CREACIÓN DEL ROL PARTICIPANTE DE LAS FAMILIAS EN LA COMUNIDAD EDUCATIVA, CUANDO ES MEDIADA POR LA LEGISLACIÓN. ESTUDIO COMPARATIVO ENTRE ESPAÑA Y COLOMBIA
Creation of the participant role of families in the Educational Community, when it is mediated by legislation. Comparative study between Spain and Colombia


PURIFICACIÓN CRUZ CRUZ(1), MÓNICA BORJAS(2), ANDREA MILENA LAFAURIE MOLINA(2) Y CARLOS DE LA CALLE ARROYO(3)
(1) Universidad de Castilla-La Mancha (España)
(2) Universidad del Norte de Barranquilla (Colombia)
(3) Universidad de Castilla-La Mancha y Universidad de Navarra (España)

DOI: 10.13042/Bordon.2023.95527
Fecha de recepción: 11/07/2022 • Fecha de aceptación: 11/01/2023
Autora de contacto / Corresponding autor: Purificación Cruz Cruz. E-mail:Purificacion.Cruz@uclm.es
Cómo citar este artículo: Cruz Cruz, P., Borjas, M., Lafaurie Molina, A. M. y De la Calle Arroyo, C. (2023). Creación del rol participante de las familias en la comunidad educativa, cuando es mediada por la legislación. Estudio comparativo entre España y Colombia. Bordón, Revista de Pedagogía, 75(2), 49-66. https://doi.org/10.13042/Bordon.2023.95527


INTRODUCCIÓN. La familia constituye el primer agente de educación para los niños, por tanto, tiene que ser un referente imprescindible en la participación democrática e inclusiva de los centros educativos. OBJETIVO. El objetivo principal es analizar la participación de las familias en los órganos colegiados y su relación con la legislación. MÉTODO. Se ha llevado a cabo una investigación comparativa aplicada, que sirva de apoyo a planificaciones organizativas futuras. El estudio se engloba dentro de una metodología cuantitativa, en la que se ha utilizado un cuestionario estructurado para una muestra de 511 familias (283 familias de España y 228 familias de Colombia). Las dos submuestras se han seleccionado por la variable diferenciadora: participación familiar legislada por decreto-ley. RESULTADOS. Los resultados obtenidos demuestran que el nivel de participación en España es significativamente inferior, y que todas las familias de ambos países, que han participado en alguno de estos órganos, se muestran interesadas en seguir formando parte de espacios de colaboración, integración y formación. DISCUSIÓN. Es necesaria, por tanto, la legislación de la participación de las familias españolas, aunque sea por imperativo legal, donde se detalle, reconduzca, oriente, apoye y quizás especifique como deber la participación, ya que es un elemento integrador de una educación de calidad y una formación en la participación social y ciudadana. Colombia está consiguiendo, con el cambio normativo, no solo asistencia obligatoria, sino el interés en el proceso; y nos muestra que la implicación de la administración educativa es una herramienta facilitadora en la construcción del rol participante. CONCLUSIÓN. La cuestión de la participación de las familias es relevante para la comunidad educativa, tal y como se evidencia en las referencias donde se basa el marco teórico del artículo.

Palabras clave: Participación de la familia, Educación comunitaria, Legislación educativa, Investigación comparativa.


Introducción

La participación de madres y padres en educación, o cualquier otro miembro de la comunidad, necesariamente es más que la intervención en los órganos formales de participación y decisión que han de estar creados de acuerdo con la legislación vigente. Dicha participación es inherente a la construcción de sentido de comunidad y a la mejora de la convivencia escolar y política (Rodríguez, 2022Rodríguez, J. (2022). Escuela de familias: objetivos, competencias, historia y legislación. Propuesta genérica. La aventura de crear una escuela de familias. Dykinson. ) y su extrapolación a la vida social (García y Bueno, 2020García, C. y Bueno, J. A. (2020). Un colegio, un pueblo, una comunidad educativa. Participación educativa7(10), 107-121.). Por tanto, debe existir una responsabilidad por parte de las administraciones educativas que deben velar por la creación, fortalecimiento y mantenimiento de estas estructuras de participación; un buen trabajo por parte de los centros, como organizadores y gestores de buenas prácticas; y un compromiso en la creación del rol participante de las familias.

Resulta incuestionable, y lo confirman las investigaciones nacionales e internacionales, que existe una relación clara y positiva entre la participación e implicación de las familias y el desarrollo del alumnado en los centros, sus calificaciones y la destreza social y comunitaria que desarrollan (Coleman y Scheneider, 2018Coleman, J. S. y Scheneider, B. (2018). Parents, their children and schools. Routledge.; Flores y Kyere, 2021Flores, O. y Kyere, E. (2021). Advancing equity-based school leadership: The importance of family-school relationships. The Urban Review, 53, 127-144. https://doi.org/10.1007/s11256-020-00557-z; Consejo Escolar del Estado, 2014Consejo Escolar del Estado (2014). La participación de las familias en la educación escolar. Ministerio de Educación, Cultura y Deporte. https://sede.educacion.gob.es/publiventa/descarga.action?f_codigo_agc=16702 ; Maithreyi y Sriprakash, 2018Maithreyi, R. y Sriprakash, A. (2018). The governance of families in India: education, rights and responsibility. Comparative Education54(3), 352-369.; Smith, 2020Smith, T., Homes, S., Sheridan, S., Cooper, J., Bloomfield, B. y Preast, J. (2020). The effects of consultation-based family-school engagement on student and parent outcomes: A meta-analysis. Journal of Educational and Psychological Consultation. https://doi.org/10.1080/10474412.2020.1749062). Según Egido (2015Egido, I. (2015). La relación familia-escuela. Una visión general. Participación educativa, 4(7), 11-17.), en los años sesenta los resultados del informe Coleman (1966) reflejaban que, efectivamente, las características de las familias influyen en los resultados de los niños en el ámbito académico. Aguirre et al. (2016Aguirre, A. M., Caro Samada, M. D. C., Fernández, S. y Silvero, M. (2016). Familia, escuela y sociedad: Manual para maestros. Repositorio Universidad Internacional de La Rioja. https://reunir.unir.net/handle/123456789/3735) mencionan que, durante la última década del siglo XX, en gran parte de los países occidentales surgió la necesidad de que los padres se involucraran de manera más activa en la gestión de los centros. Se fue generando una idea de la participación como un derecho y un deber. De esta manera se fueron creando distintos órganos colegiados en muchos países, como los consejos escolares, las escuelas de padres, las AMPA, etc. (Pedraza et al., 2017Pedraza, A. P., Moreno, C. P.., Robayo, A. E. y Moreno, E. A. (2017). Familia y escuela: dos contextos comprometidos con la formación en ciclo III de la educación básica. Análisis, 49(91), 301-314. https://doi.org/10.15332/s0120-8454.2017.0091.02). Según Castellano (2019Castellano, C. (2019). La evolución del perfil de la escuela y las familias. Universitad Jaume.), gracias a estos órganos colegiados se intenta asegurar la participación activa, no solo en la gestión del centro, sino también en pasar a formar parte de distintos organismos.

