Estudios
CIUDAD Y TERRITORIO
ESTUDIOS TERRITORIALES
ISSN(P): 1133-4762; ISSN(E): 2659-3254
Vol. LVII, Nº 223, primavera 2025
Págs.163-186
https://doi.org/10.37230/CyTET.2025.223.8
CC BY-NC-ND
![]()
Análisis, mapeo y valoración marginal de servicios ecosistémicos en el contexto de la planificación urbana del sector norte de Bogotá, Colombia
Luis Inostroza
Mendel University in Brno, Faculty of Regional Development and International Studies
Universidad Autónoma de Chile
Resumen: Los servicios ecosistémicos (SE) son los beneficios de los ecosistemas que sustentan el bienestar humano. En América Latina el uso de los SE en la planificación urbana es aún incipiente. Este trabajo presenta un análisis de la provisión y distribución espacial de SE en un área de 1873 hectáreas al norte de Bogotá que cuenta con una planificación integral (Plan de ordenamiento zonal norte de Bogotá [POZN]). Se realizó una evaluación marginal de SE comparando la provisión actual con la futura, evidenciando los cambios introducidos en los SE existentes producto de las disposiciones normativas contenidas en el POZN y las soluciones de diseño urbano de los 14 planes parciales aprobados. Los resultados muestran que los SE disminuyen para los servicios de abastecimiento, y aumentan ligeramente para los de regulación y notoriamente para los servicios culturales. La articulación de conocimiento científico en la planificación urbana puede ser un gran aporte para un desarrollo urbano más sostenible.
Palabras clave: Sistemas de información geográfica; Desarrollo urbano; Plan de ordenamiento zonal norte; Método Delphi.
Analysis, mapping and marginal valuation of ecosystem services in the urban planning of the northern sector of Bogotá, Colombia
Abstract: Ecosystem services (ES) are the benefits of ecosystems that support human well-being. In Latin America, the use of ES science in urban planning is still developing. This work presents an analysis of the provision and spatial distribution of ES in an area of 1873 hectares north of Bogotá that has comprehensive planning (POZN). The method makes a marginal evaluation of ES by comparing the current supply with the future, evidencing the changes introduced in the provision of existing ES due to the POZN and 14 approved partial plans. The results show that the ES decreases for provisioning services, slightly increases for regulating services and greatly increases for cultural services. Articulating scientific knowledge in urban planning can greatly contribute to sustainable urban development.
Keywords: Geographic information systems; Urban development; Northern zonal planning Bogota; Delphi method.
Recibido: 28.12.2023; Revisado: 04.07.2024
Correo electrónico: luis.inostroza@mendelu.cz N.º ORCID: https://orcid.org/0000-0002-6303-4529
El autor agradece las críticas constructivas recibidas, comentarios y sugerencias realizados por las personas evaluadoras anónimas, que han contribuido a mejorar y enriquecer el manuscrito original.
1. Introducción
Los servicios ecosistémicos (SE) son los beneficios que reciben las personas por el buen funcionamiento de los ecosistemas y que sostienen el bienestar humano (Costanza & al., 2017). El enfoque de los SE si bien pone al centro del análisis a la naturaleza y los procesos ecológicos que sustentan a los ecosistemas lo hace para destacar el rol fundamental que poseen como pilar del bienestar humano (Braat & de Groot, 2012). Los SE implican un sentido de conservación de la naturaleza y su biodiversidad que puede considerarse activo, al enfatizar al ser humano y su bienestar y no al revés (Kenter, 2018). Este enfoque permite la incorporación directa de la ciudadanía en las decisiones de planificación a la luz de los efectos concretos que estas producen en términos de bienestar sobre actores específicos evitando su marginación (Fürst & al., 2014). La propuesta conceptual y operacional de los SE es desde la ciencia hacia la práctica, lo que permite articular los procesos ecológicos y su relación con los humanos en la práctica de la planificación urbana y el diseño de sus espacios, en miras a un desarrollo urbano más sostenible que no solo respete la biodiversidad sino que también permita mantener y mejorar los flujos de SE existentes en los ambientes urbanos (Geneletti & al., 2020; Inostroza, 2022; Longato & al., 2021).
A pesar de su gran relevancia, la contribución de la naturaleza al bienestar humano pasa muchas veces desapercibida o es simplemente ignorada en la toma de decisiones, lo que se convierte en un motor de deterioro ecológico. Cuando estos beneficios no son valorados, entonces se pone en riesgo la salud de los ecosistemas y por ende el bienestar de las personas (Costanza & al., 2017). En este contexto la misión de la ciencia de los SE es identificar, cuantificar, valorar y comunicar esta contribución a fin de que sea considerada en la toma de decisiones. En este contexto valorar significa poner en relevancia y no necesariamente monetizar o asignar valor de cambio. El último reporte de valoración elaborado por la Plataforma Intergubernamental Científico Normativa sobre Diversidad Biológica y Servicios de los Ecosistemas (IPBES) reconoce más de 50 métodos de valoración que se ajustan a un amplio espectro de sistemas socio-ecológicos y sus respectivas estructuras de valor y visiones del mundo (IPBES, 2022). En el ámbito internacional las Naciones Unidas han recientemente incorporado a los SE al sistema de cuentas económico-ambientales (Sistema de contabilidad económico-ambiental– contabilidad ecosistémica [SEEA-EA] por sus siglas en inglés). Si bien estos avances demuestran que la ciencia de los SE está en condiciones de ser aplicada en la toma de decisiones de manera concreta y cuantitativa, la integración de este conocimiento científico en la planificación urbana sigue pendiente. Este es un desafío importante especialmente en el contexto latinoamericano, no sólo por el efecto directo que la planificación tiene sobre los ecosistemas y la calidad ambiental de la población urbana, sino también por las grandes posibilidades de incrementar o disminuir los SE existentes mediante una planificación urbana ecológicamente sensible. Es fundamental poder avanzar desde el actual reconocimiento meramente nominal o narrativo a una cuantificación de los SE que permita orientar las decisiones de planificación urbana.
1.1. La contribución de los SE en la planificación urbana Latinoamericana
Una evaluación de SE transparente y con base empírica ofrece amplias ventajas respecto de percepciones subjetivas y cuestionables de los impactos y beneficios percibidos por diversos actores enfrentados a proyectos específicos de desarrollo urbano. Los actores tanto de la sociedad civil como de las organizaciones gubernamentales y no gubernamentales requieren estar adecuadamente informados sobre los efectos e impactos futuros previsibles que surgen de la planificación de barrios y sectores urbanos. El análisis científico permite identificar y cuantificar un amplio espectro de SE que están presentes áreas específicas y estimar los cambios esperables sobre la base de métodos de evaluación adecuados y diferenciados, basados en análisis empíricos construidos sobre variables biofísicas.
En el contexto de la planificación urbana, la distribución espacial de los SE es un aspecto fundamental que se relaciona con la equidad ambiental (Langemeyer & Connolly, 2020). Estudios de simulación y modelación han demostrado que una misma superficie puede proveer diferentes cantidades de SE dependiendo de la estructura ecológica y la distribución espacial especifica que tenga el ecosistema (Thomas & al., 2020). Estas consideraciones son fundamentales para mejorar la equidad ambiental de las ciudades latinoamericanas y saldar las deudas históricas.
En América Latina el uso de la ciencia de los SE en el contexto de la planificación urbana es aún incipiente. Este trabajo tiene como objetivo el llenar este vacío mediante la articulación del conocimiento científico existente sobre SE con un proyecto real de desarrollo urbano. Para este efecto el presente trabajo ha hecho un análisis espacialmente explícito de las disposiciones normativas contenidas en el Plan de Ordenamiento Zonal del Norte de Bogotá (POZN) y de 14 planes parciales de diseño urbano a fin de poder medir de manera marginal sus efectos en la provisión actual de SE en el sector norte de Bogotá.
1.2. El Plan de Ordenamiento Zona Norte de Bogotá
El Plan de Ordenamiento Zona Norte de Bogotá (POZN) es un instrumento de planificación territorial propuesto por la alcaldía de Bogotá con el objetivo de “Controlar los procesos de expansión urbana en Bogotá y su periferia como soporte al proceso de desconcentración urbana y desarrollo sostenible del territorio rural.” (Decreto 190 de 2004). Para la elaboración del POZN se utilizaron 3 principios de ordenamiento territorial, también descritos en el Decreto 190 de 2004: 1) la protección del medio ambiente y de los recursos naturales, su valoración como sustento del ordenamiento territorial; 2) la optimización de la infraestructura vial y; 3) la integración socioeconómica y espacial del territorio urbano-rural con la región. Los principios descritos dan origen a 3 estructuras superpuestas e interdependientes del POZN: 1) la estructura ecológica principal, la estructura funcional y la estructura socioeconómica y espacial.
A pesar de la relevancia que el POZN otorga al componente ecológico mediante la estructura ecológica principal, la cercanía de la Reserva Thomas van der Hammen ha levantado una serie de polémicas respecto de los posibles impactos ambientales y ecológicos del POZN sobre esta reserva. El presente trabajo aporta evidencia empírica sobre los cambios esperados en la provisión de SE producto del desarrollo urbano introducido por las disposiciones del POZN.
2. Material y método
El método de investigación consiste en una evaluación marginal que compara la provisión actual de SE con la futura a fin de evidenciar los cambios introducidos en la provisión de SE existentes producto de las disposiciones contenidas en el POZN y en los planes parciales aprobados.
