ANÁLISIS DE LA COMPETENCIA DIGITAL DOCENTE Y USO DE RECURSOS TIC TRAS UN PROCESO DE INTERVENCIÓN UNIVERSITARIO, BASADO EN LA IMPLEMENTACIÓN DE UNA METODOLOGÍA INNOVADORA DE GAMIFICACIÓN
Analysis of the teaching digital skills and the use of ICT resources after a university intervention process, which was based on the implementation of an innovative gamification methodology


SARA CEBRIÁN-CIFUENTES, CONCEPCIÓN ROS, ROCÍO FERNÁNDEZ-PIQUERAS Y EMPAR GUERRERO
Universidad Católica de Valencia “San Vicente Mártir” (España)


DOI: 10.13042/Bordon.2021.87134
Fecha de recepción: 12/01/2021 • Fecha de aceptación: 20/03/2021
Autora de contacto / Corresponding author Sara Cebrián Cifuentes. E-mail: sara.cebrian@ucv.es



INTRODUCCIÓN. La inclusión de la competencia digital en los currículos de formación de los estudiantes universitarios se hace necesaria por los cambios experimentados en la sociedad, debido a la digitalización de todos sus ámbitos. El alumnado debe adquirir las capacidades y habilidades necesarias para utilizar los recursos tecnológicos que le permita desenvolverse con soltura dentro de la era digital. Para favorecer su desarrollo, las universidades implementan metodologías activas donde el estudiante se convierte en protagonista del proceso de enseñanza-aprendizaje. Entre estas propuestas metodológicas se encuentra la gamificación. MÉTODO. En este trabajo se presentan los resultados obtenidos acerca del desarrollo de la competencia digital docente, atendiendo a sus cinco dimensiones, en el estudiantado del Grado de Educación Social (ES) y del Grado de Ciencias de la Actividad Física y del Deporte (CAFD), utilizando un proyecto gamificado como estrategia metodológica. Se ha llevado a cabo una investigación cuantitativa de carácter cuasiexperimental con medidas repetidas pretest-postest sin grupo de control. La muestra está compuesta por 86 estudiantes (48 de ES y 38 de CAFD). El 44.9% son hombres y el 55.1% son mujeres, los participantes pertenecen al grupo de edad de 18 a 25 años. RESULTADOS. Los resultados muestran que, después de la intervención a través de la implementación de la gamificación, aumentan todos los valores en las cinco dimensiones de la competencia digital docente (alfabetización digital, comunicación, colaboración, creación de contenidos, seguridad y resolución de problemas), de manera considerable. DISCUSIÓN. El estudio permite concluir que cuando se promueve el desarrollo de competencias digitales mediante estrategias de aprendizaje activo como la gamificacion, los resultados son favorables en todos sus ítems, independientemente de la titulación y sexo.

Palabras clave: Estudiantes universitarios, Competencia digital, Metodología, Innovación.


Introducción

En las últimas décadas, el sistema universitario se ha visto inmerso en continuas transformaciones debido a la introducción de los nuevos planes de grado, la incorporación de conceptos como competencias o resultados de aprendizaje y la implementación de metodologías didácticas adaptadas a las nuevas demandas educativas (Pareja et al., 2019Pareja, J. A., Fernández, M. y Fuentes, J. (2019). Innovación metodológica en posgrado: Aprendizaje Basado en Proyectos. Profesorado. Revista de Currículum y Formación de Profesorado, 23(3), 113-128. https://revistaseug.ugr.es/index.php/profesorado/article/view/9497), dando paso a un modelo de enseñanza centrado en el aprendizaje (Gargallo et al., 2015Gargallo, B., Morera, I. y García, E. (2015). Metodología innovadora en la universidad. Sus efectos sobre los procesos de aprendizaje de los estudiantes universitarios. Anales de la Psicología, 31, 901-915. http://scielo.isciii.es/pdf/ap/v31n3/psicologia_evolutiva9.pdf). En este modelo, la aplicación de metodologías innovadoras adquiere una gran relevancia, ya que con ellas se favorece que el alumnado desarrolle tanto competencias genéricas como específicas.

