DISEÑO Y VALIDACIÓN DE LA ESCALA DE MEDIOS DE RESOLUCIÓN DE CONFLICTOS INTERPERSONALES (MERCI) PARA ADOLESCENTES
Design and validation of the Interpersonal Conflict Resolution Scale (MERCI) for adolescents


FRANCISCA FARIÑA(1), MERCEDES NOVO(2), DOLORES SEIJO(2) Y RAMÓN ARCE(2)
(1) Universidad de Vigo (España)
(2) Universidad de Santiago de Compostela (España)

DOI: 10.13042/Bordon.2021.90037
Fecha de recepción: 21/06/2021 • Fecha de aceptación: 05/10/2021
Autor de contacto / Corresponding author: Ramón Arce. E-mail: ramon.arce@usc.es
Fecha de publicación online: 21/12/2021


INTRODUCCIÓN. El impulso de la mediación y el respaldo normativo a los procedimientos alternativos de resolución de conflictos en la adolescencia ha creado la necesidad de dotar a los profesionales que trabajan en ese ámbito de instrumentos de evaluación, a fin de planificar las estrategias de mediación. Por ello, se diseñó un estudio con el objetivo de crear y validar una escala para evaluar las tácticas empleadas por los adolescentes en la gestión y resolución de conflictos. MÉTODO. Se aplicó un pool de ítems (50) que miden (procedimiento Thurstone) la gestión del conflicto a 773 participantes con edades entre 10 y 17 años (M = 12.43, DT = 1.31), y de ambos sexos (50.97% mujeres y 49.03% varones). RESULTADOS. Un análisis factorial confirmatorio validó una escala compuesta por 22 ítems, que se estructura en torno a tres factores (modelo): medios colaborativos, pasivos y agresivos. Además, se observó invarianza del modelo en las submuestras de hombres y mujeres (difCFI < .01) y constató la validez externa (i.e., convergente y discriminante) de la medida. A su vez, tanto la escala como los factores se mostraron fiables (α y ω > .70). DISCUSIÓN. Se discuten las implicaciones y el valor de este instrumento de medida para la intervención en este ámbito y para el diseño de programas de mediación que promuevan habilidades para la resolución del conflicto y de prevención de la violencia.

Palabras clave: Adolescencia, Resolución de conflictos, Manejo del conflicto, Métodos alternativos de resolución de conflictos, Mediación.


Introducción

Desde la formulación de los primeros modelos teóricos que explican los diversos estilos y conductas de gestión y resolución del conflicto, esto es, los medios (sociales, frente a los medios profesionales, los ADR[1]) que emplean las personas para la resolución de conflictos (Blake y Mouton, 1964Blake, R. R. y Mouton, J. S. (1964). The managerial grid. Gulf.; Feldman y Gowen, 1998Feldman, S. S. y Gowen, L. K. (1998). Conflict negotiation tactics in romantic relationships in high school students. Journal of Youth and Adolescence, 27(6), 691-717. https://doi.org/10.1023/A: 1022857731497; Rahim, 1983Rahim, M. A. (1983). A measure of styles of handling interpersonal conflict. Academy of Management Journal, 26(2), 368-376. https://doi.org/10.5465/255985; Thomas y Kilmann, 1974Thomas, K. y Kilmann, R. (1974). Thomas-Kilmann Conflict Mode Instrument. Consulting Psychologists Press. https://www.themyersbriggs.com/-/media/cc2f340c4ad741fabe2d9ac7971e3a.ashx; Van de Vliert y Euwema, 1994Van de Vliert, E. y Euwema, M. C. (1994). Agreeableness and activeness as components of conflict behaviors. Journal of Personality and Social Psychology, 66(4), 674-687. https://doi.org/10.1037/0022-3514.66.4.674), se ha ido desarrollando un mayor interés por el estudio y análisis del mismo. La literatura ha puesto de manifiesto la relación entre los medios desadaptativos empleados en la resolución del conflicto por niños, niñas y adolescentes con la conducta antisocial o delictiva (Levine y Tamburrino, 2014Levine, E. y Tamburrino, M. (2014). Bullying among young children: strategies for prevention. Early Childhood Education Journal, 42(4), 271-278. https://doi.org/10.1007/s10643-013-0600-y; Novo et al., 2016Novo, M., Herbón, J. y Amado, B. G. (2016). Género y victimización: efectos en la evaluación de la violencia psicológica sutil y manifiesta, apego adulto y tácticas de resolución de conflictos. Revista Iberoamericana de Psicología y Salud, 7(2), 89-97. https://doi.org/10.1016/j.rips.2016.05.002), el acoso escolar (Marcos et al., 2020Marcos, V., Gancedo, Y., Castro, B. y Selaya, A. (2020). Dating violence victimization, perceived gravity in dating violence behaviors, sexism, romantic love myths and emotional dependence between female and male adolescents. Revista Iberoamericana de Psicología y Salud, 11(2), 132-145. https://doi.org/10.23923/j.rips.2020.02.040), la violencia en el noviazgo adolescente (Marcos et al., 2020Marcos, V., Gancedo, Y., Castro, B. y Selaya, A. (2020). Dating violence victimization, perceived gravity in dating violence behaviors, sexism, romantic love myths and emotional dependence between female and male adolescents. Revista Iberoamericana de Psicología y Salud, 11(2), 132-145. https://doi.org/10.23923/j.rips.2020.02.040; Moral-Jiménez y González-Sáez, 2020Moral-Jiménez, M. V. y González-Sáez, M. E. (2020). Distorsiones cognitivas y estrategias de afrontamiento en jóvenes con dependencia emocional [Cognitive distortions and coping strategies in young people with emotional dependence]. Revista Iberoamericana de Psicología y Salud, 11(1), 15-30. https://doi.org/10.23923/j.rips.2020.01.032); la violencia juvenil (Cacho et al., 2020Cacho, R., Fernandez-Montalvo, J., López-Goñi, J. J., Arteaga, A. y Haro, B. (2020). Psychosocial and personality characteristics of juvenile offenders in a detention centre regarding recidivism risk. European Journal of Psychology Applied to Legal Context, 12(2), 69-75. https://doi.org/10.5093/ejpalc2020a9); la violencia filioparental (Gallego et al., 2019Gallego, R., Novo, M., Fariña, F. y Arce, R. (2019). Child-to-parent violence and parent-to-child violence: a meta-analytic review. European Journal of Psychology Applied to Legal Context, 11(2), 51-59. https://doi.org/10.5093/ejpalc2019a4); y con los daños en la salud física y psicológica (Fandiño et al., 2021Fandiño, R. Basanta, J., Sanmarco, J., Arce, R. y Fariña, F. (2021). Evaluation of the executive functioning and psychological adjustment of child to parent offenders: epidemiology and quantification of harm. Frontiers in Pschology, 12, 616855. https://doi.org/10.3389/fpsyg.2021.616855; Martinón et al., 2017Martinón, J. M., Fariña, F., Corras, T., Seijo, D., Souto, A. y Novo, M. (2017). Impacto de la ruptura de los progenitores en el estado de salud física de los hijos [Impact of parental breakup on the physical health of children]. European Journal of Education and Psychology, 10(1), 9-14. https://doi.org/10.1016/j.ejeps.2016.10.002).