2.1. Área de estudio
Este trabajo presenta un análisis de la provisión y distribución espacial de SE en un área de 1873,8 hectáreas al norte de Bogotá (Fig. 1). Esta área cuenta con una planificación integral promovida por la Alcaldía de Bogotá a través del POZN, aunque mayoritariamente ha sido objeto de un desarrollo espontáneo, no planificado y persistente. El plan propuesto por la Alcaldía mediante el Decreto 088 de 2017 intenta dar coherencia a este desarrollo urbano que ha ocurrido de facto y con importantes consecuencias ecológicas y sociales. El objetivo principal de este estudio es evaluar el efecto del desarrollo urbano propuesto en el POZN (Fig. 1) y sus planes parciales en la provisión y distribución espacial de SE en el sector norte de la ciudad de Bogotá.
Nota: RTVH se refiere a la Reserva Thomas Van der Hammen
Fig. 1 / Área de estudio
Fuente: Elaboración propia
El área del polígono oficial del POZN (Fig. 1) está definida en el Decreto 088 de 2017. El análisis incluyó una pequeña porción de la Reserva Thomas Van der Hammen que, de acuerdo con la información consultada, será próximamente incorporada al área del POZN como área de restauración ecológica del humedal Guaymaral.
2.2. Mapeo de tipos urbanos estructurales
Se mapeó el área de estudio utilizando una ortofotografía del año 2018 con medios convencionales de fotointerpretación y clasificación supervisada utilizando la firma espectral de pixeles y su relación con coberturas del suelo especificas utilizando los softwares ERDAS © y ArcGIS Pro ©. Los cambios significativos recientes observados en el sector se vectorizaron manualmente utilizando la galería de imágenes satelitales disponible en ArcGIS Pro © online a fin de obtener una clasificación de uso y coberturas al año 2022. Se identificaron 9 tipos de coberturas del suelo que fueron vectorizadas individualmente: 1) árboles, 2) matorrales y arbustos, 3) pastizales, 4) agua, 5) suelo desnudo (superficies sin vegetación), 6) edificaciones y construcciones, 7) estacionamientos, 8) calles y caminos pavimentados, y 9) caminos sin pavimentar. Estas áreas fueron consideradas de manera singular en el mapeo y asignación de valores de SE.
En un segundo paso se identificaron 15 tipos urbanos estructurales (TUE) que representan áreas con características espaciales, morfológicas y ecológicas similares (Zepp & al., 2021; Zepp & Inostroza, 2021). El mapeo de TUE se hizo tanto para la situación actual como para la situación futura. Para los TUE residenciales la densidad se calculó utilizando los 4 tipos de superficies selladas vectorizadas en el proceso de mapeo de coberturas. Para los TUE bosques urbanos se consideró todos aquellos parches de árboles no lineales de superficie mayor que 0,5 ha. El resto de las coberturas arbóreas, incluyendo arboles individuales y pequeños grupos, se incluyeron en la categoría TUE 2 arboledas lineales.
Para el mapeo de los TUE futuros se utilizaron archivos CAD (DWG) que contienen el desarrollo urbanístico de 14 planes parciales analizados (Fig. 2). Se hizo una homologación entre los tipos de usos del suelo existentes en la cartografía CAD y los TUE presentes en la situación actual, a fin de utilizar la misma matriz de valoración de SE para la situación actual y futura. El mapeo de la situación actual incluye el 100% del área de estudio (1873,8 hectáreas).
Nota: Los diseños de estos 14 planes se ajustan a los contenidos normativos contenidos en el Decreto 88/2017
Fig. 2 / Desglose de áreas incluidas en el mapeo de la situación futura y detalle de planes parciales incluidos
Fuente: Elaboración propia
2.3. Mapeo de áreas al futuro
El mapeo de la situación futura utilizó cuatro tipos de áreas que reflejan el espectro de posibilidades de cambio existentes en el área total en estudio: 1) las áreas planificadas en el POZN que se encuentran fuera de los 14 planes parciales analizados, en una superficie de 572,2 hectáreas; 2) la vialidad estructurante propuesta por el POZN, en una superficie de 199,77 hectáreas; 3) las áreas de los 14 planes parciales que cuentan con diseño y soluciones de ingeniería y que fueron posibles de cartografiar, en una superficie de 574,93 hectáreas. Estos 3 tipos de áreas constituyen el centro del análisis de la situación futura; y 4) el resto de las áreas para las cuales no existe planificación y que no fueron consideradas en el análisis (amarillo en la Fig. 2), en una superficie de 526,92 hectáreas. La exclusión de áreas sin planificación tiene como objetivo concentrar el análisis únicamente en los efectos del POZN y de los planes parciales en la provisión futura de servicios ecosistémicos. La superficie total para la cual se analizaron los SE en la situación futura, y su comparación con la situación actual es de 1346,9 hectáreas.
1) Mapeo de áreas planificadas en el POZN: Las áreas contenidas en el POZN fueron asimiladas a sus TUE respectivos de manera directa. El mapeo del POZN incluye todas las disposiciones espacialmente explicitas: “parque metropolitano”, “parques lineales”, “parques zonales”, “cauce proyectado”, “cuerpo agua”, “conectividad ecológica”, “corredor ronda” y “equipamiento extensivo”. También se incluyeron las disposiciones contenidas en el POZN, que si bien no son espacialmente explicitas permiten su mapeo, y que incluyen las arboledas lineales a ambos costados de todas las vías proyectadas. Estas arboledas están descritas en el artículo 87 número 2.4 del Decreto 88 de 2017 como franjas de control ambiental con un ancho de 10 metros a cada lado de las vías y fueron consideradas para todas las vías proyectadas en el POZN.
2) Vías contenidas en el POZN: En el caso de la vialidad propuesta por el POZN se utilizaron una serie de supuestos de desarrollo urbanístico en la parametrización de sus componentes biofísicos más relevantes como son pavimentos y árboles, utilizando la tabla de factores presentada en el Anexo 1. El cálculo de SE en las vías propuestas por el POZN considera las superficies selladas (pavimentos) y los árboles utilizando estos parámetros de distanciamiento y áreas. Este procedimiento se utilizó para toda la vialidad, tanto al interior como al exterior de los planes parciales analizados. Las áreas al exterior de los planes parciales que fueron mapeadas requirieron de ajustes en su geometría para resolver sobreposiciones entre usos/construcciones existentes y las vías proyectadas en el POZN, así como en las franjas de protección ambiental aledañas a las vías. Dichas áreas de superposición implican en muchos casos expropiaciones. En la evaluación se consideró como prioritaria la existencia de vías proyectadas o de sus franjas de protección ambiental.
3) Planes parciales: El análisis incluyó los 14 planes parciales (Fig. 2) para los que existe un diseño urbano al menos al nivel de máster plan con indicación de la estructura urbana, las áreas de protección ecológica, las cesiones y los usos de suelo. Las áreas de los planes parciales fueron completamente mapeadas en ArcGIS Pro © de acuerdo con los archivos CAD disponibles en formato DWG, se extrajeron los tipos de usos del suelo propuestos y se tradujeron a sus TUE respectivos. También se revisaron todas disposiciones relevantes, como son los contenidos del Decreto 88/2017 y el Decreto 190 de 2004 que establece las exigencias de estacionamientos.
Para la construcción de la base de datos de los planes parciales se utilizó el siguiente criterio y supuestos: 1) las áreas de circulación peatonal al interior de parques y zonas verdes así como de canchas deportivas pavimentadas se consideraron como “otras superficies pavimentadas”; 2) las rondas hidráulicas se consideran como TUE “arboles (bosques urbanos)” dado que requieren una cobertura arbórea de a lo menos el 90% de acuerdo a lo establecido en el POZN; 3) las zonas de manejo y protección ambiental (ZMPA) (también indicadas como franjas de protección ambiental en la planimetría DWG y en la normativa) aledañas a vías y calles se consideraron como TUE “arboledas lineales”; 3) cuando las ZMPA empalman con zonas de árboles se consideran como bosques urbanos, por la continuidad ecológica de la masa arbórea; 4) se respetaron todos los separadores de vía identificados en la planimetría DWG los que fueron incluidos como soluciones urbanas de drenaje sostenible (SUDS), y que para efectos del cálculo de SE fueron considerados como “cuerpos loticos”; 5) todas las áreas residenciales se consideraron como densidad media (entre 30-80% de superficie sellada). Los cuerpos de agua de los humedales Torca y Guaymaral previstos de acuerdo con los planes de recuperación ecológica e hidrológica revisados se incorporaron en los respectivos planes de diseño con los ajustes de áreas necesarios.
4) Áreas no incluidas en el análisis futuro: Corresponden a áreas que bien están consolidadas sin mayores posibilidades de cambio, o bien son áreas que no cuentan con disposiciones normativas posibles de mapear, y que fueron por esta razón dejadas fuera del análisis (Fig. 2, área amarilla).
2.4. Identificación y análisis de servicios ecosistémicos
Se utilizó el sistema de clasificación CICES (por el acrónimo Common International Clasification of Ecosystem Services, que significa Clasificación Internacional Común de Servicios Ecosistémicos) en su versión 5.1, publicado el año 2018, para la identificación de SE, que opera sobre una clasificación jerárquica de cascada que identifica servicios específicos clasificados en clases, grupos, divisiones y secciones, separándolos a priori tres grandes grupos (Haines-Young & Potschin, 2016). Estos grupos son: 1) los servicios de abastecimiento donde se incluyen todos aquellos bienes materiales como por ejemplo la biomasa que se extrae ya sea de árboles y plantas, peces de ríos, lagos y mar, así como cualquier otra sustancia de origen orgánico producida mediante el metabolismo de los ecosistemas. Como servicios de abastecimiento abióticos también se consideran materiales como el agua; 2) los servicios de regulación, que incluyen todos aquellos procesos naturales que benefician al ser humano, como por ejemplo el control del clima local o la depuración del aire y del agua que proveen ecosistemas de bosques y humedales. Estos servicios son proporcionados por estructuras ecológicas específicas, para su identificación y cuantificación se utilizan los conocimientos científicos disponibles en la ecología de sistemas; 3) los servicios culturales, donde se incluyen todas las interacciones que benefician al ser humano y que se originan en prácticas que dependen de manera fundamental del funcionamiento/existencia de algún ecosistema o de estructuras ecológicas particulares como bosques, arboles, cuerpos de agua, ríos y parques urbanos entre otros, los que sostienen actividades como por ejemplo la recreación, la educación y el turismo.