Hernández (2018Hernández, A. (2018). Transitando por el camino de la escuela para padres, madres y representantes. Una experiencia vivida. EPISTEME KOINONIA: Revista Electrónica de Ciencias de la Educación, Humanidades, Artes y Bellas Artes1(1), 51-71.) comenta que existen dos formas de participación. Por un lado, la participación sistemática, regular y estable por parte de padres y madres. Se realiza con la implicación en tareas de apoyo, realización de talleres, colaborando en actividades organizadas y reguladas y con la participación activa en los distintos órganos de coordinación o gestión. Y, por otro, la participación esporádica, que ocurre en momentos puntuales o momentos especiales, caracterizándose por su frecuencia asistemática o baja. Nos referimos a encuentros con el tutor, asistencia a representaciones y fiestas escolares o pequeñas participaciones pedidas por los docentes (García-Díaz, 2016García-Díaz, S. (2016). La importancia de la relación familia-escuela en la etapa de Educación Infantil. http://hdl.handle.net/10902/9815).

Según Tomul et al. (2021Tomul, E., Önder, E. y Taslidere, E. (2021). The relative effect of student, family and school-related factors on math achievement by location of the school. Large-scale Assessments in Education, 9(1), 1-29.) y Fidalgo-García (2018Fidalgo-García, L. (2018). La percepción de la colaboración de las familias y la escuela y su posterior incidencia en el rendimiento académico. http://hdl.handle.net/10902/15244 ), es fundamental que nos concienciemos de la importancia del trabajo en equipo, y que el docente debe comunicarse, conocer a la familia, empatizar y trabajar con ella. Y lo mismo en sentido inverso: la familia debe empatizar y confiar en el profesor de su hijo (Macia, 2019Macià, M. (2019). Principales canales para la comunicación familia-escuela: análisis de necesidades y propuestas de mejora. Revista Complutense de Educación, 30(1), 147-165. http://doi.org/10.5209/RCED.56034). “El único objetivo común es la infancia; su desarrollo integral, su bienestar emocional y su vivencia del presente en plenitud, que incluirá su preparación para el futuro” (Romera, 2017Romera, M. (2017). La familia, la primera escuela de las emociones. Ediciones Destino., p. 47). Para llevar a cabo esta interrelación, las familias cuentan con los siguientes elementos de participación:

Colas y Contreras (2013Colás, P. y Contreras, J. A. (2013). La participación de las familias en los centros de Educación Primaria. Revista de Investigación Educativa, 31(2), 485-499. http://dx.doi.org/10.6018/rie.31.2.171031) demuestran “la baja participación de las familias en el consejo escolar del centro, ya que un 94.5% aseguran no haber participado nunca o muy poco. De igual manera, es destacable la baja implicación en las actividades escolares que se realizan en el centro (AMPA, escuela de familias, etc.), un 78.2% de las respuestas señalan no haber participado nunca o hacerlo de forma muy discreta” (p. 494). Llevot y Berdad (2015Llevot, N. y Bernad, O. (2015). La participación de la familia en la escuela. Revista de la Asociación de la Sociología de la Educación, 8(1). http://dx.doi.org/10.6018/reifop.19.1.246341 ), tras una investigación llevada a cabo en 353 colegios públicos, concluyen que, exceptuando el contacto tutor/a-madre/padre, la participación real es decepcionante y que estos órganos deben redefinir su papel y buscar nuevas estrategias y canales de comunicación para abrirse y dar respuesta a los intereses de todas las familias del centro. Martín-Moreno (2007Martín-Moreno, Q. (2007). Organización y Dirección de Centros Educativos Innovadores. El Centro Educativo Versátil. Editorial McGraw-Hill.) muestra como posibles causas que la mayor parte de los padres no conocen los cauces para la participación en los centros, ni las funciones de los órganos establecidos, culpando de ello tanto al centro educativo, por su falta de información, como a la administración educativa, por la escasez de acciones para la formación y participación de los padres y madres; que no ven utilidad en esa participación ya que no se sienten partícipes del sistema educativo e incluso no se sienten incluidos en la comunidad escolar; que falta motivación, empatía, responsabilidad, etc.; que no se conocen lo suficiente entre ellos para elegir representante, sentirse respaldado o acompañado; que existe incapacidad o desinterés del centro educativo para mover a las familias; que los padres no se consideran preparados, debido a estereotipos o ideas equivocadas sobre el funcionamiento o al considerar que los temas que se debaten en sus reuniones son muy técnicos y específicos; que su interés está en los profesores de su hijo/a, no en el funcionamiento del centro; que tienen incompatibilidad con el horario laboral; que delegan la responsabilidad de la educación de sus hijos en los profesionales; que existe una falta de cultura de participación o que la administración no potencia la democratización.

Según algunos autores como Moya (2018Moya, V. (2018). La interacción de la familia en la escuela. Padres y profesores: nuevas vías de comunicación. Hekademos: Revista Educativa Digital, 25, 62-72.) y Mehlecke et al. (2020Mehlecke, Q., Bernárdez-Gómez, A. y Belmonte, M. L. (2020). La relación familia-escuela como escenario de colaboración en la comunidad educativa. Revista Valore, 5. https://doi.org/10.22408/reva502020465e-5025), la participación de las familias en la comunidad educativa está totalmente reconocida y defendida legalmente, pero actualmente sigue siendo igual de minoritaria. Desde que los padres matriculan a sus hijos en un centro escolar tienen derechos y deberes, aunque no ocurre así en todos los países y sistemas educativos. En varios estudios se ha reconocido que queda mucho camino que recorrer (Orteso, 2017Orteso, P. y Caballero, C. M. (2017). Educación intercultural, experiencias inclusivas: un recorrido por el siglo XXI. Interacções, 43, 254-276. https://doi.org/10.25755/int.12040), sobre todo en España, donde la legislación, las leyes educativas y los reales decretos tratan el tema de forma breve y poco concreta.

