetivos, método, acciones y hallazgos. Hábitat y Sociedad, 11, pp. 201–219. http://dx.doi.org/10.12795/HabitatySociedad.2018.i11.12
Arregui Cruz-López, E. (1964): Participación de la mujer en problemas de vivienda y urbanismo. Actividades internacionales de arquitectura, vivienda y urbanismo, 7/64(362), Serie IV 1/64 (33). Madrid, España, Ministerio de la Vivienda.
Bauer, U. (2009): Gender Mainstreaming in Vienna. How the gender perspective can raise the quality of life in a big city. Kvinder, Køn & Forskning, 3–4, pp. 64–70.
Benabent-Fernández de Córdoba, M. (2019): La insoportable rigidez del Plan General Urbanístico. La necesidad de un cambio de modelo. Ciudad y Territorio. Estudios Territoriales, 51(201), pp. 451–466. https://recyt.fecyt.es/index.php/CyTET/article/view/77536
Bengoechea, M. (s/d): Guía para la revisión del lenguaje desde la perspectiva de género. Bizcaia, España, Diputación Foral de Bizcaia.
Birche, M. & Jensen, K. & Bilbao, P. (2021): La ciudad de los 15 minutos y el espacio público de cercanía como elemento clave para el diseño de la ciudad postpandemia. El caso del partido de La Plata. Quid 16. Revista del Área de Estudios Urbanos, 16, pp. 86–108.
Bermejo Lorenzo, C. & Fernández García, A.M. (2022): La perspectiva de género en la legislación autonómica sobre ordenación del territorio y urbanismo en España. Apuntes sobre sus ritmos y diferencias. Cidades. Comunidades e Territórios, 45. https://journals.openedition.org/cidades/6043
Bofill Levi, A. & Dumenjó Martí, R. M. & Segura soriano, I. (1998): Las Mujeres y la ciudad: manual de recomendaciones para una concepción del entorno habitado desde el punto de vista de género. Barcelona, Fundación Maria Aurèlia Capmany.
Bofill Levi, A. (23- 24 de noviembre, 2005): La ordenación de la ciudad desde la perspectiva de género. EUSKALHIRIA Kongresua, Planeamiento territorial y sostenibilidad. Ocho años de la aprobación de las DOT. [Ponencia en congreso]. (91) La ordenación de la ciudad desde la perspectiva de género | Anna Bofill - Academia.edu / Congresos EuskalHiria - Gobierno Vasco - Euskadi.eus
Bofill Levi, A. (2008): Guia per el planejament urbanístic i l’ordenació urban´sitica amb la incorporació de criteris de gènere. Barcelona, Instituto Catalá de les dones-Generalitat de Catalunya.
Booth, C. & Darke, J. & Yeandle, S. (Eds.) (1998): La vida de las mujeres en las ciudades: la ciudad, un espacio para el cambio. Madrid, Narcea.
Capel, A. (2003): A modo de introducción: los problemas de las ciudades. Urbs, Civitas y polis. Mediterráneo Económico, 3, pp. 9–22.
Carreiro, M. & López, C. (5 de junio, 2015): Parametrizar y sistematizar, o cómo incorporar la perspectiva de género en el diseño urbano. En López Díaz, A., González Penín, A & Aguayo Lorenzo, E. (Coords.)Trazos de xénero no século XXI. III Xornada Universitaria Galega en Xénero. Pontevedra, España, Universidade de Vigo. http://hdl.handle.net/2183/17452
Carrero de Roa, M. (2009): Urbanismo y sostenibilidad social. El Derecho a la Ciudad. En Rodríguez Gutiérrez, F. (coord.). Áreas metropolitanas en España: la nueva forma de la ciudad (pp. 279–286). Oviedo, Universidad de Oviedo.
Ciudad de Viena (1996): Frauen-Werk-Stadt: Un proyecto de viviendas realizado por y para mujeres, Viena (Austria). [Traducción del inglés, Arantza Álvarz Zabala]. Ciudades para un futuro más sostenible, CF+S. Proyecto de viviendas construido por y para mujeres, Viena (Austria) http://habitat.aq.upm.es/dubai/96/bp011.html [Consultado 01/09/2024]
Damyanovic, D. (2013): Gender Mainstreaming as a Strategy for Sustainable Urban Planning. En Sánchez de Madariaga, I. & Roberts, M. (Eds.). Fair Shared Cities: the impact of gender planning in Europe. London & New York, Routledge.
Eichler, M. (1996): Change of plans. Towards Non-Sexist Sutainable City. Toronto, University Toronto Press.