Se desarrolló un intensivo trabajo de campo con visitas a terreno diarias de entre 6 y 8hrs de duración por una semana, lo que permitió identificar la existencia en terreno de 33 SE (Fig. 3) que incluyen 9 SE de abastecimiento (5 bióticos y 4 abióticos, códigos 1.x.x.x y 4.x.x.x cuadro 1), 15 SE de regulación (13 bióticos y 2 abióticos, códigos 2.x.x.x y 5.x.x.x) y 9 SE culturales (8 bióticos y 1 abiótico, códigos 3.x.x.x y 6.x.x.x).
|
Codigo |
Clases CICESv5.1 |
|
1.1.1.1 |
Plantas terrestres cultivadas (incluidos hongos, algas) con fines nutricionales |
|
1.1.3.1 |
Animales criados con fines nutricionales |
|
1.1.5.1 |
Plantas silvestres (terrestres y acuáticas, incluidos hongos, algas) utilizadas para nutrición |
|
1.1.5.2 |
Fibras y otros materiales de plantas silvestres para uso o procesamiento directo (excluyendo materiales genéticos) |
|
1.1.5.3 |
Plantas silvestres (terrestres y acuáticas, incluidos hongos, algas) utilizadas como fuente de energía |
|
4.2.1.2 |
Agua superficial utilizada como material (excluido uso como bebida) |
|
4.2.2.1 |
Agua de tierra (y subsuelo) para beber |
|
4.2.2.2 |
Agua subterránea (y subsuperficial) utilizada como material (excluido uso como bebida) |
|
4.3.2.1 |
Sustancias no minerales o propiedades del ecosistema utilizadas para fines nutricionales |
|
2.1.1.2 |
Filtración/secuestro/almacenamiento/acumulación por microorganismos, algas, plantas y animales |
|
2.1.2.2 |
Atenuación de ruido |
|
2.1.2.3 |
Proyección visual |
|
2.2.1.1 |
Control de las tasas de erosión |
|
2.2.1.3 |
Regulación de ciclo hidrológico y flujo de agua (incluido el control de inundaciones) |
|
2.2.1.4 |
Protección contra el viento |
|
2.2.2.1 |
Polinización |
|
2.2.2.3 |
Mantencion de poblaciones de viveros y hábitats (incluida la protección de la reserva genetica) |
|
2.2.3.1 |
Control de plagas (incluidas especies invasoras) |
|
2.2.4.2 |
Procesos de descomposición y fijación y su efecto sobre la calidad del suelo |
|
2.2.5.1 |
Regulación de la condición química de las aguas frescas por procesos vivos |
|
2.2.6.1 |
Regulación de la composición química de la atmósfera |
|
2.2.6.2 |
Regulación de la temperatura y la humedad, incluida la ventilación y la transpiración |
|
5.1.1.1 |
Dilución por agua dulce |
|
5.1.1.2 |
Dilución por atmósfera |
|
3.1.1.1 |
Características de los sistemas vivos que permiten actividades que promueven la salud, la recuperación o el disfrute a través de interacciones activas o inmersivas |
|
3.1.1.2 |
Características de los sistemas vivos que permiten actividades que promueven la salud, la recuperación o el disfrute a través de interacciones pasivas u observacionales |
|
3.1.2.1 |
Características de los sistemas vivos que permiten la investigación científica o la creación del conocimiento ecológico tradicional |
|
3.1.2.2 |
Características de los sistemas vivos que permiten la educación y la capacitación |
|
3.1.2.3 |
Características de los sistemas vivos que son resonantes en términos de cultura o patrimonio |
|
3.1.2.4 |
Características de los sistemas vivos que permiten experiencias estéticas |
|
3.2.1.1 |
Elementos de sistemas vivos que tienen significado simbólico |
|
3.2.2.1 |
Características o características de los sistemas vivos que tienen un valor de existencia |
|
6.2.2.1 |
Características o características naturales, abióticas de la naturaleza que tienen una existencia, opción o valor de legado |
Fig. 3 / Servicios ecosistémicos identificados y analizados
Fuente: Elaboración propia
2.5. Valoración de servicios ecosistémicos con método Delphi
Se utilizó el método de matriz (Burkhard & al., 2012) adaptado al ecosistema Bogotano. Este método utiliza un panel de expertos para asignar una valoración nominal de SE en una escala entre 0 y 5. Se convocó a una actividad tipo taller desde las 9 hasta las 14hrs, donde se contó con la participación de 14 expertos para la valoración de los SE (Fig. 4) se incluyó expertos de diversas disciplinas, 11 expertos de las ciencias naturales y 3 expertos de las ciencias sociales; 2) con grado académico universitario equivalente a Magister o superior ; 3) experiencia laboral de al menos 5 años, el promedio de años de experiencia profesional del grupo fue de 14,2 años; y 4) se incluyó expertos del sector público y privado. La valoración proporcionada por los expertos fue completamente anónima, para este efecto se entregaron las matrices de valoración impresas en papel a fin de que los expertos otorgaran sus valoraciones utilizando esas matrices a medida que se presentaban las características ecológicas generales de cada TUE por miembros del equipo investigador. Los expertos entregaron al final del taller sus matrices completas, las que no contenían ningún tipo de información personal, lo que no hizo posible el vincular las valoraciones con los expertos. Las matrices fueron luego promediadas siguiendo métodos aplicados en contextos similares (Montoya-Tangarife & al., 2017; Mukul & al., 2017; Zepp & al., 2021). El valor final utilizado para cada TUE corresponde al promedio simple de las valoraciones otorgadas por los expertos. También se calculó la desviación estándar para estimar la variabilidad de las valoraciones como indicador del consenso del grupo respecto de la valoración promedio.
|
Disciplina |
Experiencia |
|
|
1 |
Ecologia |
8 |
|
2 |
Geografia |
18 |
|
3 |
Biologia |
10 |
|
4 |
Ing. Forestal |
18 |
|
5 |
Ing. Forestal |
15 |
|
6 |
Biologia |
14 |
|
7 |
Ing. Ambiental |
15 |
|
8 |
Lic. Biologia |
14 |
|
9 |
Biologia |
24 |
|
10 |
Leyes (abogacia) |
8 |
|
11 |
Trabajo social |
14 |
|
12 |
Administracion publica |
8 |
|
13 |
Ing. Ambiental |
18 |
|
14 |
Ing. Ambiental |
15 |
Fig. 4 / Detalle de disciplinas y años de experiencia del panel de expertos consultado
Fuente: Elaboración propia
2.6. Mapeo de servicios ecosistémicos
El análisis utiliza una modificación del método de mapeo de SE de matriz (Burkhard & Maes, 2017) que consiste en utilizar los TUE en lugar de coberturas del suelo (Zepp & al., 2021; Zepp & Inostroza, 2021). Para el mapeo de la valoración proporcionada por los expertos se elaboró un mapa compensado por área utilizando una rejilla hexagonal de 1 hectárea (Zepp & Inostroza, 2021) tanto para el análisis como para la comparación entre la situación actual y situación futura.
Se obtuvieron mapas individuales de cada uno de los SE identificados y valorados en la etapa anterior. A fin de sintetizar los patrones espaciales de los servicios analizados, se hizo una integración por grupos de acuerdo con CICES v5.1, SE de abastecimiento (P-ES), de regulación (R-ES) y culturales (C-ES). Los valores por grupos corresponden a la sumatoria de los valores de SE identificados en celdas o partes de celdas especificas pertenecientes a cada grupo, compensados por área. La representación de SE por celdas hexagonales es espacialmente continua y por esta razón permite una mejor evaluación de patrones espaciales de concentración y dispersión. Para el cálculo de SE por celda se utilizó el método de Zepp & Inostroza (2021), usando una modificación de la ecuación original que cuantifica por buffers y no por celdas como en este caso (1):
(1)
Donde:
Ek = provisión total de SE i en celda k (P-ES, R-ES, or C-ES respectivamente)
ai = Superficie del TUE i existente en celda k
ei = Provisión de SE por TUE i (de acuerdo con tabla de valoraciones)
Se utilizó un modelo aditivo a fin de reflejar la contribución concurrente que hacen SE pertenecientes al mismo grupo. Los valores de corte para los rangos de cualificación de SE (bajo, medio, etc.) se calcularon con la siguiente ecuación:
(2)
Donde:
Vix = es el valor de corte para el agrupamiento de las intensidades (clases) de SE valorados.