La Comisión Europea (2018Comisión Europea (2018). Comunicación de la Comisión al Parlamento Europeo, al Consejo, al Comité Económico y Social Europeo y al Comité de las Regiones sobre el Plan de Acción de Educación Digital. https://eur-lex.europa.eu/legal-content/ES/TXT/PDF/?uri=CELEX:52018DC0022&from=EN) aconseja la inclusión de la competencia digital en los currículos de formación del alumnado universitario. Con la finalidad de establecer un marco común, se elaboraron diferentes directrices a nivel nacional e internacional. En España, se estableció el Marco Común de Competencia Digital Docente (MCCDD), a través del Instituto Nacional de Tecnologías Educativas y Formación del Profesorado (INTEF, 2017INTEF (2017). Marco común de competencia digital docente. http://aprende.intef.es/sites/default/files/2018-05/2017_1020_Marco-Com%C3%BAn-de-Competencia-Digital-Docente.pdf).

Este marco tiene como fin la mejora de la competencia digital del profesorado (CDD), que establece 5 dimensiones: la alfabetización informacional, la comunicación y colaboración, creación de contenido digital, seguridad y resolución de problemas.

La CDD se puede definir como una competencia docente para el mundo digital entendida como holística y orientada hacia roles de desempeño, función y relación; también es sistémica, entrenable y se encuentra en constante desarrollo (Castañeda et al., 2018Castañeda, L., Esteve, F. y Adell, J. (2018). ¿Por qué es necesario repensar la competencia docente para el mundo digital? RED. Revista de Educación a Distancia, 56, 2-20. http://dx.doi.org/10.6018/red/56/6). En la educación superior, la transformación universitaria a partir del dominio de esta competencia es inevitable, destacando los desafíos en relación con repensar cómo este cambio afecta a la experiencia de aprendizaje de todos: del estudiante y del profesorado (Domingo-Coscolla et al., 2020Domingo-Coscollola, M., Bosco-Paniagua, A., Carrasco-Segovia, S. y Sánchez-Valero, J. A. (2019). Fomentando la competencia digital docente en la universidad: Percepción de estudiantes y docentes. Revista de Investigación Educativa, 38(1), 167-182. https://doi.org/10.6018/rie.340551). En todas las formaciones de grado que impliquen docencia en su futuro profesional, la CDD debería tener una importancia creciente, ser una prioridad y realidad en la práctica educativa (Gudmundsdottir y Hatlevik, 2018Gudmundsdottir, G. B. y Hatlevik, O. E. (2018). Newly qualified teachers’ professional digital competence: implications for teacher education. European Journal of Teacher Education, 41(2), 214-231. https://doi.org/10.1080/02619768.2017.1416085).

Esto conlleva que las facultades de educación españolas manifiesten una preocupación clara sobre cómo promoverla (Gutiérrez et al., 2010Gutiérrez, A., Palacios, A. y Torrego, L. (2010). La formación de los futuros maestros y la integración de las TIC en la educación: anatomía de un desencuentro. Revista de Educación, 352, 267-293. ). Estudios previos ponen de manifiesto un deficiente dominio de la CDD del profesorado (Suárez-Rodríguez et al., 2013Suárez-Rodríguez, J. M., Almerich, G., Gargallo-López, B. y Aliaga, F. M. (2013). Las competencias del profesorado en TIC: estructura básica. Educación XX1, 16(1), 39-62. https://doi.org/10.5944/educxx1.16.1.716), lo que dificulta un uso adecuado de recursos tecnológico-pedagógicos en las aulas universitarias.