Gilroy, R. & Booth, C. (1999): Building an infrastructure for everyday lives. European Planning Studies, 7(3), pp. 307–324.
Gilroy, R. & Booth, C. (2004): Changing the mould: The Frauen-Werk-Stadt model proyect. Zehar: revista de Arteleku-ko aldizkaria, 52, pp. 38–43.
Greed, C. (1994): The place of Ethnography in Planning: or is it ‘real research’? Planning Practice & Research, 9(2), pp. 119–127.
Greed, C. & Roberts, M. (Eds.) (2014): Introducing Urban Design. London & New York, Routledge.
Gruber, E. (2018): Urban Planning: A Vienna Case Study. En Villa, M. (ed.): Global cities and integration. A challenge for the future (pp. 155–176). Milano, Ledi Publishing.
Hapgood, K. & Getzels, J. (Eds.) (1974): Planning, women and change. Chicago, USA, American Society of Planning Officials.
Hayden, D. (1980): What Would a Non-Sexist City Be Like? Speculations on Housing, Urban Design, and Human Work. Springs, 5(3), pp. S170–S187. https://www.jstor.org/stable/3173814
Hiria kolektiboa (eq. red.) (2010): Manual de análisis urbano. Género y vida cotidiana. Donostia-Vitoria Gasteiz, Servicio de Publicaciones del Gobierno Vasco.
Horelli, L. (2017): Engendering urban planning in different contexts –successes, constraints and consequences. European Planning Studies, 25(10), pp. 1779–1796.
Horelli, L. & Vepsä, K. (1994): In search of supportive structures for everyday life. En Altman, I. & Churchman, A. (Eds.) Women and the Environment. Human Behavior and Environment. Boston, Estados Unidos, Springer. https://doi.org/10.1007/978-1-4899-1504-7_8.
Innerarity Grau, C. & Acha Ugarte, B. & Sancho Martínez, A. (2020): Género y urbanismo: ¿hacia ciudades más sensibles e inclusivas? RIPS, 19(2), pp. 45–66. https://doi.org/10.15304/rips.19.2.6473
Jackowska, O. & Novas Ferradás, M. (2023): Who owns public spaces? The trailblazer exhibition on women’s everyday life in the City of Vienna (1991). Planning Perspectives, 38(2), pp. 253–279.
Kail, E. & Irschik, E. (2007): Strategies for Action in Neighbourhood Mobility Design in Vienna - Gender Mainstreaming Pilot District Mariahilf. German Journal of Urban Studies, 46(2). https://genderedinnovations.stanford.edu/case-studies/urban
Kern, L. (2021): Ciudad feminista. La lucha por el espacio en un mundo diseñado por hombres. Barcelona, Bellaterra.
León Vivanco, M.F. (2017): Escenarios peatonales. Del espacio compartido a la red exclusiva. QRU, 7, pp. 238–257. https://doi.org/10.5821/qru.9605
Logan & Hobbs, M. H. & Conrow, L. C. & Reid, N. L. & Young, R. A. & Anderson, M. J. (2022): The x-minute city: Measuring the 10, 15, 20-minute city and an evaluation of its use for sustainable urban design, Cities, 131. https://doi.org/10.1016/j.cities.2022.103924
Michaud, A. (coord.) (2003): Guide d’amenagement pour un environnement urbain sécuritaire. Montreal, Ville de Montreal. Pour un environnement urbain sécuritaire : guide d’aménagement / [coordination et révision, Anne Michaud ; recherche, rédaction et repérages photos, Sophie Paquin] | BAnQ numérique
Miranda, A. (2018): Diccionario de la modernidad. Guía para una crítica de la cultura. https://oa.upm.es/71985/1/Diccionario_modernidad_Antonio_Miranda.pdf
Paricio, A. (2019): Manual d’urbanisme de la vida quotidiana. Urbanisme amb perspectiva de gènere. Barcelona, Department de Prospectiva. Dirección de Model Urbá. Departament de Transversalitat de Gènere.
Peterson, R. & Wekerle, G. R. & Morley, D. (1978): Women and Environments: An Overview of an Emerging Field. Environment and Behavior, 10(4), pp. 511–534.
Rando Burgos, E. (2019): Urbanismo y género: del informe de impacto de género al principio de igualdad de trato como inspirador de la nueva concepción del desarrollo urbano. Revista de Estudios de la Administración Local y Autonómica, 12, pp. 52–71. https://doi.org/10.24965/reala.i12.10702
Roberts, M. (1991): Living in a man-made world: gender assumptions in modern housing design. London, Routledge.
Roberts, M. & al. (Eds.) (1984): Making Space. Women and the man-made environment. London & Sydney, Pluto Press.