Revisión de la literatura

Historia de la legislación española que fundamenta la participación de las familias en el contexto escolar

Realizaremos, siguiendo la investigación llevada a cabo por Rodríguez (2022Rodríguez, J. (2022). Escuela de familias: objetivos, competencias, historia y legislación. Propuesta genérica. La aventura de crear una escuela de familias. Dykinson.), un breve recorrido histórico por las distintas leyes educativas españolas que han reflejado en sus artículos la participación de las familias en los centros educativos:

Es con la Ley de Mejora de la Calidad en la Educación (2013) cuando aparecen experiencias importantes, en algunos centros, trabajando por comunidades de aprendizaje, donde se da cabida a la labor de las familias dentro de las rutinas del colegio. Pero no existe ninguna legislación ni normativa que regule la creación o funcionamiento de las escuelas de familias. No hemos encontrado ningún marco legislativo que oriente o regule, únicamente aparecen experiencias aisladas por parte de la Consejería de Educación de algunas comunidades autónomas, donde animan a su implantación compartiendo buenas prácticas. En ese tipo de experiencias se ha comprobado que, aunque en un primer momento las escuelas de familias dependían de las AMPA, ahora dicho funcionamiento ha recaído en los equipos de orientación o equipos directivos de los centros (Cruz et al., 2022Cruz, P., Borjas, M., Lafaurie, A., Muñoz, A. y Lopesierra, A. (2022). Las escuelas de padres y madres como elemento integrador de una educación de calidad. Comparativa entre España y Colombia. En VV. AA. (2022), Aportaciones docentes del EEES como innovación en las nuevas aulas. Col. Estudios Aranzadi, Thomson Reuters-Aranzadi.).

En la LOMLOE, última ley incorporada, en el artículo 25 aparece que “las madres, padres o tutores y tutoras legales cooperarán estrechamente con los y las docentes, en una acción educativa compartida. Los centros educativos organizarán la colaboración continua con las familias, para garantizar el intercambio y la unidad en la actuación, facilitando su participación y promoviendo su implicación” (Currículo de Educación Primaria, 2022, p. 12). Entendemos que otra vez son los centros los responsables de crear y sostener esa vía de relación, que, desde la administración, no se tratará este tema ni se legislará los cauces de intervención, que los AMPA ya no son los responsables de crear experiencias de aprendizaje comunitaria y, por tanto, que la participación de las familias seguirá siendo realmente decepcionante.

Historia de la legislación colombiana que fundamenta la participación de las familias en el contexto escolar

En Colombia, en 1980, el Ministerio de Educación presentó el proyecto “Padres de Familia”, situando de manera formal la inquietud por la participación de las familias en la vida escolar. Desde ese proyecto, se invitaba a las instituciones educativas a desarrollar acciones para que los padres de familia intervinieran en los procesos de la reforma educativa. A partir de esa disposición se han abierto, cada vez más, espacios de interacción familia-escuela (Pérez, 2000). De manera puntual, la Ley General de Educación o Ley 115 de 1994, en su artículo 7.º, reconoce a la familia como primer responsable de la educación de los niños, destacando la importancia del vínculo con la escuela y apoyando las experiencias de socialización, pedagógicas y recreativas en pro del desarrollo integral de los infantes. Desde esta normativa se explicita la participación de los padres de familia, desde su representación en un órgano de gobierno institucional como lo es el consejo directivo de los establecimientos educativos. A partir de estas iniciativas se comienza a priorizar el interés por este tema en el país, de forma que para el nuevo milenio aparecen nuevas disposiciones y legislaciones que intentan incentivar la participación de las familias en los escenarios escolares. De manera particular, se presentan algunas disposiciones que en los últimos años han orientado los procesos alrededor de la participación de las familias en las instituciones educativas:

Método

Enfoque metodológico, muestra e instrumento

El objetivo de esta investigación es comprobar si la regulación de la participación de las familias, en los centros educativos de sus hijos/as, a través de leyes orgánicas y de reales decretos, aumenta el porcentaje de dicha participación y la creación del rol participante y democrático dentro de las escuelas. Para ello se han seleccionado dos muestras, de dos países distintos, donde en uno de ellos la legislación obliga a los padres y madres a pertenecer y participar de los órganos de gestión y coordinación del centro (Colombia) y otro donde la legislación contempla el derecho a la participación, pero de una forma voluntaria y decisoria por parte de las familias.

Se ha llevado a cabo una investigación de corte cuantitativo, con carácter exploratorio que utiliza como instrumento para la recogida de datos un cuestionario diseñado ad hoc, compuesto por preguntas de respuesta abierta y cerrada, donde se diferencian cuatro partes: datos personales, relación familia-escuela, escuela de padres y otras observaciones (en este estudio solo se han analizado las preguntas cerradas relacionadas con la relación familia-escuela). El instrumento fue validado por un panel de cuatro expertos profesores de la Universidad de Castilla-La Mancha, además de tres profesoras del segundo ciclo de Educación Infantil y dos profesores de Educación Primaria. Una vez recibidas las correcciones, fue revisado por el profesorado de la Universidad del Norte de Barranquilla, adaptando terminología específica para cada contexto. Una vez finalizado se pasó a formato digital: https://forms.gle/ogxAMV7r6wP6qQD29. El cuestionario fue enviado en línea a coordinadores académicos y docentes (Colombia) y equipo directivos y profesorado (España) de una base de datos organizada por los investigadores. Participaron 10 centros de Barranquilla y 10 centros de Toledo, aunque, como suele suceder, la participación fue baja. Los padres y madres de familia diligenciaron el cuestionario entre los meses de abril y septiembre del año 2021.

La muestra, de carácter aleatorio, estaba compuesta por 283 familias de alumnos/as en edad escolar (Educación Infantil y Educación Primaria) de la provincia de Toledo (España) y 228 padres y madres de Educación Preescolar y Educación Básica Primaria del Departamento del Atlántico (Colombia). Tras la revisión de datos se decidió agrupar la edad de los hijos en dos franjas (0-6 y 7-12) equivalentes a las etapas educativas de ambos países, eliminando los que no tenían la edad definida o mayores de 12 años y quedando una muestra de ## [1] 245 en España y ## [1] 222 en Colombia.