Recientemente se ha ido incrementando el interés científico en el estudio de los métodos alternativos de resolución de conflictos como estrategia para abordar los conflictos escolares y mejorar la convivencia escolar (García-Raga et al., 2018García-Raga, L., Bo, R. M. y Mondragón-Lasagabaster, J. (2018). Significado y sentido de la mediación escolar desde la perspectiva del alumnado mediador de secundaria. REOP. Revista Española de Orientación y Psicopedagogía, 29(3), 79-93. https://doi.org/10.5944/reop.vol.29.num.3. 2018.23322; Moore, 2014Moore, C. W. (2014). The mediation process: practical strategies for resolving conflict (4th ed.). John Wiley and Sons.), al tiempo que se ha constatado que los programas de mediación entre pares son eficaces en el desarrollo de las habilidades de resolución de conflictos (García-Raga et al., 2017García-Raga, L., Bo, R. M. y Boqué, M. C. (2017). Percepción del alumnado de educación secundaria sobre la mediación escolar en Castellón y Valencia. Revista Complutense de Educación, 28(2), 537-554. http://dx.doi.org/10.5209/rev_RCED.2017.v28.n2.49581; Pulido et al., 2020Pulido, E. G., Cudris, L., Tirado, M. M. y Jiménez, L. K. (2020). Mediación de conflictos y violencia escolar: resultados de intervención a través de un estudio cuasiexperimental. REOP-Revista Española de Orientación y Psicopedagogía, 31(3), 45-63. https://doi.org/10.5944/reop.vol.31.num.3.2020.29261), apoyando la eficacia de la técnicas de mediación en el ámbito escolar (Pulido et al., 2013Pulido, R., Martín-Seoane, G. y Lucas-Molina, B. (2013). Orígenes de los programas de mediación escolar: distintos enfoques que influyen en esta práctica restaurativa. Anales de Psicología/Annals of Psychology, 29(2), 385-392. https://doi.org/10.6018/analesps.29.2.132601). Además, en España, el reciente desarrollo normativo de la Ley Orgánica 8/2021Ley Orgánica 8/2021, de 4 de junio, de Protección Integral a la Infancia y la Adolescencia frente a la Violencia (2021). Boletín Oficial del Estado, 134, 68657-68730. https://www.boe.es/diario_boe/txt.php?id=BOE-A-2021-9347, de 4 de junio, de Protección Integral a la Infancia y la Adolescencia frente a la Violencia, al referirse al ámbito educativo ha incluido la necesidad de promover métodos pacíficos de comunicación, negociación y resolución de conflictos en niños, niñas y adolescentes (art. 30) y, en general, en la comunidad educativa (art. 31). Esta ley dispone también el desarrollo de programas de formación a adultos y a niños, niñas y adolescentes en habilidades para la negociación y resolución de conflictos intrafamiliares como medio de prevención (art. 26.3). El impulso de la mediación y el respaldo normativo a los procedimientos alternativos de resolución de conflictos demanda mayor conocimiento y evidencia sobre las herramientas que se emplean en la intervención y, particularmente, de la medida de los medios con los que los adolescentes afrontan la resolución de conflictos (Laursen y Collins, 1994Laursen, B. y Collins, W. A. (1994). Interpersonal conflict during adolescence. Psychological Bulletin, 115(2), 197. https://doi.org/10.1037/0033-2909.115.2.197; Thayer et al., 2008Thayer, S. M., Updegraff, K. A. y Delgado, M. Y. (2008). Conflict resolution in Mexican American adolescents’ friendships: links with culture, gender and friendship quality. Journal of Youth and Adolescence, 37(7), 783-797. https://doi.org/10.1007/s10964-007-9253-8).

Partiendo de estas consideraciones previas, y al amparo del nuevo contexto normativo, es necesario dotarse de herramientas psicométricas fiables y válidas para la evaluación de los medios de gestión y resolución de conflictos, empleados por los niños, niñas y adolescentes españoles (Muñiz et al., 2013Muñiz, J., Elosua, P. y Hambleton, R. K. (2013). Directrices para la traducción y adaptación de los tests: segunda edición [International Test Commission Guidelines for test translation and adaptation: Second edition]. Psicothema, 25(2), 151-157. http://www.psicothema.com/pdf/4093.pdf). Para ello, diseñamos una investigación dirigida a la creación y validación de un instrumento psicométrico que permita evaluar los medios que utilizan los niños, niñas y adolescentes para gestionar y resolver los conflictos que les atañen.

Método

Participantes

En el estudio han participado un total de 773 adolescentes con edades comprendidas entre los 10 y 17 años (M = 12.43; DT = 1.31) de ambos sexos (50.97% mujeres y 49.03% varones) procedentes de la comunidad autónoma de Galicia.

Diseño y procedimiento

Para la obtención de la muestra, se tramitó la autorización de los centros escolares y se contó con el consentimiento de los progenitores. La muestra fue seleccionada mediante un muestreo de tipo accidental. Los participantes cumplimentaron la batería de cuestionarios, respondiendo de manera voluntaria, anónima e individual, supervisados por personal entrenado y durante el horario lectivo. Se siguieron todos los cánones establecidos por la Ley Orgánica 3/2018Ley Orgánica 3/2018, de 5 de diciembre, de Protección de Datos Personales y Garantía de los Derechos Digitales (2018). Boletín Oficial del Estado, 294, 119788-119857. https://www.boe.es/boe/dias/2018/12/06/pdfs/BOE-A-2018-16673.pdf, de 5 de diciembre, de Protección de Datos Personales y Garantía de los Derechos Digitales.

Instrumentos de medida

Se empleó un cuestionario para medir variables sociodemográficas: sexo, edad, curso académico, tipo de centro escolar y provincia. Para la creación de la escala se elaboró un pool de ítems de medida (50), a partir de una revisión exhaustiva de los instrumentos de medida de la resolución y gestión de conflictos y de un banco de ítems de creación propia. Se realizó una prueba de jueces entre docentes expertos (procedimiento de Thurstone) en la materia para valorar la relevancia, pertinencia y la claridad de la formulación de cada ítem, quedando conformada por un total de 22 ítems. El formato de respuesta fue en una escala tipo Likert de cinco puntos desde “no me ocurre nunca o no lo hago” (0) a “me ocurre o lo hago con mucha frecuencia”. Los jueces evaluaron la relevancia, pertinencia y claridad de la formulación de cada ítem en una escala de 11 puntos (desde totalmente relevante/pertinente para la medida de los medios de resolución de conflictos interpersonales en adolescentes/formulado totalmente claro a totalmente irrelevante/no pertinente para la medida/formulación totalmente no clara). Cuando el promedio de las respuestas se situaba en el sentido de formulación no clara, no relevante o no pertinente se eliminaba el ítem. Asimismo, si la distancia intercuartílica era mayor de 2 (falta de consenso interjueces) también se procedió a descartar el ítem.

Análisis de datos

Se sometió el banco de datos del pool de ítems a un análisis factorial confirmatorio (AFC) con el objetivo de identificar el modelo basado en los datos (ajuste modelo-datos). Además, se calcularon los estadísticos descriptivos de los 22 ítems identificados como modelo ajustado a los datos en el AFC. La fiabilidad de los factores se estimó en términos de la consistencia interna (alpha de Cronbach) y fiabilidad compuesta (ω de MacDonald). También, se sometió a prueba la invarianza del modelo de medida en función del sexo de los participantes. Finalmente, se evaluó la validez externa correlacionando los factores de la escala de este estudio (MERCI) con constructos relacionados.

Resultados

Estadísticos descriptivos de los ítems

En primera instancia, se ofrecen los estadísticos descriptivos mínimo, máximo, media, desviación típica, asimetría y curtosis para cada uno de los 22 ítems del cuestionario (véase tabla 1). Las puntuaciones medias de los ítems se encuentran en un rango de 0.51 (AGR1) y 2.85 (COL8). Los valores de asimetría se mantienen dentro del rango ± 3 y los de curtosis en el rango de ± 10, por lo que la distribución es normal multivariante y, por ende, pueden llevarse a cabo los análisis factoriales (Brown, 2006Brown, T. A. (2006). Confirmatory factor analysis for applied research. Guilford Press.).

Análisis factorial confirmatorio

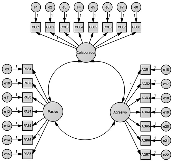
Ejecutado un análisis factorial confirmatorio se concretó un modelo de medida de los medios de resolución de conflictos por niños, niñas y adolescentes españoles (Escala de Medios de Resolución de Conflictos Interpersonales [MERCI]) compuesto por tres subescalas (véase la figura 1): medios agresivos (AGR), medios colaborativos (COL) y medios pasivos (PAS). El modelo estaba sobreidentificado con 253 elementos en la matriz de varianzas-covarianzas: 49 parámetros a estimar y 204 grados de libertad. Además, la razón entre el número de participantes del estudio y el total de parámetros que estimar es adecuada para realizar los procedimientos confirmatorios, al superar el criterio de > .5 (Kline, 2011Kline, R. B. (2011). Principles and practice of structural equation modeling (3rd ed.). Guilford.).