El profesorado deberá incorporar procesos de alfabetización y adquisición de competencias TIC en aras de mejorar las competencias técnico-pedagógicas de los estudiantes (Guzmán-Simón et al., 2017Guzmán-Simón, F., García-Jiménez, E. y López-Cobo, I. (2017). Undergraduate Students’ Perspectives on Digital Competence and Academic Literacy in a Spanish University. Computers in Human Behavior, 74, 196-204. https://doi.org/10.1016/j.chb.2017.04.040), teniendo en cuenta que los estudiantes hombres poseen mayor competencia tecnológica que las mujeres, pero son estas quienes lo hacen con mejores competencias pedagógicas (Díaz-García et al., 2016Díaz-García, M. I., Cebrián-Cifuentes, S. y Fuster-Palacios, I. (2016). Las competencias en TIC de estudiantes universitarios del ámbito de la educación y su relación con las estrategias de aprendizaje. RELIEVE, 22(1). https://doi.org/10.7203/relieve.22.1.8159). Para ello se deberán utilizar recursos tecnológicos (Cózar y Roblizo, 2014Cózar, R. y Roblizo, M. (2014). La competencia digital en la formación de los futuros maestros: percepciones de los alumnos de los Grados de Maestro de la Facultad de Educación de Albacete. RELATEC. Revista Latinoamericana de Tecnología Educativa, 13, 139-133. https://relatec.unex.es/article/view/1397) y propuestas metodológicas que favorezcan el desarrollo de la CDD, en la que los estudiantes pueden realizar prácticas digitales, elaborar contenidos y experimentar el medio digital desde la colaboración y la reflexión (García-Valcárcel y Tejedor, 2017García-Valcárcel, A. y Tejedor, F. J. (2017). Percepción de los estudiantes sobre el valor de las TIC en sus estrategias de aprendizaje y su relación con el rendimiento. Educación XX1, 20(2), 137-159. https://doi.org/10.5944/educxx1.19035).

La gamificación se ha ido configurando como una metodología adecuada para el uso de la tecnología en el aula (Posada, 2017Posada, F. (2017). Gamifica tu aula. Experiencia de gamificación TIC para el aula. CIVE. Actas del V Congreso Internacional de Videojuegos y Educación. https://riull.ull.es/xmlui/handle/915/6791). El término es entendido como el proceso por el cual se aplican mecánicas de juegos en contextos no propiamente lúdicos, y que favorece la motivación del alumnado para la consecución de ciertos objetivos (Guerrero et al., 2020Guerrero, E., Ros C., Cebrián, S. y Fernández, R. (2020). Innovando en el aula universitaria: motivación del alumnado sobre la gamificación de un proyecto interdisciplinar. En R. Roig-Vila (ed.), La docencia en la enseñanza superior. Nuevas aportaciones desde la investigación e innovación educativas (pp. 624-634). https://octaedro.com/wp-content/uploads/2020/11/16230-La-docencia-en-la-Ensen%CC%83anza-Superior.pdf). También favorece el trabajo colaborativo (Chin-Wen et al. 2019Chin-Wen, L., Ching-Huei, C. y Sie-Jhih, S. (2019). The interactivity of video and collaboration for learning achievement, intrinsic motivation, cognitive load, and behavior patterns in a digital game-based learning environment. Computer and Education, 133, 43-55. https://doi.org/10.1016/j.compedu.2019.01.013 ), la mejora en el desarrollo de diferentes tipos de conocimiento (Gwo-Haur et al., 2019Gwo-Haur, H., Beyin, C., Ru-Shan, C., Ting-Ting, W. y Yu-Ling, L. (2020). Differences between Students' Learning Behaviors and Performances of Adopting a Competitive Game-Based Item Bank Practice Approach for Learning Procedural and Declarative Knowledge. Ambientes de Aprendizaje Interactivo, 27(5-6), 743-753 http://dx.doi.org/10.1080/10494820.2019.1610458 ), la participación y el rendimiento académico (Salvador-Gómez et al., 2020Salvador-Gómez, A., Escrig-Tena, A. B., Beltrán-Martín, I. y Georgiana-Alexandra, B. (2020). Aplicación y evaluación de la gamificación en la docencia universitaria: una experiencia docente. INNODOCT 2020. http://dx.doi.org/10.4995/INN2020.2020.11847 ), la atención y la concentración, o el desarrollo de habilidades cognitivas (Kenny y McDaniel, 2011Kenny, R. y McDaniel, R. (2011). The role teachers’ expectations and value assessments of video games play in their adopting and integrating them into their classrooms. British Journal of Educational Technology, 42(2), 197-213. http://10.1111/j.1467-8535.2009.01007.x), además contribuye a paliar estereotipos de género entre los estudiantes involucrados (Prendes-Espinosa et al., 2020Prendes-Espinosa, M. P., García-Tudela, P. A. y Solano-Fernández, I. M. (2020). Igualdad de género y TIC en contextos educativos formales: una revisión sistemática. Comunicar, 28(63), 9-20. https://doi.org/10.3916/C63-2020-01; Putz et al., 2020Putz, L., Hofbauer, F. y Treiblmaier, H. (2020). Can gamification help to improve education? Findings from a longitudinal study. Computers & Education.v.110. https://doi.org/10.1016/j.chb.2020.106392).