Todos los cálculos, gráficos y tablas relativos a esta sección se han realizado con el software R (R Core Team, 2013R Core Team (2013). R: A language and environment for statistical computing. ISBN 3-900051-07-0 In R Foundation for Statistical Computing, Vienna, Austria. http://www.R-project.org/ ). El procesado de los datos y las transformaciones necesarias se han hecho con el paquete dplyr (Wickham et al., 2021), mientras que para los gráficos se han utilizado los paquetes ggplot (Wickahm, 2016Wickham, H. (2016). ggplot2: Elegant Graphics for Data Analysis (Use R!) (english edition) (2.ª ed.). Springer.) y ggpubr (Kassambara, 2020Kassambara, A. (27 de junio 2020). CRAN - Package ggpubr. https://cran.r-project.org/web/packages/ggpubr/index.html ).

Análisis y resultados de los datos

Los índices de fiabilidad y validez del estudio se realizaron a través de un análisis factorial y validación mediante el enfoque de grupos conocidos, por medio de medidas implícitas relacionadas con las dos submuestras utilizadas, basadas en la validez del criterio de selección, ya que se intenta comprobar si la variable “Legislación para la participación de las familias en los centros educativos” produce modificación en los resultados obtenidos.

En la variable sexo (es decir, el miembro de la familia que responde a la encuesta), podemos comprobar que aún sigue prevaleciendo el interés de la madre por participar en actividades relacionadas con el colegio de sus hijos, aunque simplemente sea contestar una encuesta. El valor de participación masculina baja aún más en el subgrupo de Colombia, sin llegar a ser una diferencia significativa. Por otro lado, según la investigación de Martínez (2015Martínez Nieto, L. P. (2015). Participación de los padres de familia en la escuela. La violencia como mediadora de la relación entre los padres y la escuela. Campos en Ciencias Sociales, 3(2), 215-237. https://doi.org/10.15332/s2339-3688.2015.0002.05) en la colaboración y participación de los padres y madres en los procesos escolares, se observa una tendencia a la disminución progresiva de dicha participación a medida que los niños/as y jóvenes avanzan en grado escolar. Por eso, entendemos que la participación de las familias que tenían varios hijos/as será mayor con los progenitores más pequeños, quedándonos con la respuesta del infante menor. En relación con la edad de los encuestados (ver figura 1), la muestra de España tiene un rango de edad superior a la muestra conseguida en Colombia. Dicha diferencia queda justificada al comprobar que actualmente (según el Instituto Nacional de Estadística) el 79.2% de las mujeres en Colombia tienen su primer hijo/a entre los 25 y 29 años, mientras que en España la edad media para tener el primer hijo/a es a los 34 años de edad. Se ha comprobado que la diferencia de edad entre los padres de niños escolarizados en España y los escolarizados en Colombia es significativa (con una significatividad del 5%) a través de un test exacto de Fisher, obteniendo un p-valor de 4,998e-4. Una vez comprobada la equivalencia de las dos submuestras, se pasó a agrupar la edad de los escolares en dos categorías: alumnado de 0-6 años y alumnado de 7-12 años, que corresponden con las etapas de Educación Infantil (España) y Educación Inicial y Preescolar (Colombia) y Primaria (en ambos países).

Figura 1. Datos demográficos de la muestra de España y Colombia. Variables analizadas: sexo y edad de los progenitores o tutores

Imagen

[View full size] [Descargar tamaño completo]

En cuanto a la variable tipo o lugar de centro educativo, se debe tener en cuenta que se ha distinguido únicamente entre centro privado y centro público exclusivamente, ya que en Colombia no existe la educación concertada. Por tanto, los datos de este grupo de padres y madres se han incluido dentro de la muestra de centro privado. La muestra de Toledo tiene mayor prevalencia de zonas rurales porque el estudio se llevó a las distintas urbanizaciones que rodean a la ciudad y que sus habitantes consideran como zona rural a pesar de pertenecer al municipio (ver figura 2).

Figura 2. Tipo de centro educativo, privado o público, para población de ciudad y rural en España y Colombia

Imagen

[Descargar tamaño completo]

Una vez analizados los datos demográficos, pasamos a la segunda parte del cuestionario intentando averiguar qué formas de participación conocen las familias y en cuál de ellas ha participado. A la primera cuestión, Señale las distintas maneras que conoce de participar en los centros educativos (primero aparecen los datos de la muestra de España y en segundo lugar los datos de la comunidad investigada de Colombia), las respuestas son: reuniones de padres 205-176; tutorías con los profesores 239-153; talleres de padres 95-82; AMPA 210-74; consejo escolar 183-68; escuela de padres 105-99; fiestas y celebraciones 186-86.

Figura 3. Respuesta al ítem maneras que conoce de participar en los centros educativos en España y Colombia

Imagen

[View full size] [Descargar tamaño completo]

En la siguiente pregunta, se les indica que solo señalen aquellos organismos, entidades o asociaciones en las que sí han participado. Eliminamos del estudio los encuentros no formales como recogida de los hijos, charla eventual con el profesor, fiestas y celebraciones y otros. Las respuestas obtenidas son (recordamos que primero aparece el número de respuestas de la muestra española y después las respuestas de la muestra colombiana): tutorías con los profesores y reuniones de padres 229-170; participación en el AMPA 61-32; reuniones del consejo escolar 18-34; escuela de padres 43-72. Podemos comprobar (ver figura 4) que, con los datos porcentuales, resulta evidente un mejor resultado de participación en órganos colegiados, en la comunidad de Barranquilla.

Figura 4. Comparativa entre España y Colombia del porcentaje de participación de las familias

Imagen

[View full size] [Descargar tamaño completo]

Excluyendo a los padres, madres y tutores que no conocían las distintas vías de participación [por eliminar el sesgo de inmigración, bajo nivel sociocultural y pobreza educacional, según el estudio de Egido (2020Egido, I. (2020). La colaboración familia-escuela. Revisión de una década de literatura empírica en España (2010-2019). Bordón 72(3), 65-84. https://doi.org/10.13042/Bordon.2020.79394)], a los conocedores se les preguntó si participan o han participado en tutorías, AMPA, consejo escolar o escuelas de padres, extrayendo una comparativa real de las familias que conociendo los órganos de participación e instituciones deciden participar o no (ver figura 5). Los resultados son tremendamente aclaratorios de cómo se está creando la figura de familia participante en la comunidad educativa de los centros de Colombia.