Tabla 1. Estadísticos descriptivos de los ítems
Ítems Mínimo Máximo M DT Asimetría (ET = .086) Curtosis (ET = .171)
AGR1 0 4 0.51 0.90 2.20 4.72
AGR2 0 4 0.94 1.11 1.24 0.85
AGR3 0 4 0.97 1.17 1.21 0.57
AGR4 0 4 0.77 1.07 1.48 1.45
AGR5 0 4 1.78 1.30 0.27 -1.00
AGR6 0 4 1.00 1.17 1.12 0.37
AGR7 0 4 1.02 1.11 1.07 0.51
COL1 0 4 2.38 1.23 -0.43 -0.74
COL2 0 4 2.58 1.19 -0.61 -0.45
COL3 0 4 2.32 1.21 -0.27 -0.76
COL4 0 4 2.35 1.23 -0.36 -0.77
COL5 0 4 2.51 1.19 -0.42 -0.68
COL6 0 4 2.42 1.16 -0.39 -0.55
COL7 0 4 2.62 1.23 -0.60 -0.60
COL8 0 4 2.85 1.17 -0.89 -0.03
PAS1 0 4 1.63 1.19 0.35 -0.68
PAS2 0 4 1.80 1.20 0.18 -0.83
PAS3 0 4 2.11 1.33 -0.12 -1.10
PAS4 0 4 1.57 1.26 0.33 -0.89
PAS5 0 4 1.76 1.21 0.21 -0.79
PAS6 0 4 2.11 1.39 -0.05 -1.25
PAS7 0 4 1.81 1.47 0.23 -1.31
Nota: ET= error típico; AGR = ítem del factor medios agresivos; COL = ítem del factor medios colaborativos; PAS = ítem del factor medios pasivos.

Figura 1. Modelo factorial

Imagen

[View full size] [Descargar tamaño completo]

Por otro lado, se empleó el método Máxima Verosimilitud para estimar los parámetros, mientras que para evitar la infraidentificación del modelo, se fijaron las varianzas de los factores y de los errores a 1, dejando libres 22 cargas factoriales y 22 correlaciones. A mayores, buscando alcanzar un mayor ajuste global del modelo, se realizaron reespecificaciones en el modelo original, añadiendo correlaciones entre los ítems COL1 y COL7, y entre los ítems PAS6 y PAS7. Todos los parámetros estimados alcanzaron la significación estadística (p < .001). En la tabla 2 se pueden apreciar las cargas factoriales y las varianzas de los errores. Todas las cargas factoriales superaron el umbral de .4.

Tabla 2. Cargas factoriales y varianzas de error
Ítems Carga factorial (λ) Varianza de error (δ)
Medios agresivos AGR1 .629 .604
AGR2 .762 .419
AGR3 .612 .625
AGR4 .701 .509
AGR5 .479 .771
AGR6 .737 .457
AGR7 .585 .658
Medios colaborativos COL1 .609 .629
COL2 .715 .489
COL3 .676 .543
COL4 .712 .493
COL5 .743 .448
COL6 .611 .627
COL7 .651 .576
COL8 .607 .632
Medios pasivos PAS1 .449 .798
PAS2 .577 .667
PAS3 .479 .771
PAS4 .545 .703
PAS5 .596 .645
PAS6 .569 .676
PAS7 .409 .833

Adicionalmente, se calcularon las correlaciones entre los factores de la escala MERCI (véase tabla 3). Todas las correlaciones alcanzaron la significación estadística, y presentan una dirección prevista con base en la teoría. De estas se desprende que el empleo de medios agresivos excluye los otros dos medios (correlación negativa), en tanto los medios colaborativos y pasivos se emplean complementariamente (comparten el 34.8% de la varianza). Adicionalmente, se obtuvieron los estadísticos descriptivos de los factores (véase tabla 4).

Tabla 3. Correlaciones entre los factores
Medios agresivos Medios colaborativos Medios pasivos
Medios agresivos --- -.45** -.28**
Medios colaborativos -.45** --- .59**
Medios pasivos -.28** .59** ---
Nota: **la correlación es significativa en el nivel .01 (bilateral).
Tabla 4. Estadísticos descriptivos de los factores
Factores Mínimo Máximo M DT Asimetría (ET = .086) Curtosis (ET = .171)
Medios agresivos 0 4 1 0.79 1.15 1.13
Medios colaborativos 0 4 2.5 0.86 -0.51 0.13
Medios pasivos 0 4 1.83 0.80 0.07 0.45

Finalmente, los índices de bondad de ajuste global del modelo de tres factores (medios agresivos, medios colaborativos y medios pasivos; véase el anexo 1, donde se incluye la escala con la distribución de los factores) lo validaron: χ2 = 759.584 (p < .001); χ2/gl = 3.723; Goodness of Fit Index (GFI) = .915; Tucker-Lewis Index (TLI) = .894; Comparative Fit Index (CFI) = .907; Root Mean Square Error of Approximation (RMSEA) = .058 [.054, .062]; Standardized Root Mean Square Residual (SRMR) = .0471. Los distintos índices son satisfactorios de cara al ajuste global del modelo (Hancock et al., 2018Hancock, G. R., Stapleton, L. M. y Mueller, R. O. (2018). The reviewer’s guide to quantitative methods in the Social Sciences. Routledge.; Schermelleh-Engel et al., 2003Schermelleh-Engel, K., Moosbrugger, H. y Müller, H. (2003). Evaluating the fit of structural equation models: tests of significance and descriptive goodness-of-fit measures. Methods of Psychological Research Online, 8(2), 23-74. http://130.203.136.95/viewdoc/download;jsessionid=AD9867D82BAE04A988349A9F17F3CDF5?doi=10.1.1.506.1827&rep=rep1&type=pdf).

Análisis de fiabilidad

En la tabla 5 se muestran los análisis de fiabilidad para los tres factores del cuestionario desde dos perspectivas: la consistencia interna a partir del estadístico alpha de Cronbach (α) y la fiabilidad compuesta (ω). Los tres factores superaron el umbral óptimo de .70 en ambas estimaciones (Carmines y Zeller, 1979Carmines, E. G. y Zeller, R. A. (1979). Reliability and validity assessment. Sage Publications.; Nunnally, 1978Nunnally, J. C. (1978). Psychometric theory. McGraw-Hill.).

Tabla 5. Análisis de fiabilidad
Factores Alpha de Cronbach (α) Fiabilidad compuesta (ω)
Medios agresivos .83 .83
Medios colaborativos .87 .86
Medios pasivos .73 .72

Invarianza del modelo de medida

Asimismo, se llevó a cabo un análisis de invarianza del modelo de medida en función del sexo de los participantes para saber si el modelo factorial de la escala era homogéneo con base en dos valores de un moderador multigrupal. En este caso, se escogió la variable sexo, con dos valores, mujer y hombre. Para conocer si la estructura factorial era invariante, se comparó un modelo sin restricciones en la estimación de parámetros de ambos grupos (unconstrained model) con otro modelo donde se igualaron las cargas factoriales para ambos grupos (constrain ed model). En la tabla 6 se ofrecen los valores c2 y CFI para cada uno de los modelos.

Tabla 6. Índices de ajuste de los modelos de medida del estudio de invarianza
Modelo χ2 gl CFI
Unconstrained 1025.689 408 .889
Constrained 1059.189 430 .887

La diferencia en χ2 entre el modelo unconstrained y el modelo constrained no alcanza la significación estadística, χ2(22) = 33.5, p = .055, lo cual es favorable a la interpretación de invarianza de las cargas factoriales para ambos sexos. A mayores, la invarianza del modelo de medida se puede corroborar empleando el criterio de Cheung y Rensvold (2002Cheung, G. W. y Rensvold, R. B. (2002). Evaluating goodness-of-fit indexes for testing measurement invariance. Structural Equation Modeling, 9(2), 233-255. https://doi.org/10.1207/S15328007SEM0902_5), que considera que dos modelos son distintos si la diferencia entre los valores de CFI supera el umbral de .01, que, en este caso, no llega a ese valor, por lo que se puede concluir la existencia de invarianza del modelo de medida para mujeres y varones en los parámetros comparados.