Ex = es el número total de SE identificados en el grupo respectivo (P-ES, R-ES, o C-ES respectivamente)
2.7. Accesibilidad de la propiedad
La mayoría de los SE culturales requieren del acceso de las personas para poder materializarse. Áreas que no son accesibles no proveen SE culturales pues estos requieren la interacción humana directa, aun desde el punto de vista simbólico. Los símbolos para existir deben estar reconocidos e identificados y ser reconocibles en territorios específicos para estar en condiciones de ser valorados por las personas. Para reflejar esta característica los SE culturales se ajustaron de acuerdo con las condiciones de accesibilidad de la propiedad tanto existentes como futuras considerando tres tipos de áreas: 1) predios privados, que incluyen todos aquellos predios donde el ejercicio de los derechos de propiedad no permiten el acceso de terceros y que corresponden a todas aquellas propiedades en régimen privado obtenidas desde el catastro de propiedades de Bogotá; 2) predios accesibles, aquellos que aun siendo privados garantizan el acceso público para satisfacer sus funciones propias, en este grupo están los cementerios, los estadios y áreas recreativas; y 3) áreas públicas que incluyen calles, parques y otras áreas con acceso público garantizado.
La valoración de SE culturales se ponderó de acuerdo con estas características de acceso de la siguiente manera: 1) la categoría 1 predios privados se ponderó con un coeficiente 0, que refleja su nula capacidad de proveer servicios culturales; 2) la categoría 2 predios accesibles se ponderó con un coeficiente de 0,5, que refleja su capacidad de provisión de servicios culturales eventualmente restringida a las actividades propias de la propiedad en cuestión. El factor 0,5 es conservador pues se estima que la capacidad de provisión de servicios culturales de estas áreas puede llegar a ser considerable y en algunos casos casi equivalente con la provisión de áreas públicas; 3) la categoría 3 áreas públicas se ponderó con un coeficiente de 1, que refleja su completa capacidad de provisión de servicios culturales, dado que se trata de áreas sin restricciones de acceso. Para la situación futura, se agregaron en la categoría 3 todas las áreas de cesión pública proyectadas, que incluyen las áreas verdes, las áreas de manejo y control ambiental, el área del parque humedal Torca Guaymaral, las áreas de rondas y los canales vallados.
2.8. Análisis de distribución espacial
La distribución de patrones espaciales de los grupos de servicios (P-ES, R-ES y C-ES) se mapeó utilizando la herramienta de análisis de clústeres y valores atípicos (Anselin Local Moran’s I) disponible en ArcGIS Pro ©. Esta herramienta identifica áreas estadísticamente significativas que concentran valores altos y bajos y su relación con los valores circundantes y valores atípicos estadísticamente significativos utilizando el estadístico I Anselin Local Moran (Anselin, 1995), donde los pseudo-valores p representan la importancia estadística de los valores de índice calculados. La herramienta separa la concentración estadísticamente significativa de valores altos (rojos) de los valores bajos (azules), clasificándolos a su vez en valores altos y bajos. De esta forma un valor alto-alto implica la concentración de los mayores valores, mientras que un valor alto-bajo corresponde a la concentración de los menores valores en el rango de valores altos. El mismo criterio aplica para los valores bajos pero de manera inversa, donde los valores bajos-altos corresponden a los máximos valores encontrados en el rango de valores bajos y los bajos-bajos a los mínimos en el mismo rango.
Se utilizó el mismo procedimiento para mapear los SE existentes como los futuros. El mapeo de SE esta presentado en forma continua para facilitar el análisis de patrones de distribución espacial (Burkhard & Maes, 2017; Inostroza & Barrera, 2019; Spyra & al., 2018). Esta representación permite evitar la sobreestimación del efecto de las áreas selladas.
2.9. Valoración marginal de servicios ecosistémicos
La valoración marginal presentada corresponde al análisis de los cambios experimentados en cada una de las celdas y se desarrolló para la totalidad de las áreas mapeadas incluidas (Fig. 2) que alcanza las 1356 hectáreas, por grupos de servicios de abastecimiento, regulación y culturales. Se presenta un mapa de cambios en donde se identifican las celdas que aumentan, que disminuyen y que mantienen la provisión de SE, siguiendo el método de (Aldana-Domínguez & al., 2019; Montoya-Tangarife & al., 2017). Los valores marginales se presentan en los mismos rangos de la valoración, en una escala de 0 a 5 a fin de permitir comparaciones directas entre la provisión actual y los cambios futuros respectivos.
3. Resultados
3.1. Mapeo de tipos urbanos estructurales actuales y futuros
Se identificaron 20 TUE actuales en el sector en estudio (Fig. 5). El TUE mayoritario corresponde a pastos y praderas con casi un tercio de la superficie total (31,46%), lo que evidencia el bajo grado de desarrollo urbano del sector. Los 3 TUE mayoritarios, pastos, área deportiva y cementerios cubren el 51,44% del total de la superficie. Los cinco TUE mayoritarios incluyen áreas educativas y arboledas lineales alcanzando en su conjunto un 65,18% del total. Los TUE 16, 17, 18, 19 y 20 corresponden a áreas con infraestructura gris, con sellado completo del suelo por lo cual no aportan SE. Estas áreas suman un 18,26% del área de estudio en la situación actual.
Nota: Las celdas en blanco corresponden a TUE que no existen en la situación futura
|
Familia |
TUE actuales |
ha |
% |
Familia |
TUE |
TUEs futuros |
ha |
% |
|
|
Infraestructura verde |
1 |
Bosque urbano |
71,9 |
3,8% |
Infraestructura verde |
1 |
Bosque urbano |
124,9 |
9,0% |
|
2 |
Arboledas lineales |
127,4 |
6,8% |
2 |
Arboledas lineales |
69,5 |
5,0% |
||
|
3 |
Tierra agricola |
29,9 |
1,6% |
||||||
|
4 |
Áreas Verdes Urbanas (Parques) |
27,3 |
1,5% |
4 |
Áreas Verdes Urbanas (Parques) |
155,6 |
11,2% |
||
|
5 |
Área Deportiva y Recreativa |
237,2 |
12,7% |
5 |
Área Deportiva y Recreativa |
72,3 |
5,2% |
||
|
6 |
Pasto, pradera |
589,5 |
31,5% |
||||||
|
Infraestructura Azul |
7 |
Cuerpos de agua (lenticos) |
34,1 |
1,8% |
Infraestructura Azul |
7 |
Cuerpos de agua (lenticos) |
109,7 |
7,9% |
|
8 |
Cuerpos de agua (loticos) |
13,9 |
0,7% |
8 |
Cuerpos de agua (loticos) |
11,3 |
0,8% |
||
|
Residencial |
9 |
Residencial / Urbano / < 30 sellado |
102,9 |
5,5% |
|||||
|
10 |
Residencial / Urbano / >80 sellado |
1,5 |
0,1% |
||||||
|
11 |
Residencial / Urbano / 30-80 sellado |
1,2 |
0,1% |
Residencial |
11 |
Residencial / Urbano / 30-80 sellado |
177,9 |
12,8% |
|
|
Equipamiento |
12 |
Cementerios |
137,2 |
7,3% |
Equipamiento |
12 |
Cementerios |
128,8 |
9,3% |
|
13 |
Área comercial |
7,6 |
0,4% |
13 |
Área comercial |
57,0 |
4,1% |
||
|
14 |
Área Educativa, Cultural y Social |
130,1 |
6,9% |
14 |
Área Educativa, Cultural y Social |
101,1 |
7,3% |
||
|
Infraestructura Gris |
15 |
Zona Industrial y Bodegas |
19,9 |
1,1% |
Infraestructura Gris |
15 |
Zona Industrial y Bodegas |
7,3 |
0,5% |
|
16 |
Calles y caminos pavimentados |
106,6 |
5,7% |
16 |
Calles |
364,2 |
26,3% |
||
|
17 |
Terreno baldio |
37,1 |
2,0% |
||||||
|
18 |
Estacionamientos |
56,4 |
3,0% |
||||||
|
19 |
Edificios |
92,4 |
4,9% |
19 |
Edificios |
0,5 |
0,04% |
||
|
20 |
Otros pavimentos |
49,6 |
2,6% |
20 |
Otros pavimentos |
5,1 |
0,4% |
||
|
Area total en estudio |
1.873,8 |
3333 |
Sin clasificar |
1,3 |
0,1% |
||||
|
Area total analizada |
1.386,5 |
100,0% |
Fig. 5 / Listado completo de TUE utilizado en el mapeo actual y futuro
Fuente: Elaboración propia
En la situación futura (Fig. 5) la clasificación de usos del suelo de los diseños contenidos en los archivos CAD dio un total de 15 usos, incluyendo áreas no clasificadas que no pudieron ser asignadas a ningún TUE. Predominan las áreas destinadas a vías con un 26,3% seguidas por las áreas residenciales con un 12,8% del total y las áreas verdes urbanas un 11,47%. En su conjunto estos 3 TUE cubren el 51,43% del total del área de estudio en la situación futura.
Cada uno de estos usos del suelo se homologaron con los respectivos TUE lo que permitió identificar 13 TUE dentro de los 14 planes parciales analizados (Fig. 6). Al interior de los planes parciales, las áreas residenciales cubren el mayor porcentaje alcanzando el 30,4% del total seguido de calles con un 28,1%. En tercer lugar, se encuentran las áreas verdes con un 11,3% del total. En su conjunto estos tres TUE alcanzan el 68,9% del total de la superficie de los planes parciales analizados.