Roberts, M. & Greed, C. (Eds.) (2001): Approaching Urban Design. The Design Process. Londres & New York, Routledge.
Rodríguez-Rojas, M. I. & Vílchez-Strivens, J. & Abarca-Álvarez, F. J. (2023): La enseñanza del Urbanismo en los títulos universitarios españoles con atribuciones profesionales: análisis bibliográfico. Ciudad y Territorio. Estudios Territoriales, 55(216), pp. 271–284. https://doi.org/10.37230/CyTET.2023.216.1
Romero Aloy, M. J. & Nadal Climent, V. (2018): Planificación estratégica territorial y alteraciones del plan general. Ciudad y Territorio. Estudios Territoriales, 50(195), pp. 7–20. https://recyt.fecyt.es/index.php/CyTET/article/view/76606
Rueda, S. (s/d): El urbanismo ecológico. Barcelona, España, Agencia d’Ecología urbana de Barcelona. https://www.academia.edu/42905647/EL_URBANISMO_ECOL%C3%93GICO_Salvador_Rueda_Agencia_de_Ecolog%C3%ADa_Urbana_de_Barcelona
Sagnier, L. (2018): Las mujeres hoy. Cómo son, cómo piensan y cómo se sienten. Barcelona, Deusto.
Sánchez de Madariaga, I. (2000): Nuevos enfoques de planeamiento. Urban, 4, pp. 31–37. https://polired.upm.es/index.php/urban/article/view/295/296
Sánchez de Madariaga, I. (2003): Una agenda de investigación sobre género y urbanismo. En Instituto de la Mujer. Balance y perspectiva de los estudios de las mujeres y el género (pp. 133–136). Madrid, Instituto de la Mujer.
Sánchez de Madariaga, I. (2004): Infraestructuras para la vida cotidiana y calidad de vida. Ciudades, 8, pp. 101–133. https://doi.org/10.24197/ciudades.08.2004.101-133
Sánchez de Madariaga, I. (2006): Indicadores para urbanismo con perspectiva de género. En Casado Aparicio, E. & Gómez Esteban C. (Coords.): Los desafíos de la vida familiar y profesional en el siglo XXI. Madrid, Biblioteca Nueva.
Sánchez de Madariaga, I. (2020): Género y urbanismo en España: tres décadas de investigación 1990-2020. En Guerra Jiménez, E., Alonso Rohner, E. & Tejera Mujica, N. (Coords.): Encuentro Internacional Género, Arquitectura y Sociedad. Las Palmas de Gran Canaria, Universidad de Las Palmas de Gran Canaria. Servicio de Publicaciones y Difusión Científica.
Sánchez de Madariaga, I. & Neuman, M. (2016): Mainstreaming gender in the city. TPR Town Planning Review, 87(5), pp. 493–504.
Sánchez de Madariaga, I. & Novella-Abril, I. (2020): Género y urbanismo en España: experiencias y perspectivas. Ciudad y Territorio. Estudios Territoriales, LII(203), pp. 5–12. https://doi.org/10.37230/CyTET.2020.203.01
Sánchez de Madariaga, I. & Roberts, M. (Eds.) (2013): Fair Shared Cities: the impact of gender planning in Europe. London & New York, Routledge.
Seisdedos Alonso, S. & Sánchez de Ron, M.A. (2023): Informe sobre formación y perspectiva de género en el empleo público. Gobierno de España. Ministerio de Hacienda y Función Pública. Instituto Nacional de Administración Pública. Mujeres en el Sector Público. fc37b007-40b4-cc11-8d67-4abb8a96df0e https://www.inap.es/informe-empleo-publico
Spain, D. (2014): Gender and Urban Space. Annual Review of Sociology, 40, pp. 581–598.
Tolosa-Tribiño, C. (2020): El informe de impacto de género en el procedimiento de elaboración de los planes de urbanismo. Ciudad y Territorio. Estudios Territoriales, LII(203): 33-44. https://doi.org/10.37230/CyTET.2020.203.03
Ullman, F. (2013): Choreography of Life: Two Pilot Projects of Social Housing in Vienna. En Sánchez de Madariaga, I. & Roberts, M. (Eds.): Fair Shared Cities: the impact of gender planning in Europe. London & New York, Routledge.
Ullman, F. (2020): ¡Nos llevamos a nuestros padres con nosotros! Proyecto de viviendas intergeneracional In der Wiesen, 1230, Viena. Ciudad y Territorio. Estudios Territoriales, LII(203) pp. 121–138. https://doi.org/10.37230/CyTET.2020.203.10
Wekerle, G. R. (1980): Women in the Urban Environment. Sings: Supplement. Women and the American City, 5(3), pp. S188–S214. https://www.jstor.org/stable/3173815.