Análisis de validez externa

Para examinar la validez externa de la escala se empleó el Sistema de Evaluación de la Conducta de Niños y Adolescentes (González et al., 2004González, J., Fernández, S., Pérez, E. y Santamaría, P. (2004). Adaptación española del sistema de evaluación de la conducta en niños y adolescentes: BASC. TEA.; Reynolds y Kamphaus, 1992Reynolds, C. R. y Kamphaus, R. W. (1992). Behavior assessment system for children. American Guidance Service.). Este instrumento es una medida de autoinforme que evalúa numerosos aspectos del comportamiento y la personalidad, incluyendo dimensiones tanto positivas (adaptativas) como negativas (clínicas). El cuestionario consta de 14 escalas agrupadas en escalas clínicas y adaptativas. Además, incluye 4 índices de medida de la validez de las respuestas: el índice F (medida de tendencia negativa a responder el adolescente con comportamiento negativo), el índice L (tendencia de responder excesivamente positiva por parte del adolescente), el índice de consistencia de la respuesta (grado de consistencia o coherencia en las respuestas del sujeto a ítems de contenido similar) y el índice del patrón de respuesta (número de veces que una determinada respuesta difiere respecto de la dada por esa misma persona al ítem anterior). En cuanto a la fiabilidad de las escalas en este estudio se sitúan entre un α = .70 y α = .90.

Para someter a prueba la validez externa, se calcularon las correlaciones (Pearson) entre los factores de la escala MERCI con factores de las escalas del BASC que medían constructos relacionados. En las tablas 7 y 8 se presentan los resultados que avalan tanto la validez discriminante (correlación negativa con constructos inversamente relacionados, correlación no significativa con constructos no relacionados) como la convergente (correlación positiva con constructos relacionados).

Tabla 7. Correlaciones entre las subescalas de la escala MERCI y las escalas clínicas del BASC y del BASC bis
Escalas clínicas del BASC Escalas clínicas del BASC bis
ANC ANP BS AT LC S ES A D SI
Medios agresivos .36** .33** .34** .34** .30** .39** .28** .10 .35** .31**
Medios colaborativos -.31** -.27** -.31** -.23** -.20** -.24** -.16* -.08 -.24** -.29**
Medio pasivo -.26** -.26** -.33** -.18* -.09 -.20** -.07 -.01 -.14 -.14
Nota: ANC = actitud negativa hacia el colegio; ANP = actitud negativa hacia los profesionales; BS = búsqueda de sensaciones; AT = atipicidad; LC = locus de control; S = somatización; ES = estrés social; A = ansiedad; D = depresión; SI = sentido de incapacidad; *la correlación es significativa en el nivel .05 (bilateral); **la correlación es significativa en el nivel .01 (bilateral).
Tabla 8. Correlaciones entre las subescalas de la escala MERCI y las escalas adaptativas y los factores de segundo orden del BASC
Escalas adaptativas del BASC Factores de segundo orden del BASC
RI RP A CM DC DE AP
Medios agresivos -.28** -.36** -.23** .05 .34** .37** -.36**
Medios colaborativos .17* .27** .18* -.01 -.24** -.37** .27**
Medio pasivo -.01 .27** .02 .00 -.19** -.32** .15*
Nota: RI = relaciones interpersonales; RP = relaciones con los padres; A = autoestima; CM = confianza en sí mismo; DC = desajuste clínico; DE = desajuste escolar; AP = ajuste personal; *la correlación es significativa en el nivel .05 (bilateral); **la correlación es significativa en el nivel .01 (bilateral).

Discusión

Respecto a las limitaciones del presente estudio, es preciso señalar, en primer lugar, que esta escala es un instrumento de autoinforme, de modo que las respuestas de los adolescentes podrían estar mediadas por la deseabilidad social o la negación (Arce et al., 2015Arce, R., Arias, E., Novo, M. y Fariña, F. (2020). Are interventions with batterers effective? A meta-analytical review. Psychosocial Intervention, 29(3), 153-164. https://doi.org/10.5093/pi2020a11; Fariña et al., 2017Fariña, F., Redondo, L., Seijo, D., Novo, M. y Arce, R. (2017). A meta-analytic review of the MMPI validity scales and indexes to detect defensiveness in custody evaluations. International Journal of Clinical and Health Psychology, 17(2), 128-138. https://doi.org/10.1016/j.ijchp.2017.02.002). En segundo lugar, han de considerarse también las limitaciones relativas al tamaño de la muestra y de la edad de los participantes. En tercer lugar, el estudio de los medios de resolución de conflictos ha de completarse, necesariamente, con el análisis del contexto concreto del conflicto y de las características de las personas inmersas en el mismo (Fariña et al., 2020Fariña, F., Arce, R., Tomé, D. y Seijo, D. (2020). Validación del Cuestionario Actitud ante el Conflicto Parental: Autoinformada y Referenciada (ACPar) [Validation of the Attitude to Parental Conflict Questionnaire: Self-reported and Referenced (ACPar)]. Revista Iberoamericana de Psicología y Salud, 11(1), 1-14. https://doi.org/10.23923/j.rips.2020.01.031).

Con estas limitaciones en mente, esta escala ha arrojado indicadores de bondad de ajuste satisfactorios (Schermelleh-Engel et al., 2003Schermelleh-Engel, K., Moosbrugger, H. y Müller, H. (2003). Evaluating the fit of structural equation models: tests of significance and descriptive goodness-of-fit measures. Methods of Psychological Research Online, 8(2), 23-74. http://130.203.136.95/viewdoc/download;jsessionid=AD9867D82BAE04A988349A9F17F3CDF5?doi=10.1.1.506.1827&rep=rep1&type=pdf) y una fiabilidad adecuada en los factores de la escala al superar el umbral óptimo de .70 (Carmines y Zeller, 1979Carmines, E. G. y Zeller, R. A. (1979). Reliability and validity assessment. Sage Publications.; Nunnally, 1978Nunnally, J. C. (1978). Psychometric theory. McGraw-Hill.). Por otro lado, en cuanto a las diferencias de sexo, algunos estudios previos ponen de manifiesto la existencia de diferencias, particularmente en relación con el estilo de compromiso y agresivo (Shute y Charlton, 2006Shute, R. y Charlton, K. (2006). Anger or compromise? Adolescents' conflict resolution strategies in relation to gender and type of peer relationship. International Journal of Adolescence and Youth, 13(1-2), 55-69. https://doi.org/10.1080/02673843.2006.9747966), de manera que las chicas emplean en mayor medida el estilo colaborativo y pasivo, y los chicos un estilo agresivo de resolución del conflicto (Laca et al., 2006Laca, F. A., Alzate, R., Sánchez, M., Verdugo, J. C. y Guzmán, J. (2006). Communication and conflict in young Mexican students: messages and attitudes. Conflict Resolution Quarterly, 24(1), 31-54. https://doi.org/10.1002/crq.156). Sin embargo, en esta escala se confirmaría la existencia de invarianza del modelo de medida para mujeres y varones. A su vez, la estructura factorial de la escala ofrece apoyo al modelo de Van der Vliert y Euwema (1994Van de Vliert, E. y Euwema, M. C. (1994). Agreeableness and activeness as components of conflict behaviors. Journal of Personality and Social Psychology, 66(4), 674-687. https://doi.org/10.1037/0022-3514.66.4.674), ya que las agrupaciones de medios agresivos, colaborativos y pasivos, están caracterizados a su vez según el grado de actividad y agradabilidad, dos de las dimensiones que vertebran las conductas de gestión del conflicto. Además, en el presente estudio, el modelo matemático confirmó la pertenencia y relevancia de cada ítem, así como la estructura factorial de tres factores de la escala, medios colaborativos, pasivos y agresivos, ampliamente respaldada en la literatura (Kimsey y Fuller, 2003Kimsey, W. D. y Fuller, R. M. (2003). Conflictalk: an instrument for measuring youth and adolescent conflict management message styles. Conflict Resolution Quarterly, 21(1), 69-78.; Taylor, 2010Taylor, M. (2010). Does locus of control predict young adult conflict strategies with superiors? An examination of control orientation and the organizational communication conflict instrument. North American Journal of Psychology, 12(3), 445-458.; Thayer et al., 2008Thayer, S. M., Updegraff, K. A. y Delgado, M. Y. (2008). Conflict resolution in Mexican American adolescents’ friendships: links with culture, gender and friendship quality. Journal of Youth and Adolescence, 37(7), 783-797. https://doi.org/10.1007/s10964-007-9253-8; Van de Vliert y Euwema, 1994Van de Vliert, E. y Euwema, M. C. (1994). Agreeableness and activeness as components of conflict behaviors. Journal of Personality and Social Psychology, 66(4), 674-687. https://doi.org/10.1037/0022-3514.66.4.674).