Figura 5. Comparativa entre España y Colombia del porcentaje de participación de las familias conocedoras de los distintos órganos de participación

Imagen

[View full size] [Descargar tamaño completo]

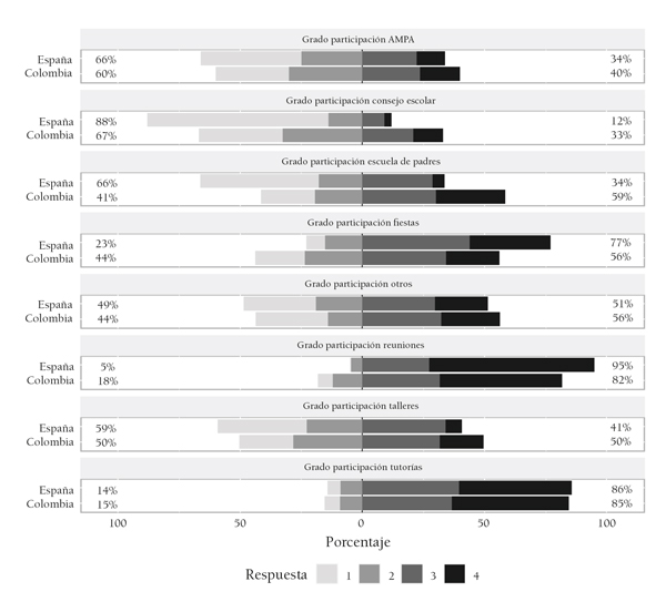
También se les pide que marquen el grado de participación para llevar a cabo una escala Likert, de cuatro opciones de respuesta: nunca (1), casi nunca (2), casi siempre (3) y siempre (4), cuyas respuestas se pueden observar en la figura 6. Para comparar las respuestas obtenidas en España con las logradas en Colombia, para cada pregunta se ha realizado una prueba no paramétrica, test de Wilcoxon, para comprobar si la mediana es igual en ambos grupos. Se aprecian diferencias significativas (al 5%) con mayor participación en Colombia en consejo escolar (p-valor < 1e-8); escuela de padres (p-valor < 1e-8); talleres (p-valor 2,1322e-3); AMPA (p-valor 4,08917e-2); y con mayor participación en España en reuniones con profesores (p-valor 7,5e-6) y fiestas (p-valor 2,23e-5).

Figura 6. Escala Likert por país de la participación real de las familias

Imagen

[View full size] [Descargar tamaño completo]

En el último ítem se les pregunta si, en caso de que su respuesta a la participación haya sido afirmativa, volverían a participar en algunos de los órganos mencionados. La respuesta en España fue: nada probable 3.5 %, casi nada probable 1.4%, probablemente 40.1% y muy probablemente 55%. En Colombia fue: nada probable 5.7%, casi nada probable 1.3% probablemente 27% y muy probablemente 66%.

Discusión y conclusiones

Los resultados del estudio permiten constatar el logro del objetivo propuesto. En primer lugar, se puede observar que la mayoría de los encuestados, de ambos países, sí conocen los órganos que tienen a su disposición para participar democráticamente, pero si se pregunta por su participación, la respuesta disminuye notablemente, especialmente en las familias españolas. Por tanto, podemos afirmar que no es equitativa la participación al conocimiento de la existencia de los modelos de inclusión en el funcionamiento del centro educativo; participación que puede ser un aprendizaje ciudadano que verifique su identidad, sus necesidades y su potencial democrático (Oraisón, 2009).

Existen numerosas investigaciones en España (Aguirre et al., 2016Aguirre, A. M., Caro Samada, M. D. C., Fernández, S. y Silvero, M. (2016). Familia, escuela y sociedad: Manual para maestros. Repositorio Universidad Internacional de La Rioja. https://reunir.unir.net/handle/123456789/3735; Cruz et al., 2022Cruz, P., Borjas, M., Lafaurie, A., Muñoz, A. y Lopesierra, A. (2022). Las escuelas de padres y madres como elemento integrador de una educación de calidad. Comparativa entre España y Colombia. En VV. AA. (2022), Aportaciones docentes del EEES como innovación en las nuevas aulas. Col. Estudios Aranzadi, Thomson Reuters-Aranzadi.; García, 2018García, A. (2018). Los vínculos escuela familia en el proceso de formación pedagógica. EduSol18(62), 148-154.; Giro et al., 2014Giró, J., Mata, A., Vallespir, J. y Vigo, B. (2014). Familias y escuelas: los diferentes discursos sobre la participación. Ehquidad: International Welfare Policies and Social Work Journal, 2, 65-90. https://doi.org/10.15257/ehquidad.2014.0009; Gomariz et al., 2019Gomariz, M. A., Parra. J., García. M. P. y Hernández, M. A. (2019). De lo formal a lo real. Análisis de la participación familiar en asociaciones de madres y padres y consejos escolares. Aula Abierta, 48(1), 85-96. https://doi.org/10.17811/rifie.48.1.2019.85-96; Hernández-Samaniego, 2017Hernández-Samaniego, E. M. (2017). La participación de las familias en el aula de Educación Infantil de 2 años. Propuestas prácticas. http://uvadoc.uva.es/handle/10324/26543) que nos indican las causas de la baja participación desde el prisma de las familias: falta de tiempo, turnos de trabajo, poca información, desinterés, no saber cómo hacerlo, expresar que no es su obligación, etc. También se han analizado las causas desde la praxis de los centros educativos y los órganos que la componen (Álvarez et al., 2020Álvarez, L. F., González, R. y Ruiz, B. (2020). Estudio exploratorio sobre la percepción del profesorado acerca de la participación de las madres en los centros escolares de educación infantil y primaria. Pedagogía Social: Revista Interuniversitaria, 36, 111-123. https://doi.org/10.7179/PSRI_2020.36.07; Egido, 2020Egido, I. (2020). La colaboración familia-escuela. Revisión de una década de literatura empírica en España (2010-2019). Bordón 72(3), 65-84. https://doi.org/10.13042/Bordon.2020.79394 ; Gomariz et al., 2019Gomariz, M. A., Parra. J., García. M. P. y Hernández, M. A. (2019). De lo formal a lo real. Análisis de la participación familiar en asociaciones de madres y padres y consejos escolares. Aula Abierta, 48(1), 85-96. https://doi.org/10.17811/rifie.48.1.2019.85-96; González, 2020González, M. D. (2020). Orientación educativa y tutoría. Editorial Sanz y Torres, S. L. ; Jimeno, 2018Jimeno, M. E. (2018). Acción tutorial en Educación Infantil. http://uvadoc.uva.es/handle/10324/31585; Torrubia et al., 2017)Torrubia, E., Guzón, J. L. y Sánchez, J. M. (2017). Padres y escuelas que hacen crecer en el siglo XXI ALTERIDAD. Revista de Educación12(2), 215-223. https://doi.org/10.17163/alt.v12n2.2017.07), destacando la falta de interés por parte de los docentes, miedo a abrir sus aulas y sentirse fiscalizados, falta de tiempo, nula gestión por los equipos de dirección, poca implicación de los padres y madres que pertenecen al AMPA, no creación de cauces o vías de participación, especialmente después de la pandemia, etc. Pero son muy pocos los artículos encontrados que busquen las causas en el planteamiento y legislación de las distintas Administraciones educativas españolas. La participación de las familias en el proceso educativo es objeto de preocupación de todos los textos legislativos de los últimos años, contienen algunos artículos, disposiciones y preceptos que abordan el tema desde un punto de vista orientativo y defensor de la relación entre participación y calidad educativa, pero pocos artículos concretan la forma de participar de forma efectiva. Las leyes no impiden la ejecución de los postulados, pero no anima a la creación y no refuerza la consecución de este paradigma. Las leyes dejan en manos de la dirección de los centros o de la buena voluntad de un grupo de padres o madres la consecución de este principio, que científicamente se ha demostrado conlleva un incremento del éxito escolar.