El objetivo de esta investigación es analizar si los estudiantes universitarios mejoran su competencia digital y uso de los recursos tecnológicos tras un proceso de intervención basado en la gamificación.

En consecuencia al objetivo general, nuestro propósito se centra en:

Método

Se presenta una investigación cuantitativa donde el diseño del estudio es de carácter preexperimental con medidas repetidas pretest-postest sin grupo de control.

Procedimiento

El estudio se llevó a cabo durante el curso 2019-2020 a lo largo del primer cuatrimestre (septiembre-diciembre) en dos titulaciones diferentes de la Universidad Católica de Valencia, implicando a su vez tres asignaturas: Fundamentos de la Educación Social y Tecnologías de la Información y la Comunicación, del Grado de Educación Social (ES); y Habilidades Sociales y Dinámica de Grupos, del Grado de Ciencias de la Actividad Física y del Deporte (CAFD).

El Proyecto Colaborativo Interdisciplinar Gamificado constó de tres fases de actuación bien delimitadas con nivel creciente de dificultad. La plataforma Moodle fue la herramienta vehicular donde los estudiantes podían consultar los puntos obtenidos, pistas para la siguiente fase y su resultado por etapas. Se pusieron en práctica elementos de la gamificación: roles, retos, reconocimientos y, por supuesto, la narrativa conductora del proyecto, fomentando desde el inicio la expectativa y despertando intencionadamente el interés del alumnado. Dicha narrativa, así como los recursos empleados estaban adaptados al entorno profesional del discente, utilizando mayoritariamente recursos TIC para fomentar y entrenar las competencias digitales en los estudiantes.

Al inicio del mes de septiembre, antes de poner en práctica el proyecto, se les suministró el Cuestionario de Competencia Digital elaborado por el INTEF (2017INTEF (2017). Marco común de competencia digital docente. http://aprende.intef.es/sites/default/files/2018-05/2017_1020_Marco-Com%C3%BAn-de-Competencia-Digital-Docente.pdf) y al finalizar, en el mes de diciembre, se les realizó el mismo cuestionario, para comprobar si habían mejorado.

El estudio respetó las normas éticas requeridas en toda investigación como: consentimiento informado, derecho a la información, protección de datos personales, garantía de confidencialidad y no discriminación.

Muestra

La población la constituye el estudiantado universitario que cursa el grado en ES y CAFD de la Universidad Católica de Valencia. La muestra de participantes está compuesta por 86 estudiantes universitarios, 48 pertenecientes a ES y 38 a CAFD. El 44.9% son hombres y el 55.1% son mujeres, la mayoría de los participantes pertenecen al grupo de edad de 18 años a 25 años. El muestreo se ha seleccionado por conveniencia y accesibilidad al alumnado por ser las profesoras responsables de las materias. El alumnado participó de manera voluntaria en el proyecto de intervención, una vez cumplimentado el documento de consentimiento que se les suministró con la siguiente información: explicaciones pertinentes del proyecto, datos identificativos, la aceptación de la participación y, por último, la firma.