Como medida de autoinforme esta escala permite a los/as adolescentes reflexionar (ver baremos e interpretación en anexo 2) sobre sus conductas para gestionar los conflictos, mejorar el autoconocimiento y la competencia social (Mayorga et al., 2020Mayorga, E. G., Novo, M., Fariña, F. y Arce, R. (2020). Destrezas cognitivas en menores infractores, de protección y normalizados: un estudio de contraste [Cognitive skills in juvenile offenders, protection and normalized youngsters: a contrastive study]. Revista Latinoamericana de Psicología, 52, 160-168. https://doi.org/10.14349/rlp.2020.v52.16) y cognitiva (Arias et al., 2020Arias, E., Arce, R., Vázquez, M. J. y Marcos, V. (2020). Treatment efficacy on the cognitive competence of convicted intimate partner violence offenders. Anales de Psicología/Annals of Psychology, 36(3), 427-435. https://doi.org/10.6018/analesps.428771; Mayorga et al., 2020Mayorga, E. G., Novo, M., Fariña, F. y Arce, R. (2020). Destrezas cognitivas en menores infractores, de protección y normalizados: un estudio de contraste [Cognitive skills in juvenile offenders, protection and normalized youngsters: a contrastive study]. Revista Latinoamericana de Psicología, 52, 160-168. https://doi.org/10.14349/rlp.2020.v52.16). A este respecto, la validez externa de la escala evaluada a través de las escalas adaptativas y clínicas del BASC concuerda con la literatura previa. El empleo de medios colaborativos se asocia con buena salud mental (Marceau et al., 2015Marceau, K., Zahn-Waxler, C., Shirtcliff, E. A., Schreiber, J. E., Hastings, P. y Klimes-Dougan, B. (2015). Adolescents’, mothers’, and fathers’ gendered coping strategies during conflict: youth and parent influences on conflict resolution and psychopathology. Development and Psychopathology, 27(401), 1025. https://doi.org/10.1017/S0954579415000668), apego seguro (Fowler y Dillow, 2011Fowler, C. y Dillow, M. R. (2011). Attachment dimensions and the four horsemen of the apocalypse. Communication Research Reports, 28(1), 16-26. https://doi.org/10.1080/08824096.2010.518910; Tan et al., 2016Tan, J. S., Hessel, E. T., Loeb, E. L., Schad, M. M., Allen, J. P. y Chango, J. M. (2016). Long-term predictions from early adolescent attachment state of mind to romantic relationship behaviors. Journal of Research on Adolescence, 26(4), 1022-1035. https://doi.org/10.1111/jora.12256) y con los rasgos de personalidad extroversión, amabilidad y responsabilidad (Yu et al., 2014Yu, R., Branje, S. J., Keijsers, L. y Meeus, W. H. (2014). Personality types and development of adolescents’ conflict with friends. European Journal of Personality, 28(2), 156-167. https://doi.org/10.1002/per.1913); frente a los medios agresivos vinculados con carencias socioemocionales y bajo ajuste personal (Bravo y Herrera, 2011Bravo, A. y Herrera, L. (2011). Convivencia escolar en Educación Primaria: las habilidades sociales del alumnado como variable moduladora. Dedica: Revista de Educação e Humanidades, 1, 173-212. https://doi.org/10.30827/dreh.v0i1.7166; Fowler y Dillow, 2011Fowler, C. y Dillow, M. R. (2011). Attachment dimensions and the four horsemen of the apocalypse. Communication Research Reports, 28(1), 16-26. https://doi.org/10.1080/08824096.2010.518910; Kalberg et al., 2012Kalberg, J. R., Lane, K. y Lambert, W. (2012). The utility of conflict resolution and study skills interventions with middle school students at risk for antisocial behavior: a methodological illustration. Remedial and Special Education, 33(1), 23-38. https://doi.org/10.1177/0741932510362514) ) o los medios pasivos asociados con sintomatología clínica (Wang et al., 2020Wang, Z., Chen, X., Liu, J., Bullock, A., Li, D., Chen, X. y French, D. (2020). Moderating role of conflict resolution strategies in the links between peer victimization and psychological adjustment among youth. Journal of Adolescence, 79, 184-192. https://doi.org/10.1016/j.adolescence.2020.01.002), apego evitativo (Fowler y Dillow, 2011Fowler, C. y Dillow, M. R. (2011). Attachment dimensions and the four horsemen of the apocalypse. Communication Research Reports, 28(1), 16-26. https://doi.org/10.1080/08824096.2010.518910) e incompetencia social y cognitiva (Arias et al., 2020Arias, E., Arce, R., Vázquez, M. J. y Marcos, V. (2020). Treatment efficacy on the cognitive competence of convicted intimate partner violence offenders. Anales de Psicología/Annals of Psychology, 36(3), 427-435. https://doi.org/10.6018/analesps.428771; Mayorga, Novo, Fariña y Arce, 2020Mayorga, E. G., Novo, M., Fariña, F. y Arce, R. (2020). Destrezas cognitivas en menores infractores, de protección y normalizados: un estudio de contraste [Cognitive skills in juvenile offenders, protection and normalized youngsters: a contrastive study]. Revista Latinoamericana de Psicología, 52, 160-168. https://doi.org/10.14349/rlp.2020.v52.16; Mayorga, Novo, Fariña y Seijo, 2020Mayorga, E., Novo, M. Fariña, F. y Seijo, D. (2020). Estudio de las necesidades en el ajuste personal, social y psicológico en adolescentes en riesgo de delincuencia e infractores [Needs analysis for the personal, social, and psychological adjustment of adolescents at risk of delinquency and juvenile offenders]. Anales de Psicología/Annals of Psychology, 368(3), 400-407. https://doi.org/10.6018/analesps.42863).

También resulta de utilidad para los/as profesionales que realizan intervención en este ámbito, al poder usarla como una medida fiable y válida para establecer el nivel de eficacia de la misma, con independencia de que tenga carácter clínico o educativo, o se lleve a cabo de manera grupal o individual. Así, se puede utilizar en la implementación de planes de convivencia o programas de intervención, que posibiliten el desarrollo de habilidades comunicativas y de gestión de conflictos (Domitrovich et al., 2017Domitrovich, C. E., Durlak, J. A., Staley, K. C. y Weissberg, R. P. (2017). Social-emotional competence: an essential factor for promoting positive adjustment and reducing risk in school children. Child Development, 88(2), 408-416. https://doi.org/10.1111/cdev.12739) y la prevención de los diferentes tipos de violencia (Arce et al., 2020Arce, R., Fariña, F., Seijo, D. y Novo, M. (2015). Assessing impression management with the MMPI-2 in child custody litigation. Assessment, 22(6), 769-777. https://doi.org/10.1177/1073191114558111; Gaffney et al., 2019Gaffney, H., Farrington, D. P., Espelage, D. L. y Ttofi, M. M. (2019). Are cyberbullying intervention and prevention programs effective? A systematic and meta-analytical review. Aggression and Violent Behavior, 45, 134-153. https://doi.org/10.1016/j.avb.2018.07.002; Gallego et al., 2019Gallego, R., Novo, M., Fariña, F. y Arce, R. (2019). Child-to-parent violence and parent-to-child violence: a meta-analytic review. European Journal of Psychology Applied to Legal Context, 11(2), 51-59. https://doi.org/10.5093/ejpalc2019a4; Marcos et al., 2020Marcos, V., Gancedo, Y., Castro, B. y Selaya, A. (2020). Dating violence victimization, perceived gravity in dating violence behaviors, sexism, romantic love myths and emotional dependence between female and male adolescents. Revista Iberoamericana de Psicología y Salud, 11(2), 132-145. https://doi.org/10.23923/j.rips.2020.02.040). Finalmente, esta escala, como herramienta de análisis del conflicto, permite dar un mayor soporte científico y apoyo a los programas de mediación diseñados para promover las habilidades para la resolución del conflicto (Carrasco et al., 2011Carrasco, S., Villà, R., Ponferrada, M. y Casañas, E. (2011). La mediación en el ámbito escolar. En P. Casanovas, J. Magre y M. E. Lauroba (eds.), Libro blanco de la mediación en Cataluña (pp. 497-578). Departament de Justícia de la Generalitat de Catalunya.; Fariña et al., 2017Fariña, F., Redondo, L., Seijo, D., Novo, M. y Arce, R. (2017). A meta-analytic review of the MMPI validity scales and indexes to detect defensiveness in custody evaluations. International Journal of Clinical and Health Psychology, 17(2), 128-138. https://doi.org/10.1016/j.ijchp.2017.02.002; Wied et al., 2007Wied, M., Branje, S. J. y Meeus, W. H. (2007). Empathy and conflict resolution in friendship relations among adolescents. Aggressive Behavior, 33(1), 48-55. https://doi.org/10.1002/ab.20166).