Nota: Los diseños de estos 14 planes se ajustan a los contenidos normativos contenidos en el Decreto 88/2017
Fig. 6 / Mapeo de TUE actuales (izquierda) y futuros (derecha)
Fuente: Elaboración propia
3.2. Provisión actual y futura de servicios ecosistémicos
En términos de SE de abastecimiento predominan las áreas con muy baja capacidad las que alcanzan el 53% del total. Las áreas con baja capacidad llegan al 27% mientras que las áreas con media capacidad representan el 19%. No existen áreas con alta ni muy alta capacidad. Las áreas con capacidad cero alcanzan el 0,2% del total. La distribución espacial de dichas áreas sigue la presencia de grandes áreas de pastizales (Fig. 7). Para los SE de regulación la mayor superficie posee media capacidad alcanzando un 51% del total. Las áreas con baja capacidad llegan al 32% mientras que las áreas con muy baja capacidad representan el 15%. La alta capacidad solo llega al 2% mientras que un 0.2% del área posee capacidad nula (Fig. 7).
Fig. 7 / Resultados de SE actuales (arriba) y futuro (abajo) para SE de abastecimiento (izquierda), de regulación (centro) y culturales (derecha)
Fuente: Elaboración propia
En el caso de los SE culturales el mayor porcentaje lo poseen las áreas con capacidad nula, las que llegan al 39% del total. Estas áreas corresponden a predios privados a los cuales no se puede acceder. Las áreas con muy baja capacidad representan el 31% mientras que las con baja capacidad el 29%. Áreas con media capacidad representan solo el 0,3% del total (Fig. 7).
La provisión futura de SE cambia de manera diferencial en los 3 grupos de servicios analizados. En el caso de los SE de abastecimiento, un 78% de la superficie presenta muy baja capacidad, un 20% baja capacidad y un 2% media capacidad. Al igual que para la situación actual, no hay áreas con capacidad alta ni muy alta. Tampoco se observan áreas con capacidad cero. La provisión futura de SE de regulación se concentra mayoritariamente en áreas con baja capacidad, las que llegan al 50% de la superficie. Las áreas con media capacidad alcanzan el 31% y las con muy baja capacidad el 14%. Se observa un 6% de la superficie con alta capacidad, que es una superficie 3 veces mayor que la existente en la situación actual.
La mayor superficie presenta baja capacidad con un 47%, mientras que muy baja capacidad llega al 29%. Las áreas con alta capacidad llegan al 14%, siendo una categoría que no existe en la situación actual. Las áreas con media capacidad representan el 10% del área total. Existe un 0,44% del área con muy alta capacidad de provisión de SE culturales, que no existe en la actualidad. Las áreas con capacidad cero disminuyen desde el 39% de la situación actual al 0,5% en la situación futura.
3.3. Distribución espacial de servicios ecosistémicos actuales y futuros
Las mayores concentraciones de SE en la situación actual se encuentran en los grandes predios sin desarrollo existentes en el área de estudio. Para los SE de regulación en la situación actual los cementerios (Jardines la Inmaculada) tienen un rol importante. Esta relevancia se incrementa en el caso de los SE culturales los que se asocian fuertemente a los cementerios en la situación actual. También existen grandes áreas con valores de SE culturales muy bajos o nulos, asociados a los grandes predios inaccesibles en el sector. En algunos casos estos valores de SE culturales extremadamente bajos coinciden con algunas áreas de planes parciales analizadas. En la situación actual el área del humedal Torca-Guaymaral concentra SE de manera puntual en solo algunas áreas con diferencias significativas entre SE de abastecimiento, regulación y culturales. En la situación futura el humedal Torca-Guaymaral asume un rol de espacio concentrador de SE en las 3 categorías analizadas (Fig. 8). La estructura espacial de esta concentración de SE es continua de norte a sur, y ligeramente de este a oeste. Esta orientación y continuidad espacial constituye un corredor ecológico natural entre los cerros orientales y el rio Bogotá.
Nota: SE actuales arriba y futuros abajo. SE de abastecimiento a la izquierda, de regulación al centro y culturales a la derecha
Fig. 8 / Agrupamientos de SE actuales y futuros
Fuente: Elaboración propia
3.4. Cambios marginales en los servicios ecosistémicos
Hay cambios importantes en las áreas con muy baja capacidad de provisión de SE de abastecimiento las que incrementan su superficie en la situación futura pasando de un 53% a un 78% del total mientras que las áreas con baja y media capacidad disminuyen desde el 27% al 20% y del 19% al 2% respectivamente (Fig. 9). Los cambios marginales se concentran mayoritariamente en las áreas con muy baja pérdida (39%) y muy baja ganancia (35%). Considerando que hay un 22% de áreas con baja pérdida, y solo un 2% con áreas de baja ganancia, es posible decir que el cambio en la provisión de SE de abastecimiento es desfavorable.
Al analizar la distribución espacial de los cambios marginales en los SE de abastecimiento se observa una tendencia de pérdida de SE al interior de los planes parciales analizados mientras que las áreas fuera de los planes parciales concentran las ganancias. Esto refleja el proceso de cancelación típico que ocurre con los cambios de uso del suelo desde usos agropecuarios a usos urbanos, donde la productividad agropecuaria de los suelos no resulta posible de compensar en un ambiente urbano.
Los SE de regulación muestran los cambios más relevantes en la categoría baja capacidad la que se incrementa de un 32% a un 50% y las áreas con media capacidad que disminuye de un 51% a un 31% en la situación futura. Los cambios en las áreas con muy baja capacidad son menores, pasando de un 14,7% a un 13,6%. Se observa también un incremento en las áreas con alta capacidad las que pasan de un 1.8% a un 6% en la situación futura.
Analizando los cambios en los SE de regulación de manera agregada se observa una compensación entre las áreas de pérdida y ganancia entre la situación actual y la futura, donde las ganancias y las pérdidas son casi equivalentes (Fig. 9). La distribución espacial de cambios en los SE de regulación muestra un patrón de pérdidas al interior de las áreas de los planes parciales la que se atenúa con algunos planes parciales que contribuyen al incremento de los SE de regulación, asociados a nuevas infraestructuras verdes.
Fig. 9 / Cambios marginales clasificados arriba y por tipos abajo. SE de abastecimiento a la izquierda, de regulación al centro y culturales a la derecha
Fuente: Elaboración propia
Los cambios en los SE culturales son positivos presentando los mayores incrementos distribuidos en toda el área en estudio. Los mayores cambios corresponden a una disminución muy significativa de áreas con capacidad de provisión nula, las que bajan desde un 39% en la situación actual a un 0.5% en la situación futura. Se observan también incrementos en las áreas con baja capacidad, las que aumentan desde el 29% al 47% y las áreas con media capacidad las que se incrementan desde el 0.3% al 10%. Aparecen en la situación futura áreas con alta capacidad las que alcanzan el 14% y una pequeña contribución de áreas de muy alta capacidad con un 0,4% (Fig. 9).
En caso de los SE culturales predominan las ganancias. Los mayores incrementos se observan en las áreas con muy baja ganancia (48%), baja ganancia (20%), media ganancia (7%), alta ganancia (11%) y muy alta ganancia 0,4%. Las mayores pérdidas se observan en las áreas con muy baja pérdida (12%) y baja pérdida (0,8%). El factor explicativo en estos profundos cambios es el mayor acceso a espacios públicos y áreas recreativas propuesto por el POZN, lo que también incluye la contribución especifica de nuevas áreas con valor ecológico, como el Parque Torca-Guaymaral, las rondas hidráulicas y otras áreas con alta cobertura arbórea.
3.5. Cambios comparativos en las magnitudes de los servicios ecosistémicos
Comparativamente las mayores pérdidas se observan en los SE de abastecimiento y de regulación, con incrementos que se concentran en determinadas áreas asociadas al humedal Torca-Guaymaral y los cementerios. Sin embargo, es necesario prestar atención a las magnitudes de los cambios, pues estos en algunos casos son menores. Los mayores incrementos repartidos por la totalidad del área de estudio se observan en los SE culturales (Fig. 10). La avenida Los Libertadores aparece en los 3 casos como un elemento estructurante con pérdida de SE.
Fig. 10 / Cuantificación de cambios marginales en SE clasificados (izquierda) y por tipos (derecha)
Fuente: Elaboración propia
La variación cuantitativa de los SE analizados refleja los patrones espaciales presentados en la Fig. 8. Hay una pequeña disminución de los valores máximos para los SE de abastecimiento, mientras que para los SE de regulación el valor máximo observado se mantiene. Los SE culturales muestran un incremento muy grande del valor máximo observado, el que se duplica. Los valores promedio presentan un comportamiento muy similar.
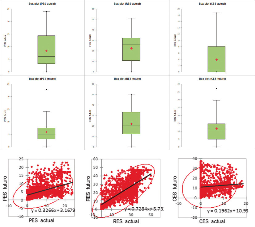
En el caso de los SE de abastecimiento hay una importante disminución en la dispersión de los valores en la situación futura, aun cuando se mantiene una simetría positiva, con la mayoría de los valores por sobre la media la que también se mantiene. En el caso de los SE de regulación la simetría cambia de negativa en la situación actual a positiva en la situación futura, con una ligera disminución de la media. Los SE culturales disminuyen la dispersión de los valores básicamente por la sustancial baja en los valores nulos en la situación futura respecto de la situación actual lo que produce un incremento sustantivo de la media (Fig. 11).
Nota: Box plots arriba con cambios cuantitativos para la situación actual (arriba) y futura (centro). Scatter plots comparando los cambios abajo
Fig. 11 / Box plots y Scatter plots situación actual y futura
Fuente: Elaboración propia
3.6. Cambios cuantitativos marginales
Los histogramas de frecuencia de cambios marginales para los 3 grupos de SE analizados muestran el comportamiento diferencial antes presentado (Fig. 12). En el caso de los SE de abastecimiento y regulación la gran mayoría de los cambios, positivos y negativos, se concentran cercanos al cero. En el caso de los SE culturales la distribución de frecuencias está fuertemente cargada hacia los valores positivos, lo que coincide con los incrementos mostrados anteriormente.