En cambio, la situación en Colombia es distinta, y aunque numerosas familias encuestadas manifiestan problemas para compatibilizar horarios, su participación es mucho más alta. El origen de esta diferencia puede estar en la Ley n.º 2025 del 23 de julio de 2020 que dicta, apoya y legisla los lineamientos para la implementación de los órganos de participación y escuelas para padres y madres de familia, puesta en marcha por el Ministerio de Educación Nacional de Colombia. Los padres y madres colombianos saben que cuando matriculan a su hijo/a en una institución, están también firmado un compromiso de participación en la vida escolar. Es decir, parten de la premisa de la obligatoriedad para pasar a la motivación y al encuentro, y terminar en el deseo participativo y democrático. Cuando el 66% de las familias colombianas participativas por imperativo legal responden que seguirán formando parte de la comunidad educativa de forma activa y cuando el 55% de las familias españolas que sí han participado de forma voluntaria manifiestan su deseo e interés por seguir, nos muestra que, una vez creado el rol participante, este se mantiene. El problema, por tanto, radica en el primer acercamiento a este tipo de experiencias. O quizás, el problema radique en que el implantar una ley de obligatoriedad de participación sea poco populista, a pesar de sus grandes beneficios para nuestros educandos, sus familias y la sociedad en general.

Consideramos que la educación, a través de escuelas de familias, puede ser un primer paso para la creación de ese rol participante, y es por ello por lo que, desde hace dos años, hemos volcado nuestro interés investigativo y nuestro hacer en este campo: a través de jornadas, conferencias, encuentro, publicaciones y visitas a centros escolares. Pero aún queda mucho camino por recorrer.