Conflicto de intereses

Los autores de este trabajo declaran que no tienen conflicto de intereses.

Agradecimientos

Esta investigación ha sido financiada por la Consellería de Cultura, Educación y Ordenación Universitaria de la Xunta de Galicia (ED431B 2020/46).

Nota

[1] ADR: Alternative Dispute Resolution.

Referencias bibliográficas

Arce, R., Arias, E., Novo, M. y Fariña, F. (2020). Are interventions with batterers effective? A meta-analytical review. Psychosocial Intervention, 29(3), 153-164. https://doi.org/10.5093/pi2020a11
Arce, R., Fariña, F., Seijo, D. y Novo, M. (2015). Assessing impression management with the MMPI-2 in child custody litigation. Assessment, 22(6), 769-777. https://doi.org/10.1177/1073191114558111
Arias, E., Arce, R., Vázquez, M. J. y Marcos, V. (2020). Treatment efficacy on the cognitive competence of convicted intimate partner violence offenders. Anales de Psicología/Annals of Psychology, 36(3), 427-435. https://doi.org/10.6018/analesps.428771
Blake, R. R. y Mouton, J. S. (1964). The managerial grid. Gulf.
Bravo, A. y Herrera, L. (2011). Convivencia escolar en Educación Primaria: las habilidades sociales del alumnado como variable moduladora. Dedica: Revista de Educação e Humanidades, 1, 173-212. https://doi.org/10.30827/dreh.v0i1.7166
Brown, T. A. (2006). Confirmatory factor analysis for applied research. Guilford Press.
Cacho, R., Fernandez-Montalvo, J., López-Goñi, J. J., Arteaga, A. y Haro, B. (2020). Psychosocial and personality characteristics of juvenile offenders in a detention centre regarding recidivism risk. European Journal of Psychology Applied to Legal Context, 12(2), 69-75. https://doi.org/10.5093/ejpalc2020a9
Carmines, E. G. y Zeller, R. A. (1979). Reliability and validity assessment. Sage Publications.
Carrasco, S., Villà, R., Ponferrada, M. y Casañas, E. (2011). La mediación en el ámbito escolar. En P. Casanovas, J. Magre y M. E. Lauroba (eds.), Libro blanco de la mediación en Cataluña (pp. 497-578). Departament de Justícia de la Generalitat de Catalunya.
Cheung, G. W. y Rensvold, R. B. (2002). Evaluating goodness-of-fit indexes for testing measurement invariance. Structural Equation Modeling, 9(2), 233-255. https://doi.org/10.1207/S15328007SEM0902_5
Domitrovich, C. E., Durlak, J. A., Staley, K. C. y Weissberg, R. P. (2017). Social-emotional competence: an essential factor for promoting positive adjustment and reducing risk in school children. Child Development, 88(2), 408-416. https://doi.org/10.1111/cdev.12739
Fandiño, R. Basanta, J., Sanmarco, J., Arce, R. y Fariña, F. (2021). Evaluation of the executive functioning and psychological adjustment of child to parent offenders: epidemiology and quantification of harm. Frontiers in Pschology, 12, 616855. https://doi.org/10.3389/fpsyg.2021.616855
Fariña, F., Arce, R., Tomé, D. y Seijo, D. (2020). Validación del Cuestionario Actitud ante el Conflicto Parental: Autoinformada y Referenciada (ACPar) [Validation of the Attitude to Parental Conflict Questionnaire: Self-reported and Referenced (ACPar)]. Revista Iberoamericana de Psicología y Salud, 11(1), 1-14. https://doi.org/10.23923/j.rips.2020.01.031
Fariña, F., Redondo, L., Seijo, D., Novo, M. y Arce, R. (2017). A meta-analytic review of the MMPI validity scales and indexes to detect defensiveness in custody evaluations. International Journal of Clinical and Health Psychology, 17(2), 128-138. https://doi.org/10.1016/j.ijchp.2017.02.002
Fariña, F., Seijo, D., Arce, R. y Vázquez, M. J. (2017). Custodia compartida, corresponsabilidad parental y justicia terapéutica como nuevo paradigma [Joint custody, parental co-responsibility, and therapeutic jurisprudence as a new paradigm]. Anuario de Psicología Jurídica, 27(1), 107-113. https://doi.org/10.1016/j.apj.2016.11.001
Feldman, S. S. y Gowen, L. K. (1998). Conflict negotiation tactics in romantic relationships in high school students. Journal of Youth and Adolescence, 27(6), 691-717. https://doi.org/10.1023/A: 1022857731497
Fowler, C. y Dillow, M. R. (2011). Attachment dimensions and the four horsemen of the apocalypse. Communication Research Reports, 28(1), 16-26. https://doi.org/10.1080/08824096.2010.518910
Gaffney, H., Farrington, D. P., Espelage, D. L. y Ttofi, M. M. (2019). Are cyberbullying intervention and prevention programs effective? A systematic and meta-analytical review. Aggression and Violent Behavior, 45, 134-153. https://doi.org/10.1016/j.avb.2018.07.002
Gallego, R., Novo, M., Fariña, F. y Arce, R. (2019). Child-to-parent violence and parent-to-child violence: a meta-analytic review. European Journal of Psychology Applied to Legal Context, 11(2), 51-59. https://doi.org/10.5093/ejpalc2019a4
García-Raga, L., Bo, R. M. y Boqué, M. C. (2017). Percepción del alumnado de educación secundaria sobre la mediación escolar en Castellón y Valencia. Revista Complutense de Educación, 28(2), 537-554. http://dx.doi.org/10.5209/rev_RCED.2017.v28.n2.49581
García-Raga, L., Bo, R. M. y Mondragón-Lasagabaster, J. (2018). Significado y sentido de la mediación escolar desde la perspectiva del alumnado mediador de secundaria. REOP. Revista Española de Orientación y Psicopedagogía, 29(3), 79-93. https://doi.org/10.5944/reop.vol.29.num.3. 2018.23322
González, J., Fernández, S., Pérez, E. y Santamaría, P. (2004). Adaptación española del sistema de evaluación de la conducta en niños y adolescentes: BASC. TEA.
Hancock, G. R., Stapleton, L. M. y Mueller, R. O. (2018). The reviewer’s guide to quantitative methods in the Social Sciences. Routledge.
Kalberg, J. R., Lane, K. y Lambert, W. (2012). The utility of conflict resolution and study skills interventions with middle school students at risk for antisocial behavior: a methodological illustration. Remedial and Special Education, 33(1), 23-38. https://doi.org/10.1177/0741932510362514
Kimsey, W. D. y Fuller, R. M. (2003). Conflictalk: an instrument for measuring youth and adolescent conflict management message styles. Conflict Resolution Quarterly, 21(1), 69-78.
Kline, R. B. (2011). Principles and practice of structural equation modeling (3rd ed.). Guilford.
Laca, F. A., Alzate, R., Sánchez, M., Verdugo, J. C. y Guzmán, J. (2006). Communication and conflict in young Mexican students: messages and attitudes. Conflict Resolution Quarterly, 24(1), 31-54. https://doi.org/10.1002/crq.156
Laursen, B. y Collins, W. A. (1994). Interpersonal conflict during adolescence. Psychological Bulletin, 115(2), 197. https://doi.org/10.1037/0033-2909.115.2.197
Levine, E. y Tamburrino, M. (2014). Bullying among young children: strategies for prevention. Early Childhood Education Journal, 42(4), 271-278. https://doi.org/10.1007/s10643-013-0600-y
Ley Orgánica 3/2018, de 5 de diciembre, de Protección de Datos Personales y Garantía de los Derechos Digitales (2018). Boletín Oficial del Estado, 294, 119788-119857. https://www.boe.es/boe/dias/2018/12/06/pdfs/BOE-A-2018-16673.pdf