Nota: Histogramas con frecuencia de distribución relativa de valores de cambio para servicios de abastecimiento a la izquierda, de regulación al centro y culturales a la derecha
Fig. 12 / Distribución de frecuencia relativa de servicios ecosistémicos
Fuente: Elaboración propia
Al analizar los cambios en su conjunto (Fig. 13), se observa que los SE de abastecimiento están dominados por pérdida neta. Los SE de regulación compensan las áreas de pérdida con una pequeña ganancia entre la situación presente y futura, lo que es producto de los cambios ecológicos previstos en las áreas que proveen dichos SE hoy y las que los proveerán en el futuro, como el humedal Torca-Guaymaral. El cambio más importante se observa en los SE culturales, los que se incrementan sustancialmente, con una gran ganancia en comparación con una pérdida relativamente pequeña, la que se concentra en las áreas privadas de desarrollo al interior de los planes parciales.
Fig. 13 / Tipos de cambios marginales en los SE
Fuente: Elaboración propia
4. Discusión
El presente estudio demuestra con un ejercicio concreto de transferencia de conocimiento científico sobre los servicios ecosistémicos al ámbito de la planificación y el diseño urbano como la toma de decisiones puede enriquecerse sobre la base de conocimiento empírico. Las decisiones de planificación y desarrollo urbano son políticas, no científicas, e involucran un amplio espectro de consideraciones tanto técnicas como normativas, sociales y económicas. En este contexto, el rol de la ciencia es informar los posibles efectos de las alternativas de desarrollo urbano a fin de minimizar los efectos indeseados de la planificación urbana e incluso poder mejorar la situación actual, en la provisión de SE. Este trabajo proporciona evidencia y método para la articulación efectiva entre política urbana, conocimiento científico e información ecológica clave para la toma de decisiones de los actores públicos y privados. El análisis aquí presentado ha utilizado insumos de planificación reales, pues tanto el POZN como los diseños de planes parciales analizados son instrumentos de planificación aprobados por la autoridad competente. La aplicación de la metodología presentada en este estudio demuestra que el marco operacional de la ciencia de los SE es posible de aplicar directamente en un caso de desarrollo real y concreto, dejando atrás las simples menciones nominales de la importancia de los SE para pasar a su valoración y cuantificación empírica.
Los resultados de la evaluación muestran que, de aplicarse el POZN, existiría una disminución neta de los SE de abastecimiento, una redistribución espacial y cuantitativa de los SE de regulación que compensa pérdidas y ganancias, mientras que los SE culturales presentan ganancias netas, principalmente producto de la mayor provisión de espacios públicos contenidas en el Plan de Ordenamiento Zonal Norte (POZN). Hay perdidas específicas de SE al interior de los planes parciales analizados. En el caso de los SE de abastecimiento la pérdida neta está asociada a procesos de desarrollo urbano, fenómeno que ha sido largamente analizado en la literatura internacional.
Estudios similares en Shanghái han analizado los cambios en la provisión de SE que resultan de planes maestros de desarrollo, demostrando que es necesario implementar cambios en la estructura urbana de los sectores en desarrollo, a fin de asegurar una distribución espacial de SE espacialmente equitativa (Zepp & al., 2021). Otro estudio en el caso colombiano a escala urbano-regional ha revelado patrones de planificación urbana que disminuyen la provisión de SE en áreas de expansión urbana (Aldana-Domínguez & al., 2019). La evidencia empírica disponible demuestra que la planificación urbana está en deuda con el conocimiento científico disponible hipotecando la posibilidad de incrementar el bienestar de las poblaciones urbanas, especialmente en Latinoamérica, mediante disposiciones normativas concebidas con el conocimiento ecológico disponible y operacionalizadas de formas robustas que permitan la comparación de alternativas de diseño. Este trabajo demuestra que es posible sintonizar la tradición del diseño urbano al marco de la ciencia de los SE, con posibilidades concretas de garantizar incrementos en los beneficios que recibirán los futuros habitantes de esos sectores.
4.1. Ventajas del método
El análisis presentado se basa en metodologías probadas con éxito en otras latitudes. El método de TUE tiene dos ventajas: 1) se ajusta de mejor forma a la escala urbana de la evaluación, permitiendo cuantificar la contribución que hacen pequeños cambios en la provisión de SE en un contexto bajo procesos de urbanización; y 2) resulta posible relacionar directamente dichos TUE con características ecológicas urbanas y de esta manera inferir directamente los SE que dichos TUE proporcionan. Por ejemplo, TUE con alta cantidad de superficies pavimentadas interrumpen el ciclo del agua aumentando la escorrentía superficial y reduciendo la infiltración, generando además mayores temperaturas de superficie, razón por la cual un TUE con alto grado de superficie pavimentada no está en condiciones de proveer SE relacionados con el ciclo del agua ni el control del clima.
El método presentado también pone en evidencia las eventuales ganancias y pérdidas ecológicas resultantes de la planificación urbana tradicional basada en zonificaciones y reglas urbanísticas. El estudio abre un camino de exploración de alternativas de planificación urbana en contextos de crisis ecológica y climática haciéndose a la vez cargo de aspectos de equidad ambiental.
4.2. La valoración marginal de opciones de desarrollo
La modelación de SE presentada en este trabajo sigue la sugerencia de (Chan & Satterfield, 2020) a fin de reflejar sus cambios marginales. Las primeras valoraciones de SE elaboradas a partir del trabajo de Costanza (Costanza & al., 1997) se concentraron en la cuantificación de magnitudes de SE en un solo momento determinado a fin de trasladar los beneficios a valores monetarios, como ejercicios de toma de conciencia sobre la contribución de la naturaleza al bienestar humano, en términos monetarios fácilmente comprensibles para un amplio espectro de actores incluyendo elaboradores de políticas y otros especialistas no necesariamente entrenados en conocimiento ecológico (Costanza & al., 2017). Esta es una etapa que ha quedado atrás en beneficio de valoraciones contingentes, comparativas y que informan posibles alternativas de desarrollo (Chan & Satterfield, 2020). Esto significa que ya no basta con el simple cálculo del aporte de los ecosistemas en términos de servicios proporcionados en un momento determinado a una comunidad en particular. El desafío actual consiste en poner esas valoraciones vis a vis con opciones de cambio y desarrollo, a fin de mejorar la toma de decisiones con información empírica de los cambios en la provisión de SE que se vislumbran a partir de las alternativas de desarrollo analizadas.
4.3. Desafíos
El modelo de valoración de SE utilizado en este trabajo incorpora los parámetros urbanísticos existentes en la normativa actual o sus estimaciones. En este sentido, la traslación de planes de diseño urbano y normativa de planes parciales a un conjunto de reglas paramétricas que permitan su evaluación en términos de SE ha sido uno de los mayores desafíos operacionales de este trabajo, lo que pone en evidencia la necesidad de una mejor articulación entre la planificación y diseño urbano con el conocimiento científico actualmente disponible. Este es un gran desafío que requiere la reformulación de una planificación urbana estática todavía basada fundamentalmente en parámetros de edificabilidad y cabida rígidos para dar espacio a consideraciones ecológicas y de SE que permitan incorporar el rol de los ecosistemas en el bienestar de las poblaciones urbanas, permitiendo además esquemas de compensación de los impactos ambientales que mejores la provisión de SE in situ, es decir en los sectores donde el desarrollo urbano ocurre y no en áreas alejadas cómo es posible al amparo de algunas legislaciones de impacto y evaluación ambiental.
La vialidad estructurante es un componente fundamental de la planificación urbana que incluye no obstante coberturas de suelo opuestas desde el punto de vista ecológico, como pavimentos y árboles. En el caso de la vialidad proyectada en el POZN los perfiles de diseño y las disposiciones normativas contenidas en el Decreto 88/2017 no son posibles de asignar directamente y en todos los casos a través de valores cuantitativos para las diferentes vías y requirieron de parametrizaciones de las condiciones ecológicas de la situación futura para estimar la provisión de SE. Esto incluyó aspectos como los tamaños de copa de árboles, alcorques, las superficies permeables contenidas en las vías como drenajes sostenibles (SUDS), etc. En el caso de la Av. Los Libertadores, que pierde SE en la situación futura, este resultado puede ser producto del método de análisis y requeriría estudios más detallados de los cambios previstos en esta avenida para su corroboración, lo que sería importante de determinar considerando el rol ecológico estructurante de esta vía tanto en el sentido norte-sur como oriente-poniente.
Estas soluciones de diseño son fundamentales para un desarrollo urbano sostenible que esté en condiciones de enfrentar el cambio climático, y resultan también de gran relevancia al momento de evaluar los SE presentes en el espacio urbano. Existen hoy herramientas de modelación biofísica como EnhancES, la caja de herramientas del proyecto “Implementación del concepto de servicios ecosistémicos en la planificación de infraestructuras verdes para fortalecer la resiliencia de las metrópolis del Ruhr y las megaciudades chinas” (IMECOGIP por sus siglas en inglés) (https://www.sustainable-urban-regions.org/project/imecogip) que permiten analizar el comportamiento ecológico de distintas alternativas de diseño urbano en términos de la provisión de SE y sus cambios marginales, de manera cuantitativa con evaluación de magnitudes biofísicas en ambiente vectorial SIG (Sistema de Información Geográfica).