Referencias bibliográficas

Aguirre, A. M., Caro Samada, M. D. C., Fernández, S. y Silvero, M. (2016). Familia, escuela y sociedad: Manual para maestros. Repositorio Universidad Internacional de La Rioja. https://reunir.unir.net/handle/123456789/3735
Alonso, I. M. (2020). Escuela de padres. Guía básica para familias y educadores. Norte de Salud Mental16(62), 112-112.
Álvarez, L. F., González, R. y Ruiz, B. (2020). Estudio exploratorio sobre la percepción del profesorado acerca de la participación de las madres en los centros escolares de educación infantil y primaria. Pedagogía Social: Revista Interuniversitaria, 36, 111-123. https://doi.org/10.7179/PSRI_2020.36.07
Bernad, O. y Llevot. N. (2016). El papel de las AMPA en los centros escolares: actuaciones y retos. Revista de Sociología de la Educación 9(3), 367. https://doi.org/10.7203/RASE.9.3.8984
Bisquerra Alzina, R. (2010). Orientación psicopedagógica y educación emocional en la educación formal y no formal. Agora Digital, 2.
Castellano, C. (2019). La evolución del perfil de la escuela y las familias. Universitad Jaume.
Colás, P. y Contreras, J. A. (2013). La participación de las familias en los centros de Educación Primaria. Revista de Investigación Educativa, 31(2), 485-499. http://dx.doi.org/10.6018/rie.31.2.171031
Coleman, J. S. y Scheneider, B. (2018). Parents, their children and schools. Routledge.
Consejo Escolar del Estado (2014). La participación de las familias en la educación escolar. Ministerio de Educación, Cultura y Deporte. https://sede.educacion.gob.es/publiventa/descarga.action?f_codigo_agc=16702
Cruz, P., Borjas, M., Lafaurie, A., Muñoz, A. y Lopesierra, A. (2022). Las escuelas de padres y madres como elemento integrador de una educación de calidad. Comparativa entre España y Colombia. En VV. AA. (2022), Aportaciones docentes del EEES como innovación en las nuevas aulas. Col. Estudios Aranzadi, Thomson Reuters-Aranzadi.
Egido, I. (2015). La relación familia-escuela. Una visión general. Participación educativa, 4(7), 11-17.
Egido, I. (2020). La colaboración familia-escuela. Revisión de una década de literatura empírica en España (2010-2019). Bordón 72(3), 65-84. https://doi.org/10.13042/Bordon.2020.79394
Fidalgo-García, L. (2018). La percepción de la colaboración de las familias y la escuela y su posterior incidencia en el rendimiento académico. http://hdl.handle.net/10902/15244
Flores, O. y Kyere, E. (2021). Advancing equity-based school leadership: The importance of family-school relationships. The Urban Review, 53, 127-144. https://doi.org/10.1007/s11256-020-00557-z
García, A. (2018). Los vínculos escuela familia en el proceso de formación pedagógica. EduSol18(62), 148-154.
García, C. y Bueno, J. A. (2020). Un colegio, un pueblo, una comunidad educativa. Participación educativa7(10), 107-121.
García, M. P., Galián, B., Hernández, M. A. y Belmonte, L. (2020). Docentes, familias y órganos de representación escolar. Estudios sobre Educación, 38, 125-144. http://dx.doi.org/10.15581/004.38.125-144
García-Díaz, S. (2016). La importancia de la relación familia-escuela en la etapa de Educación Infantil. http://hdl.handle.net/10902/9815
Giró, J., Mata, A., Vallespir, J. y Vigo, B. (2014). Familias y escuelas: los diferentes discursos sobre la participación. Ehquidad: International Welfare Policies and Social Work Journal, 2, 65-90. https://doi.org/10.15257/ehquidad.2014.0009
Gomariz, M. A., Parra. J., García. M. P. y Hernández, M. A. (2019). De lo formal a lo real. Análisis de la participación familiar en asociaciones de madres y padres y consejos escolares. Aula Abierta, 48(1), 85-96. https://doi.org/10.17811/rifie.48.1.2019.85-96
González, M. D. (2020). Orientación educativa y tutoría. Editorial Sanz y Torres, S. L.
Grifo Villegas, L. (2017). Beneficios, barreras y puentes: la relación familia escuela cosa de todos. Universitat Jaime I.
Hernández, A. (2018). Transitando por el camino de la escuela para padres, madres y representantes. Una experiencia vivida. EPISTEME KOINONIA: Revista Electrónica de Ciencias de la Educación, Humanidades, Artes y Bellas Artes1(1), 51-71.
Hernández-Samaniego, E. M. (2017). La participación de las familias en el aula de Educación Infantil de 2 años. Propuestas prácticas. http://uvadoc.uva.es/handle/10324/26543
Herrera, L. y Espinoza, E. E. (2020). La relación familia-escuela y el rendimiento escolar. Revista Científica, Cultura, Comunicación y Desarrollo, 5(3), 16-20.
Jimeno, M. E. (2018). Acción tutorial en Educación Infantil. http://uvadoc.uva.es/handle/10324/31585
Kassambara, A. (27 de junio 2020). CRAN - Package ggpubr. https://cran.r-project.org/web/packages/ggpubr/index.html
Llevot, N. y Bernad, O. (2015). La participación de la familia en la escuela. Revista de la Asociación de la Sociología de la Educación, 8(1). http://dx.doi.org/10.6018/reifop.19.1.246341
Macià, M. (2019). Principales canales para la comunicación familia-escuela: análisis de necesidades y propuestas de mejora. Revista Complutense de Educación, 30(1), 147-165. http://doi.org/10.5209/RCED.56034
Maithreyi, R. y Sriprakash, A. (2018). The governance of families in India: education, rights and responsibility. Comparative Education54(3), 352-369.
Malaguzzi, L. (2021). La educación infantil en Reggio Emilia. Ediciones Octaedro.
Martín, M. J. (2018). Las escuelas de padres: posibilidades y retos. En Torre, J. C., Orientación familiar en contextos escolares. Universidad Pontificia de Comillas.
Martín-Moreno, Q. (2007). Organización y Dirección de Centros Educativos Innovadores. El Centro Educativo Versátil. Editorial McGraw-Hill.
Martínez, E., Sánchez, P. y Ruiz, M. I. (2012). Familia y educación. Consejería de Educación, Formación y Empleo de Murcia.
Martínez Nieto, L. P. (2015). Participación de los padres de familia en la escuela. La violencia como mediadora de la relación entre los padres y la escuela. Campos en Ciencias Sociales, 3(2), 215-237. https://doi.org/10.15332/s2339-3688.2015.0002.05
Mehlecke, Q., Bernárdez-Gómez, A. y Belmonte, M. L. (2020). La relación familia-escuela como escenario de colaboración en la comunidad educativa. Revista Valore, 5. https://doi.org/10.22408/reva502020465e-5025
Ministerio de Educación y Formación Profesional (2020). Normativa Nacional https://www.educacionyfp.gob.es/mc/intercambia/normativa/nacional.html (Base de datos de todas las leyes y decretos del Ministerio de Educación de Colombia).
Moya, V. (2018). La interacción de la familia en la escuela. Padres y profesores: nuevas vías de comunicación. Hekademos: Revista Educativa Digital, 25, 62-72.
Normograma (2022). Compilación de las normas expedidas por el Ministerio de Educación Nacional. https://www.mineducacion.gov.co/portal/Normatividad/ (base de datos de todas las leyes y decretos del Ministerio de Educación de Colombia)
Oraisón, M. (2009). Participación, escuela y ciudadanía: perspectiva crítica y praxis política. Investigación en la Escuela, 68, 39-50. https://doi.org/10.12795/IE.2009.i68.04
Orteso, P. y Caballero, C. M. (2017). Educación intercultural, experiencias inclusivas: un recorrido por el siglo XXI. Interacções, 43, 254-276. https://doi.org/10.25755/int.12040
Pedraza, A. P., Moreno, C. P.., Robayo, A. E. y Moreno, E. A. (2017). Familia y escuela: dos contextos comprometidos con la formación en ciclo III de la educación básica. Análisis, 49(91), 301-314. https://doi.org/10.15332/s0120-8454.2017.0091.02
R Core Team (2013). R: A language and environment for statistical computing. ISBN 3-900051-07-0 In R Foundation for Statistical Computing, Vienna, Austria. http://www.R-project.org/
Ramírez, C. A. (2018). La escuela de padres como estrategia para la atención del rendimiento académico estudiantil. DIALÉCTICA2(14). https://n9.cl/ncfim
Rodríguez, J. (2022). Escuela de familias: objetivos, competencias, historia y legislación. Propuesta genérica. La aventura de crear una escuela de familias. Dykinson.
Romera, M. (2017). La familia, la primera escuela de las emociones. Ediciones Destino.
Smith, T., Homes, S., Sheridan, S., Cooper, J., Bloomfield, B. y Preast, J. (2020). The effects of consultation-based family-school engagement on student and parent outcomes: A meta-analysis. Journal of Educational and Psychological Consultation. https://doi.org/10.1080/10474412.2020.1749062
Tomul, E., Önder, E. y Taslidere, E. (2021). The relative effect of student, family and school-related factors on math achievement by location of the school. Large-scale Assessments in Education, 9(1), 1-29.
Torrubia, E., Guzón, J. L. y Sánchez, J. M. (2017). Padres y escuelas que hacen crecer en el siglo XXI ALTERIDAD. Revista de Educación12(2), 215-223. https://doi.org/10.17163/alt.v12n2.2017.07
Wickham, H. (2016). ggplot2: Elegant Graphics for Data Analysis (Use R!) (english edition) (2.ª ed.). Springer.