Ley Orgánica 8/2021, de 4 de junio, de Protección Integral a la Infancia y la Adolescencia frente a la Violencia (2021). Boletín Oficial del Estado, 134, 68657-68730. https://www.boe.es/diario_boe/txt.php?id=BOE-A-2021-9347
Marceau, K., Zahn-Waxler, C., Shirtcliff, E. A., Schreiber, J. E., Hastings, P. y Klimes-Dougan, B. (2015). Adolescents’, mothers’, and fathers’ gendered coping strategies during conflict: youth and parent influences on conflict resolution and psychopathology. Development and Psychopathology, 27(401), 1025. https://doi.org/10.1017/S0954579415000668
Marcos, V., Gancedo, Y., Castro, B. y Selaya, A. (2020). Dating violence victimization, perceived gravity in dating violence behaviors, sexism, romantic love myths and emotional dependence between female and male adolescents. Revista Iberoamericana de Psicología y Salud, 11(2), 132-145. https://doi.org/10.23923/j.rips.2020.02.040
Marcos, V., Gancedo, Y., Selaya, A. y Novo, M. (2020). Analyzing the path from bullying to bully. En M. Novo y D. Seijo (eds.), Psychology and law: research for practice (pp. 75-88). De Gruyter. https://doi.org/10.2478/9788395669682-007
Martinón, J. M., Fariña, F., Corras, T., Seijo, D., Souto, A. y Novo, M. (2017). Impacto de la ruptura de los progenitores en el estado de salud física de los hijos [Impact of parental breakup on the physical health of children]. European Journal of Education and Psychology, 10(1), 9-14. https://doi.org/10.1016/j.ejeps.2016.10.002
Mayorga, E. G., Novo, M., Fariña, F. y Arce, R. (2020). Destrezas cognitivas en menores infractores, de protección y normalizados: un estudio de contraste [Cognitive skills in juvenile offenders, protection and normalized youngsters: a contrastive study]. Revista Latinoamericana de Psicología, 52, 160-168. https://doi.org/10.14349/rlp.2020.v52.16
Mayorga, E., Novo, M. Fariña, F. y Seijo, D. (2020). Estudio de las necesidades en el ajuste personal, social y psicológico en adolescentes en riesgo de delincuencia e infractores [Needs analysis for the personal, social, and psychological adjustment of adolescents at risk of delinquency and juvenile offenders]. Anales de Psicología/Annals of Psychology, 368(3), 400-407. https://doi.org/10.6018/analesps.42863
Moore, C. W. (2014). The mediation process: practical strategies for resolving conflict (4th ed.). John Wiley and Sons.
Moral-Jiménez, M. V. y González-Sáez, M. E. (2020). Distorsiones cognitivas y estrategias de afrontamiento en jóvenes con dependencia emocional [Cognitive distortions and coping strategies in young people with emotional dependence]. Revista Iberoamericana de Psicología y Salud, 11(1), 15-30. https://doi.org/10.23923/j.rips.2020.01.032
Muñiz, J., Elosua, P. y Hambleton, R. K. (2013). Directrices para la traducción y adaptación de los tests: segunda edición [International Test Commission Guidelines for test translation and adaptation: Second edition]. Psicothema, 25(2), 151-157. http://www.psicothema.com/pdf/4093.pdf
Novo, M., Herbón, J. y Amado, B. G. (2016). Género y victimización: efectos en la evaluación de la violencia psicológica sutil y manifiesta, apego adulto y tácticas de resolución de conflictos. Revista Iberoamericana de Psicología y Salud, 7(2), 89-97. https://doi.org/10.1016/j.rips.2016.05.002
Nunnally, J. C. (1978). Psychometric theory. McGraw-Hill.
Pulido, E. G., Cudris, L., Tirado, M. M. y Jiménez, L. K. (2020). Mediación de conflictos y violencia escolar: resultados de intervención a través de un estudio cuasiexperimental. REOP-Revista Española de Orientación y Psicopedagogía, 31(3), 45-63. https://doi.org/10.5944/reop.vol.31.num.3.2020.29261
Pulido, R., Martín-Seoane, G. y Lucas-Molina, B. (2013). Orígenes de los programas de mediación escolar: distintos enfoques que influyen en esta práctica restaurativa. Anales de Psicología/Annals of Psychology, 29(2), 385-392. https://doi.org/10.6018/analesps.29.2.132601
Rahim, M. A. (1983). A measure of styles of handling interpersonal conflict. Academy of Management Journal, 26(2), 368-376. https://doi.org/10.5465/255985
Reynolds, C. R. y Kamphaus, R. W. (1992). Behavior assessment system for children. American Guidance Service.
Schermelleh-Engel, K., Moosbrugger, H. y Müller, H. (2003). Evaluating the fit of structural equation models: tests of significance and descriptive goodness-of-fit measures. Methods of Psychological Research Online, 8(2), 23-74. http://130.203.136.95/viewdoc/download;jsessionid=AD9867D82BAE04A988349A9F17F3CDF5?doi=10.1.1.506.1827&rep=rep1&type=pdf
Shute, R. y Charlton, K. (2006). Anger or compromise? Adolescents' conflict resolution strategies in relation to gender and type of peer relationship. International Journal of Adolescence and Youth, 13(1-2), 55-69. https://doi.org/10.1080/02673843.2006.9747966
Tan, J. S., Hessel, E. T., Loeb, E. L., Schad, M. M., Allen, J. P. y Chango, J. M. (2016). Long-term predictions from early adolescent attachment state of mind to romantic relationship behaviors. Journal of Research on Adolescence, 26(4), 1022-1035. https://doi.org/10.1111/jora.12256
Taylor, M. (2010). Does locus of control predict young adult conflict strategies with superiors? An examination of control orientation and the organizational communication conflict instrument. North American Journal of Psychology, 12(3), 445-458.
Thayer, S. M., Updegraff, K. A. y Delgado, M. Y. (2008). Conflict resolution in Mexican American adolescents’ friendships: links with culture, gender and friendship quality. Journal of Youth and Adolescence, 37(7), 783-797. https://doi.org/10.1007/s10964-007-9253-8
Thomas, K. y Kilmann, R. (1974). Thomas-Kilmann Conflict Mode Instrument. Consulting Psychologists Press. https://www.themyersbriggs.com/-/media/cc2f340c4ad741fabe2d9ac7971e3a.ashx
Van de Vliert, E. y Euwema, M. C. (1994). Agreeableness and activeness as components of conflict behaviors. Journal of Personality and Social Psychology, 66(4), 674-687. https://doi.org/10.1037/0022-3514.66.4.674
Wang, Z., Chen, X., Liu, J., Bullock, A., Li, D., Chen, X. y French, D. (2020). Moderating role of conflict resolution strategies in the links between peer victimization and psychological adjustment among youth. Journal of Adolescence, 79, 184-192. https://doi.org/10.1016/j.adolescence.2020.01.002
Wied, M., Branje, S. J. y Meeus, W. H. (2007). Empathy and conflict resolution in friendship relations among adolescents. Aggressive Behavior, 33(1), 48-55. https://doi.org/10.1002/ab.20166
Yu, R., Branje, S. J., Keijsers, L. y Meeus, W. H. (2014). Personality types and development of adolescents’ conflict with friends. European Journal of Personality, 28(2), 156-167. https://doi.org/10.1002/per.1913

Anexo 1. Escala MERCI

A continuación, se presentan una serie de afirmaciones sobre la forma en que reaccionamos cuando tenemos conflictos con otra persona, amigo o compañero. Lee con atención cada una de las afirmaciones que siguen, y señala si te ha ocurrido o no, atendiendo a la siguiente escala:

No me ocurre nunca o no lo hago 0
Me ocurre o lo hago raras veces 1
Me ocurre o lo hago algunas veces 2
Me ocurre o lo hago a menudo 3
Me ocurre o lo hago con mucha frecuencia 4
Ítem Texto del ítem
AGR1 Amenazo a la otra persona
AGR2 Insulto a la otra persona
AGR3 Me enfado y llego a perder el control
AGR4 Ataco verbalmente a la otra persona
AGR5 Digo cosas de las que luego me arrepiento
AGR6 Hablo de forma agresiva
AGR7 Culpo al otro del problema
COL1 Expreso mi opinión y le pregunto por la suya
COL2 Negocio con él/ella de qué manera podemos resolver el problema
COL3 Analizo el problema de forma positiva
COL4 Colaboro con la otra persona para buscar soluciones
COL5 Propongo soluciones beneficiosas para ambos
COL6 Intento ponerme en el lugar del otro para entender su punto de vista
COL7 Intento que dialoguemos con claridad
COL8 Intento resolver nuestras diferencias lo antes posible
PAS1 Cedo para evitar el conflicto
PAS2 Si creo que el punto de vista de la otra persona es muy importante para ella, trato de cumplir sus deseos
PAS3 Cuando hay situaciones tensas, prefiero no meterme
PAS4 Si creo que la otra persona sería infeliz si perdiese, la dejo ganar
PAS5 Doy prioridad a lo que desean los demás
PAS6 Siempre cedo para no herir los sentimientos de la otra persona
PAS7 Intento que sus amigos me respalden

Anexo 2. Tabla de baremos

Puntuación directa: interpretación

Medios agresivosa
≥ 0 y < 7: es improbable el recurso a medios agresivos en el afrontamiento del conflicto
≥ 7 y < 14: es probable el recurso a medios agresivos en el afrontamiento del conflicto
> 14 y < 21: probabilidad moderadamente alta de recurso a medios agresivos en el afrontamiento del conflicto
≥ 21: probabilidad muy elevada de recurso a medios agresivos en el afrontamiento del conflicto
Medios colaborativosb
≥ 0 y < 8: es improbable el recurso a medios colaborativos en el afrontamiento del conflicto
≥ 8 y < 16: es probable el recurso a medios colaborativos en el afrontamiento del conflicto
> 16 y < 24: probabilidad moderadamente alta de recurso a medios colaborativos en el afrontamiento del conflicto
≥ 24: probabilidad muy elevada de recurso a medios colaborativos en el afrontamiento del conflicto
Medios pasivosc
≥ 0 y < 7: es improbable el recurso a medios pasivos en el afrontamiento del conflicto
≥ 7 y < 14: es probable el recurso a medios pasivos en el afrontamiento del conflicto
> 14 y < 21: probabilidad moderadamente alta de recurso a medios pasivos en el afrontamiento del conflicto
≥ 21: probabilidad muy elevada de recurso a medios pasivos en el afrontamiento del conflicto
Nota: aasimetría = 1.15 y curtosis = 1.13; basimetría = -0.51 y curtosis = 0.13; casimetría = 0.07 y curtosis = 0.45.

Abstract

Design and validation of the Interpersonal Conflict Resolution Scale (MERCI) for adolescents

OBJECTIVE. The promotion of mediation and the rule support for alternative conflict resolution procedures in adolescence has created the need to provide practitioners with evaluation instruments to design mediation strategies. Hence, a study with the aim of creating and validating a scale to evaluate the employed tactics by adolescents to conflict solving was designed. METHOD. As for this, A total of 773 participants aged 10 to 17 years (M = 12.43, SD = 1.31) and of both sexes (50.97% girls and 49.03% boys) answered (Thurstone’s method) to a pool of items (50) measuring conflict solving tactics. RESULTS. A confirmatory factor analysis validated a scale, consisting of 22 items, structured around three factors (model): collaborative, passive and aggressive tactics. Moreover, the invariance of the model was observed in the subsamples of men and women (difCFI < .01) and the external validity (i.e., convergent and discriminant) of the measure was verified. Both, the scale and factors were reliable (α and ω > .70). DISCUSSION. The implications of the results and the utility of the measurement instrument for intervention in conflict solving and for the design of mediation programs that promote conflict resolution and violence prevention skills are discussed.

Keywords: Adolescence, Conflict resolution, Conflict management, Alternative dispute resolution, Mediation.


Résumé

Conception et validation des Moyens D’échelle de Résolution des Conflits Interpersonnels (MERCI) pour les adolescents

INTRODUCTION. L’élan de la médiation et le soutien normatif aux procédures alternatives de résolution de conflits à l’adolescence a suscité le besoin de doter d’instruments d’évaluation les spécialistes dans ce domaine afin de planifier les stratégies de médiation. À cet effet, une analyse a été réalisée afin de créer et de valider une échelle pour évaluer les tactiques employées par les adolescents dans la gestion et résolution de conflits. MÉTHODE. Un pool d’items (50) a été appliqué et il a ainsi mesuré (procédure Thurstone) la gestion du conflit parmi 773 participants âgés entre 10 et 17 ans (M = 12.43, DT = 1.31) et des deux sexes (50.97% femmes et 49.03% hommes). RÉSULTATS. Une analyse factorielle confirmatoire a validé une échelle composée de 22 items, laquelle est structurée autour de trois facteurs (modèle) : moyens collaboratifs, passifs et agressifs. De façon complémentaire, une invariance du modèle entre les sous-échantillons d’hommes et femmes a été constatée (difCFI < .01) ainsi que la validité externe (i.e., convergente et discriminatoire) de la mesure. En même temps, l’échelle et les facteurs se sont montrés fiables (α and ω > .70). DISCUSSION. Les implications et la valeur de cet instrument de mesure ont été débattues afin de réaliser l’intervention dans ce domaine et d’élaborer des programmes de médiation qui développent les habilités pour la résolution du conflit et de prévention de la violence.

Mots-clés : Adolescence, Résolution de conflits, Gestion de conflits, Méthodes alternatives de résolution de conflits, Médiation.


Perfil profesional de los autores

Francisca Fariña

Es catedrática de Psicología Básica y Psicología Jurídica del Menor e investigadora principal del grupo Psicología Jurídica y de la Salud, Convivencia y Bienestar, de la Universidad de Vigo. Fundadora y presidenta de la Asociación Iberoamericana de Justicia Terapéutica, y miembro del Consejo de Dirección de la Conferencia Universitaria para el Estudio de la Mediación y el Conflicto y de la Junta Directiva de la Sociedad Española de Psicología Jurídica y Forense.

Código ORCID: https://orcid.org/0000-0002-7652-0948

Correo electrónico de contacto: francisca@uvigo.es

Mercedes Novo

Es profesora titular de Psicología de la USC y miembro de la Unidad de Psicología Forense de dicha universidad. Se ha especializado en el ámbito de la psicología jurídica y forense, y cuenta en su haber con numerosos libros, capítulos de libros, artículos y contribuciones a congresos nacionales e internacionales. Es miembro de la Junta Directiva de la Sociedad Española de Psicología Jurídica y Forense y de la Asociación Iberoamericana de Justicia Terapéutica.

Código ORCID: https://orcid.org/0000-0002-0942-1501

Correo electrónico de contacto: mercedes.novo@usc.es

Dolores Seijo

Es profesora titular de universidad del área de Psicología Social (USC). Su principal línea de investigación se asocia al área de Psicología Jurídica y Forense de la Familia y el Menor, concretamente en el estudio de las dinámicas familiares vinculadas a las situaciones de ruptura de pareja con hijos y las situaciones psicojurídicas asociadas (crisis familiares, alto conflicto, violencia u otras circunstancias). Miembro del grupo de investigación Unidad de Psicología Forense de la USC. Participó en el diseño de una técnica para la evaluación de la competencia parental en procesos judiciales de familia, en la creación de material psicopedagógico de apoyo a las intervenciones psicológico-forenses en casos de ruptura de pareja y en el diseño del programa Ruptura de Pareja, No de Familia.

Código ORCID: https://orcid.org/0000-0001-7655-338X

Correo electrónico de contacto: mariadolores.seijo@usc.es

Ramón Arce (autor de contacto)

Es catedrático de Psicología Social (Jurídica y Forense) desde 2008 y director de la Unidad de Psicología Forense de la Universidad de Santiago de Compostela. Fundador y presidente de la Sociedad Española de Psicología Jurídica y Forense y editor in chief de la revista The European Journal of Psychology Applied to Legal Context.

Código ORCID: https://orcid.org/0000-0002-5622-3022

Correo electrónico de contacto: ramon.arce@usc.es

Dirección para la correspondencia: Facultad de Psicología, Campus Vida, s/n, 15782 Santiago de Compostela.