4.4. Método de valoración por expertos
El método de valoración por expertos ha sido ampliamente utilizado en el análisis y mapeo de SE en el contexto internacional (Aldana-Domínguez & al., 2019; Burkhard & al., 2018; Kopperoinen & al., 2014; Montoya-Tangarife & al., 2017; Mukul & al., 2017). Es un método sencillo y fácil de implementar que permite la exploración exhaustiva de un amplio conjunto de SE garantizando economía de tiempo y recursos. Considerando que los SE son siempre contexto-específicos, este método es ideal para identificar y mapear los SE que sean relevantes en el contexto geográfico particular que se está evaluando. Por otra parte, la valoración de SE por panel de expertos está altamente correlacionada con las magnitudes biofísicas de dichos servicios (Roche & Campagne, 2019). Estos resultados están en línea con el conocimiento disponible en disciplinas como la economía del comportamiento (Behavioral Economics) que analizan la conducta humana en el contexto de decisiones, evidenciando como estas respuestas han sido modeladas por la evolución, lo que las arraiga a estructuras de respuesta conductual que siguen determinados patrones que resultan predecibles, y no simples percepciones superficiales. Las respuestas rápidas proporcionadas por expertos en el ámbito de su experiencia tienden a ser altamente confiables y basadas en conocimiento adquirido (Kahneman, 2011). Por el contrario, métodos de encuestas a personas no expertas tienden a ser menos confiables e incluso sesgados, basados en percepciones personales injustificadas o prejuicios determinados por el denominado sesgo de sustitución (Kahneman, 2011). Estudios recientes han demostrado que la percepción de personas no expertas respecto de la magnitud de SE presenta diferencias importantes con resultados obtenidos con modelamiento biofísico (Chen & al., en preparación).
Por esta razón es de gran relevancia que los expertos utilizados en este método cumplan con dos características: 1) que posean conocimiento especializado en el ámbito de la pregunta y 2) que posean conocimientos susceptibles de aplicar de manera local.
En el caso particular de la valoración del panel de expertos de este estudio, aun cuando existió variabilidad en las valoraciones de TUE respectivos por cada experto, es posible apreciar que en general las valoraciones fueron bastante modestas, con valores promedio de 1,14 para PES, 2,01 para RES y 2,34 para CES (Fig. 14). Considerando únicamente los valores asignados a los 8 TUE con más alto aporte de SE, los promedios no aumentan más que la desviación estándar de todos los TUE. Esto indica que la valoración otorgada por los expertos es más bien conservadora respecto de los SE que existen en el sector y los beneficios que proporcionan los TUE respectivos. En el anexo 1 se pueden consultar las valoraciones promedio otorgadas por los expertos para cada SE y las respectivas desviaciones estándar.
|
TUE |
PES |
RES |
CES |
|
|
1 |
Bosque urbano |
2,55 |
3,37 |
4,14 |
|
2 |
Arboledas lineales |
1,02 |
2,62 |
2,83 |
|
3 |
Tierra agricola |
2,67 |
2,09 |
2,98 |
|
4 |
Áreas Verdes Urbanas (Parques) |
1,06 |
2,45 |
3,25 |
|
5 |
Área Deportiva y Recreativa |
0,68 |
2,44 |
2,91 |
|
6 |
Pasto, pradera |
2,06 |
2,13 |
2,58 |
|
7 |
Cuerpos de agua (lenticos) |
1,90 |
3,09 |
3,68 |
|
8 |
Cuerpos de agua (loticos) |
1,81 |
2,73 |
3,26 |
|
9 |
Residencial / Urbano / < 30 sellado |
0,86 |
2,04 |
1,80 |
|
10 |
Residencial / Urbano / >80 sellado |
0,24 |
0,66 |
0,71 |
|
11 |
Residencial / Urbano / 30-80 sellado |
0,44 |
1,17 |
1,01 |
|
12 |
Cementerios |
0,53 |
2,61 |
2,63 |
|
13 |
Área comercial |
0,22 |
0,50 |
0,62 |
|
14 |
Área Educativa, Cultural y Social |
0,88 |
1,94 |
2,49 |
|
15 |
Zona Industrial y Bodegas |
0,13 |
0,35 |
0,25 |
|
Promedio total |
1,14 |
2,01 |
2,34 |
|
|
Desviacion estandar total |
0,85 |
0,94 |
1,19 |
|
|
Promedio de TUEs con alto aporte de SE |
1,72 |
2,62 |
3,21 |
Fig. 14 / Promedios de SE por TUE. En la parte inferior se muestran los promedios generales, el promedio total considera todos los TUE, mientras que el promedio de TUE con alto aporte promedia únicamente los primeros 8. Se observa que los promedios de los TUE con alto aporte no son mayores de la suma del promedio total más la desviación estándar
Fuente: Elaboración propia
4.5. Los SE y la planificación urbana en Latinoamérica
Casos de estudio similares de valoración marginal de SE que incluyan la evaluación de normativa y de planes de diseño urbano en la escala aquí presentada son escasos en la literatura científica, la que se concentra en evaluaciones a escalas regionales, nacionales o incluso globales. En una búsqueda realizada en Google Scholar y Scopus no fue posible encontrar publicaciones en castellano avocadas a la identificación, cuantificación y mapeo de SE urbanos en el contexto de la planificación urbana. Aun cuando algunos trabajos mencionan los SE y su relevancia, en general no los valoran ni cuantifican.
Por ejemplo (Francesconi Latorre & al., 2014) analiza las transformaciones de las coberturas de un área de la cuenca del río Fucha en Bogotá en un lapso de 77 años vis a vis sus relaciones con los instrumentos de planificación y gestión. El trabajo menciona a los SE y su relevancia en el contexto de la planificación urbana, pero no hace mención de los sistemas de clasificación, ni a la identificación ni tampoco cuantifica los servicios. En un trabajo más reciente (Córdoba Hernández, 2022) hace un lato análisis de la relevancia de la cartografía de ecosistemas para la planificación urbana, describiendo en detalle las iniciativas más relevantes disponibles como son la cartografía de biotopos y de usos y coberturas del suelo de CORINE (Coordination of Information on the Environment), la cartografía de hábitats, el proyecto MAES (Mapping and Assessment of Ecosystems and their Services) y el sistema de ocupación del suelo de España. Sin embargo, a pesar de reconocer la relevancia de los SE para la planificación, el trabajo no hace ninguna referencia a las metodologías existentes para su identificación, valoración y cuantificación. En otro trabajo (Mujica & al., 2022) utiliza un panel de expertos para identificar y valorar 11 SE de regulación y culturales en el contexto urbano de Mar del Plata, Argentina, al año 2020 sobre la base de CICESv5.1. Los resultados de este trabajo son susceptibles de mapear utilizando el método presentado en este estudio, aunque no obstante no elabora una valoración marginal concentrándose en un solo año.
Mas allá de este último estudio que es muy reciente, al mirar las publicaciones en castellano sobre SE es posible observar un marcado uso discursivo del concepto en el contexto latinoamericano, donde se reconoce la relevancia del concepto, el que sin embargo escasamente se ha operacionalizado y cuantificado. Este vacío se relaciona probablemente con un retraso en el traspaso de conocimiento científico disponible en inglés. El presente trabajo aporta un método y un caso de estudio concreto que demuestra como esta operacionalización se puede llevar a cabo en el contexto del desarrollo urbano, y ayudar de esta manera a mejorar las decisiones de planificación urbana concretas contenidas en disposiciones espacialmente explicitas que afectaran de manera positiva o negativa la provisión de SE.
En el caso particular del desarrollo urbano observado en el sector norte de Bogotá, el presente trabajo aporta evidencia empírica que puede aportar de manera concreta y espacialmente explicita a las decisiones de planificación en curso en el sector estudiado, ayudando a mejorar en aquellos sectores que presentan perdidas de SE y asegurando una adecuada distribución espacial.
5. Conclusiones
Los SE son fundamentales para la calidad de vida urbana y constituyen un marco científico que está en condiciones de ser aplicado en la planificación urbana. El presente trabajo demuestra con una metodología sencilla pero robusta científicamente y de manera espacialmente explicita los beneficios de tal aplicación, sobre un estudio de caso concreto en el norte de Bogotá. Los resultados muestran que producto de las disposiciones contenidas en el POZN y los 14 planes parciales analizados, la provisión de SE cambia hacia el futuro de manera diferencial. Los servicios de abastecimiento disminuyen, corroborando tendencias observadas en otros contextos internacionales, los servicios de regulación compensan pérdidas con una pequeña ganancia, mientras que los servicios culturales mejoran sus magnitudes y distribución espacial. Existen diferencias en términos de distribución espacial y magnitudes que pueden ser objeto de análisis pormenorizados que permitan entender las causas detrás de dichos patrones a fin de poder diseñar las mejores medidas y soluciones para sus respectivas compensaciones.
Estos resultados permitirían, por ejemplo, introducir mejoras en las disposiciones normativas contenidas en el POZN y también en las soluciones de diseño contenidas en los planes parciales, mediante ejercicios de medición de SE localizados en áreas específicas y utilizando herramientas de modelamiento espacial de SE, que podrían mejorar ostensiblemente el comportamiento ecológico de esas soluciones y apoyar la inclusión de soluciones basadas en naturaleza, como techos y fachadas verdes.
La operacionalización de los SE como instrumento de apoyo a la planificación urbana presentada en este trabajo demuestra que la ciencia de los SE puede constituirse en una potente herramienta para un desarrollo urbano más sostenible en Latinoamérica.