Wekerle, G. R. & Peterson, R & Morley, D. (Eds.) (1980): New Space for women. Boulder, Colorado, USA, West-view Press.
World Bank (2020): Handbook for Gender-Inclusive Urban Planning Design. Washington, World Bank.
7. Listado de Acrónimos/Siglas
DAI Documento de Aprobación Inicial
IEIG Informe de Evaluación de Impacto de Género
PERGEN Perspectiva de Género
PGE Plan General Estructural de Castellón
PGOU Plan General de Ordenación Urbana
PMUS Plan de Movilidad Urbana Sostenible
VTP Vehículos de Transporte Personal
1 Cabe preguntarse por qué surgieron estas iniciativas en Viena. Debe recordarse que esta ciudad ha estado presente en la vanguardia arquitectónica y urbanística, no solo a través de grandes barrios, Hof, como el Karl Marx, sino de intervenciones como los asentamientos de vivienda mínima. En su diseño participó Margarete Schute-Lihotzky, quien trabajó entre 1921 y 1925 con Adolf Loos y Max Ermers, responsables del departamento de urbanismo y arquitectura del ayuntamiento vienés, antes de trasladarse a Frankfurt para colaborar con Ernst May. Más tarde, en los años setenta del siglo XX, a través del movimiento feminista se expandió el concepto de igualdad a todos los campos sociales, incluido el urbanismo y la arquitectura. En este contexto, la exposición de 1991 Who Owns Public Spaces? Women’s Everyday Life in the City organizada por dos técnicas municipales, Eva Kail y Jutta Kleedorfer, actuó como el catalizador necesario para acometer unas intervenciones que han tratado de trasladar las necesidades de las mujeres al planeamiento, dentro del Plan de Expansión de la ciudad.
2 Las Escuelas de Arquitectura de Madrid y Barcelona, pioneras en los estudios de género en urbanismo, junto con las Escuelas de Alicante, Valencia y A Coruña, cuentan con grupos en esa línea de trabajo, formados fundamentalmente por docentes de las áreas de urbanismo, proyectos arquitectónicos y composición. Sin embargo, la información pública de las materias de estas áreas -las guías docentes-, no dan cuenta de la presencia de la perspectiva de género en sus contenidos y bibliografía, salvo excepciones que coinciden con aquellas asignaturas coordinadas por las personas que integran dichos grupos de investigación. Evidentemente, en el día a día puede producirse una situación diferente, pero sin una evidencia pública que pueda consultarse.
3 Nomenclatura del Reglamento de planeamiento de 1978, aún vigente.
4 En ellas se incorporan otros dos factores comunes a los informes de Irún y Castellón, la movilidad y la sostenibilidad. El factor común que resta a ambos informes, “Definiciones y conceptos”, forma parte del desarrollo de las memorias. Acompañaría al anexo o al epígrafe de definiciones generales del documento de planeamiento, que no siempre está presente. Detectar su presencia/ausencia formaría parte del análisis preliminar del documento.
5 ‘Efectos en la planificación’: referidos al traslado del indicador al contenido del documento de planeamiento. Para abreviar, se empleará la palabra ‘efectos’ en el resto de indicadores.
6 Consideramos programas estandarizados aquellos definidos en las normas del hábitat. Los principios de estas normas buscan dotar de condiciones ‘dignas’ a las viviendas, tratando de frenar los efectos de la especulación en el diseño de las unidades residenciales. No obstante, al introducir parámetros de diseño rígidos y programas convencionales, e incluso al fijar patrones de accesibilidad que afectan únicamente a los baños o el ancho de las puertas, limitan la capacidad de ofrecer viviendas ‘dignas’ desarrolladas sobre enfoques alternativos a una unidad familiar estándar: madre, padre, prole.
7 Ciclo del ajuar doméstico: integra el proceso completo de cuidado de la ropa personal y doméstica, desde el lavado y secado hasta el planchado y repaso. El programa convencional ha venido incorporando el lavado y secado al aire, pero no incluye el área de plancha y repaso de la ropa, unas tareas tan comunes y necesarias como las anteriores. En cuanto a la limpieza doméstica, el diseño de las cocinas han eliminado los espacios para escobas o cubos de fregona, y no han incorporado las instalaciones y armarios necesarios para aspiradoras, robots de aspirado y fregado, de limpieza de cristales y otros electrodomésticos comunes empleados en las tareas domésticas.