Abstract

Creation of the participant role of families, in the Educational Community, when it is mediated by legislation. Comparative study between Spain and Colombia

INTRODUCTION. The family is the first agent of education for children; therefore, it must be an essential point of reference in the democratic and inclusive participation of educational centers. OBJECTIVE. The main objective is to analyze the participation of families in collegiate bodies and their relationship with legislation. METHOD. Applied comparative research has been carried out to support future organizational planning. The study is part of a quantitative methodology, in which a structured questionnaire was used for a sample of 511 families (283 families from Spain and 228 families from Colombia). The two subsamples were selected by the differentiating variable: family participation legislated by decree-law. RESULTS. The results obtained show that the level of participation in Spain is significantly lower, and that all families in both countries, who have participated in some of these bodies, are interested in continuing to form part of spaces for collaboration, integration, and training. DISCUSSION. Legislation on the participation of Spanish families is therefore necessary, albeit by legal imperative, in which participation is detailed, redirected, guided, supported and perhaps specified as a duty, as it is an integrating element of quality education and training in social and civic participation. Colombia is achieving, with the regulatory change, not only compulsory attendance, but interest in the process; and shows us that the involvement of the educational administration is a facilitating tool in the construction of the participant role. CONCLUSION. The issue of family participation is relevant for the educational community, as evidenced in the references on which the theoretical framework of the article is based.

Keywords: Family participation, Community education, Educational legislation, Comparative research.


Résumé

Création du rôle participant des familles, dans la communauté éducative, promu par la législation. Étude comparative entre l’Espagne et la Colombie

INTRODUCTION. La famille constitue le premier agent de l‘éducation des enfants ; par conséquent, elle doit être une référence essentielle dans la participation démocratique et inclusive des centres éducatifs. OBJECTIF. L’objectif principal est d’analyser la participation des familles aux instances collégiales et leur rapport avec la législation. MÉTHODE. Nous avons réalisé une recherche comparative appliquée, qui servira de support à la future planification de l’organisation. L’étude est menée par une méthodologie quantitative avec un questionnaire structuré et un échantillon de 511 familles (283 familles de l’Espagne et 228 familles de la Colombie). Les deux sous-échantillons ont été sélectionnés par la variable de différenciation : la participation familiale légiférée par décret-loi. RÉSULTATS. Les résultats obtenus montrent que le niveau de participation en Espagne est nettement inférieur et dans tous les deux pays les familles ayant participé à l’un de ces dispositifs sont intéressées à y continuer en faisant partie de ces espaces de collaboration, d’intégration et de formation. DISCUSSION. La législation pour la participation des familles espagnoles semble nécessaire, soit par par impératif légal, soit par une participation détaillée, redirigée, guidée, soutenue ou, peut-être, spécifiée comme un devoir, lorsqu’il s’agit d’un élément intégrateur d’une éducation et d’une formation de qualité favorisant la participation sociale et citoyenne. La Colombie est en train d’obtenir, avec ce changement réglementaire, non seulement la fréquentation obligatoire, mais aussi l’intérêt pour le processus. Cela nous montre que l’implication de l’administration scolaire est un outil facilitateur dans la construction d’un rôle participatif. CONCLUSION. La question de la participation des familles est pertinente pour le fonctionnement de la communauté éducative, comme en témoignent les références sur lesquelles repose le cadre théorique de l‘article.

Mots-clés: Participation des familles, Éducation communautaire, Législation éducative, Recherche comparée.


Perfil profesional de los autores

Purificación Cruz Cruz (autora de contacto)

Profesora contratada doctora del Departamento de Pedagogía, en el Área de Didáctica y Organización Escolar, en la Facultad de Educación de la Universidad de Castilla-La Mancha (España). Su principal línea de investigación es la organización escolar, legislación, escuela de familias, creatividad e inteligencia emocional. Los hallazgos derivados de su labor investigadora se han publicado en numerosos artículos, capítulos de libros, coordinación de monográficos y varios libros. Ha impartido numerosas ponencias sobre el tema investigado y es la directora del proyecto “Escuela de Familias” de la universidad.

Código ORCID: https://orcid.org/0000-0001-5637-3007

Correo electrónico de contacto: Purificacion.Cruz@uclm.es

Dirección para la correspondencia: Campus Tecnológico de la Fábrica de Armas. Avenida Carlos III. s/n. 45071 Toledo, España.

Mónica Borjas

Licenciada en Educación. Especialista en Enseñanza de las Ciencias. Doctora en Educación de la Universidad de Valladolid (España), con el énfasis de Currículum y Evaluación. Investigadora senior del Grupo de Cognición y Educación. Docente del departamento de Educación de la Universidad del Norte en los programas de Licenciatura en Educación Infantil, en la Maestría en Educación y el Doctorado en Educación de la Universidad del Norte. Autora de diferentes artículos y libros sobre el currículo, la formación docente y la evaluación de los aprendizajes.

Código ORCID: https://orcid.org/0000-0001-7823-477X

Correo electrónico de contacto: mborjas@uninorte.edu.co

Andrea Milena Lafaurie Molina

Docente investigadora del Departamento de Educación, en el Instituto de Estudios en Educación (IESE) de la Universidad del Norte (Colombia). Sus principales líneas de investigación están alrededor de la educomunicación, la educación en medios, las relaciones de niños, niñas, adolescentes y jóvenes con los medios y TIC, los procesos de participación e interactividad de la infancia, la orientación socioocupacional, la educación para la paz y la investigación participativa con niños y niñas. Ha sido autora y coautora de artículos, capítulos de libros y libros. 

Código ORCID: https://orcid.org/0000-0002-6686-2194

Correo electrónico de contacto: andreal@uninorte.edu.co

Carlos de la Calle Arroyo

Investigador posdoctoral en la DATAI, en la Universidad de Navarra, y profesor asociado de la Universidad de Castilla-La Mancha, en la Escuela de Ingeniería Técnica Industrial y Aeroespacial de Toledo. Su principal línea de investigación es la estadística, en particular, diseño óptimo de experimentos aplicado a problemas industriales y análisis de datos. Ha publicado en revistas internacionales e impartido numerosas ponencias en congresos de ámbito nacional e internacional, y participa en proyectos de investigación estadística en ámbito industrial y biosanitario.

Código ORCID: https://orcid.org/0000-0002-5099-888X

Correo electrónico de contacto: cdelacallea@unav.es