6. Bibliografía
Aldana-Domínguez, J. & Ignacio, P. & Gutiérrez-Angonese, J. & Arnaiz-Schmitz, C. & Montes, C. & Narvaez, F. (2019): Assessing the effects of past and future land cover changes in ecosystem services, disservices and biodiversity: A case study in Barranquilla Metropolitan Area (BMA), Colombia. Ecosystem Services, 37(March 2018), 100915. https://doi.org/10.1016/j.ecoser.2019.100915
Anselin, L. (1995): Local indicators of spatial association—LISA. Geographical Analysis, 27(2), pp. 93-115. https://doi.org/10.1111/j.1538-4632.1995.tb00338.x
Braat, L. C. & de Groot, R. (2012): The ecosystem services agenda:bridging the worlds of natural science and economics, conservation and development, and public and private policy. Ecosystem Services, 1(1), pp. 4-15. https://doi.org/10.1016/j.ecoser.2012.07.011
Burkhard, B. & Kroll, F. & Nedkov, S. & Müller, F. (2012): Mapping ecosystem service supply, demand and budgets. Ecological Indicators, 21, pp. 17-29. https://doi.org/10.1016/j.ecolind.2011.06.019
Burkhard, B. & Maes, J. (2017): Mapping Ecosystem Services (B. Burkhard & J. Maes, Eds.). PENSOFT Publishers. https://doi.org/10.1016/s0731-9053(07)00016-3
Burkhard, B. & Maes, J.& Potschin-Young, M. B. & Santos-Martín, F. & Geneletti, D. & Stoev, P. & Kopperoinen, L. & Adamescu, C. M. & Adem Esmail, B. & Arany, I., Arnell, A. & Balzan, M. & Barton, D. N. & Van Beukering, P. & Bicking, S. & Borges, P. A. V. & Borisova, B. & Braat, L. & Brander, L. M. & Zulian, G. (2018): Mapping and assessing ecosystem services in the EU - Lessons learned from the ESMERALDA approach of integration. One Ecosystem, 3. https://doi.org/10.3897/oneeco.3.e29153
Chan, K. M. A. & Satterfield, T. (2020): The maturation of ecosystem services: Social and policy research expands, but whither biophysically informed valuation? People and Nature, 2(4), pp. 1021-1060. https://doi.org/10.1002/pan3.10137
Córdoba Hernández, R. (2022): La importancia de la mapificacion de los ecosistemas y sus servicios para la planificacion urbana. Cuadernos de Investigacion Urbanistica, 145 (noviembre/diciembre), 88. https://doi.org/10.20868/ciur.2022.144.5030
Costanza, R. & D’Arge, R.& de Groot, R.& Farber, S.& Grasso, M.& Hannon, B.& Limburg, K.& Naeem, S.& O’Neill, R. V.& Paruelo, J.& Raskin, R. G.& Sutton, P.& van den Belt, M. (1997): The value of the world’s ecosystem services and natural capital. Nature, 387(1), pp. 253–260. https://doi.org/10.1016/s0921-8009(98)00020-2
Costanza, R. & de Groot, R. & Braat, L. & Kubiszewski, I. & Fioramonti, L. & Sutton, P. & Farber, S. & Grasso, M. (2017): Twenty years of ecosystem services: How far have we come and how far do we still need to go? Ecosystem Services, 28, pp. 1–16. https://doi.org/10.1016/j.ecoser.2017.09.008
Francesconi Latorre, R. & Martínez Clavijo, I. & Díaz Forero, P. & Tenjo Cruz, Á. (2014): Bienes y servicios ecosistémicos en la planificación y gestión de áreas urbanas consolidadas. Territorios, 16(30), pp. 191–218. https://doi.org/10.12804/territ30.2014.09
Fürst, C. & Opdam, P. & Inostroza, L. & Luque, S. (2014): Evaluating the role of ecosystem services in participatory land use planning: Proposing a balanced score card. Landscape Ecology, 29(8). https://doi.org/10.1007/s10980-014-0052-9
Geneletti, D. & Cortinovis, C. & Zardo, L. & Esmail, B. A. (2020): Planning for ecosystem services in cities. In Urban Research & Practice. Springer Nature. https://doi.org/10.1080/17535069.2020.1868248
Haines-Young, R. & Potschin, M. (2016): Categorisation systems: The classification challenge.
Inostroza, L. (2022): Biodiverciudad y region: Un sistema unitario. El cambio de paradigma urbano en el siglo XXI. In Biodiverciudades al 2030. Transformando ciudades con la biodiversidad, pp. 46–56. Instituto de Investigaciones de Recursos Biologicos Alexander von Humboldt.
Inostroza, L. & Barrera, F. D. L. (2019): Ecosystem Services and Urbanisation. A Spatially Explicit Assessment in Upper Silesia, Central Europe. IOP Conference Series: Materials Science and Engineering, 471(9). https://doi.org/10.1088/1757-899X/471/9/092028
IPBES (2022): Methodological Assessment Report on the Diverse Values and Valuation of Nature. In Ipbes (p. 620). IPBES. https://zenodo.org/record/7687931
Kahneman, D. (2011): Thinking Fast and Slow. Penguin Random House, UK.
Kenter, J. O. (2018): IPBES: Don’t throw out the baby whilst keeping the bathwater; Put people’s values central, not nature’s contributions. Ecosystem Services, 33(March), pp. 40-43. https://doi.org/10.1016/j.ecoser.2018.08.002
Kopperoinen, L. & Itkonen, P.& Niemelä, J. (2014): Using expert knowledge in combining green infrastructure and ecosystem services in land use planning: An insight into a new place-based methodology. Landscape Ecology, 29(8), pp. 1361-1375. https://doi.org/10.1007/s10980-014-0014-2
Langemeyer, J. & Connolly, J. J. T. (2020): Weaving notions of justice into urban ecosystem services research and practice. Environmental Science & Policy, 109, pp. 1-14. https://doi.org/10.1016/j.envsci.2020.03.021
Longato, D. & Cortinovis, C.& Albert, C.& Geneletti, D. (2021): Practical applications of ecosystem services in spatial planning: Lessons learned from a systematic literature review. Environmental Science and Policy, 119, pp. 72-84. https://doi.org/10.1016/j.envsci.2021.02.001
Montoya-Tangarife, C. & De La Barrera, F. & Salazar, A. & Inostroza, L. (2017): Monitoring the effects of land cover change on the supply of ecosystem services in an urban region: A study of Santiago-Valparaíso, Chile. PLoS ONE, 12(11), pp. 1-22. https://doi.org/10.1371/journal.pone.0188117
Mujica, C. M. & Karis, C. M. & Ferraro, R. F. (2022): Valoración de los servicios ecosistémicos urbanos desde un enfoque interdisciplinario. Ecología Austral, 32(1), pp. 122-135. https://doi.org/10.25260/ea.22.32.1.0.1707
Mukul, S. A. & Sohel, M. S. I. & Herbohn, J. & Inostroza, L. & König, H. (2017): Integrating ecosystem services supply potential from future land-use scenarios in protected area management: A Bangladesh case study. Ecosystem Services, 26. https://doi.org/10.1016/j.ecoser.2017.04.001
Roche, P. K. & Campagne, C. S. (2019): Are expert-based ecosystem services scores related to biophysical quantitative estimates? Ecological Indicators, 106(October 2018). https://doi.org/10.1016/j.ecolind.2019.05.052
Spyra, M. & Inostroza, L. & Hamerla, A. & Bondaruk, J. (2018): Ecosystem services deficits in cross-boundary landscapes: Spatial mismatches between green and grey systems. Urban Ecosystems. https://doi.org/10.1007/s11252-018-0740-3
Thomas, A. & Masante, D. & Jackson, B. & Cosby, B. & Emmett, B. & Jones, L. (2020): Fragmentation and thresholds in hydrological flow-based ecosystem services. Ecological Applications, 30(2), pp. 1-14. https://doi.org/10.1002/eap.2046
Zepp, H. & Falke, M. & Gunther, F. & Gruenhagen, L. & Inostroza, L. & Zhou, W. & Huang, Q. & Dong, N. (2021): China’s Ecosystem Services Planning: Will Shanghai Lead the Way? Erdkunde, 75(4), pp. 271-293.
Zepp, H. & Inostroza, L. (2021): Who Pays the Bill? Assessing Ecosystem Services Losses in an Urban Planning Context. Land, 10(4), 369. https://doi.org/10.3390/land10040369
7. Listado de Acrónimos/Siglas
| CAD | Computer assisted design (Diseño asistido por computador) |
| CICES | The Common Intenational Classification of Ecosystem Services (Clasificación común internacional de servicios ecosistémicos) |
| CORINE | Coordination of Information on the Environment (Coordinación de Información sobre Medio Ambiente) |
| IMECOGIP | Implementation of the ecosystem services concept in the planning of green infrastructure to strengthen the resilience of the Ruhr metropolis and Chinese megacities (Implementación del concepto de servicios ecosistémicos en la planificación de infraestructuras verdes para fortalecer la resiliencia de las metrópolis del Ruhr y las megaciudades chinas) |
| IPBES | The Intergovernmental Science-Policy Platform on Biodiversity and Ecosystem Services (Plataforma Intergubernamental Científico Normativa sobre Diversidad Biológica y Servicios de los Ecosistemas) |
| MAES | Mapping and Assessment of Ecosystems and their Services (Mapeo y evaluacion de los ecosistemas y de sus servicios) |
| POZN | Plan de ordenamiento zonal norte de Bogotá |
| SE | Servicios ecosistémicos |
| SEEA-EA | The System of Environmental-Economic Accounting—Ecosystem Accounting (Sistema de contabilidad economico-ambiental – contabilidad ecosistemica) |
| SIG | Sistema de información geográfica |
| SUDS | Soluciones urbanas de drenajes sostenibles |
| TUE | Tipos urbanos estructurales |
| ZMPA | Zonas de manejo y protección ambiental |