Instrumento

Para medir la CDD (y sus cinco dimensiones) se utilizó el Cuestionario de Competencia Digital para profesores, de Tourón et al. (2018Tourón, J., Martín, D., Navarro, E., Pradas, S. e Íñigo, V. (2018). Validación de constructo de un instrumento para medir la competencia digital docente de los profesores (CDD). Revista Española de Pedagogía, 76(269), 25-54. https://doi.org/10.22550/REP76-1-2018-02), de acuerdo con el marco desarrollado por el INTEF (2017INTEF (2017). Marco común de competencia digital docente. http://aprende.intef.es/sites/default/files/2018-05/2017_1020_Marco-Com%C3%BAn-de-Competencia-Digital-Docente.pdf) para evaluar el conocimiento y el uso de los recursos tecnológicos. En nuestro caso, se utilizaron los 25 ítems más específicos de la función docente, de los 54 que componen el cuestionario. De esos 25 ítems, cinco elementos miden la alfabetización informacional, cuatro la comunicación y colaboración, siete la creación de contenidos, cinco el área de seguridad y cuatro la resolución de problemas. Se mide en dos escalas diferentes, la del conocimiento en estas cinco dimensiones y las que hacen referencia al uso. Se utiliza una escala Likert de cinco puntos (1=nada, 5=mucho). Se han analizado las propiedades psicométricas del instrumento a través del análisis de su confiabilidad en el contexto de esta investigación. La fiabilidad total del instrumento, a través del alpha de Cronbach, es de .98. La fiabilidad para las dimensiones de la escala de conocimiento varía entre .87 y .93; y para la escala de uso, entre .83 y .90, similares a los resultados que presentan los autores del cuestionario original. Por último, se ha realizado la correlación ítem-total para analizar la homogeneidad de los ítems, y los valores son de .3 o superiores como indicador de un buen resultado. Este instrumento fue validado por los autores del cuestionario. Los resultados de ajuste global para ambas escalas muestran resultados óptimos, con unos valores inferiores a 3 para el índice de chi-cuadrado normalizado, valores por debajo de .06 en RMSEA y de .90 en IFI y CFI.

Resultados

En primer lugar, se presentan los estadísticos descriptivos de los dos apartados que engloban las cinco dimensiones: conocimiento y uso de los dispositivos tecnológicos antes y después de la intervención. Seguidamente, se muestra el efecto de la intervención y la influencia de los factores personales y contextuales en los dos apartados. Finalmente, se determina la estructura del conocimiento y uso de los recursos tecnológicos antes y después de la intervención y las variables personales y contextuales.

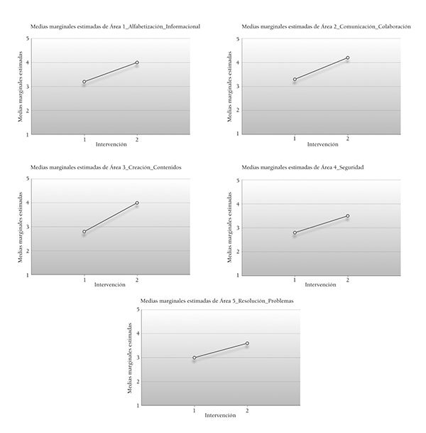
Nivel de CDD en el alumnado universitario antes y después de la intervención

El conocimiento que presenta el alumnado antes de la intervención de los recursos tecnológicos es bajo en todas las dimensiones que se contemplan, especialmente en la creación de contenidos y en la de seguridad, que hace referencia a los aspectos éticos y legales. La desviación típica señala que las respuestas del alumnado presentan cierta heterogeneidad. Respecto al conocimiento después de la intervención, el alumnado presenta un nivel medio alto, en conjunto. En todos los indicadores se aprecia una variabilidad alta, con lo cual las respuestas del alumnado son heterogéneas. Después de la intervención, aumentan todos los valores en las cinco dimensiones de manera considerada, como se puede observar en la figura 1. La dimensión alfabetización digital pasa de una media de 3.30 a una de 4.00; la de comunicación y colaboración, de 3.52 a 4.27; la que hace referencia a la creación de contenidos, de 2.76 a 3.98, siendo la que más mejora. Respecto a la dimensión de seguridad aumenta de 2.88 a 3.51 y, por último, la de resolución de problemas pasa de 3.07 a 3.93.

Figura 1. Promedio de la competencia digital antes y después de la intervención

Imagen

[View full size] [Descargar tamaño completo]

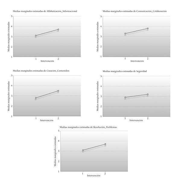
Nivel de uso de los recursos tecnológicos en el alumnado universitario antes y después de la intervención

Como vemos en la figura 2, todas las dimensiones que se miden antes de la implementación de la gamificación del uso de los recursos tecnológicos se sitúan en la escala de 3. Después de la intervención, aumentan todos los valores en las cinco dimensiones de la CD de manera considerada (figura 2). La dimensión alfabetización digital pasa de una media de 3.18 a una de 3.86; la de comunicación y colaboración, de 3.51 a 3.94; la que hace referencia a la creación de contenidos, de 2.71a 3.57, siendo la que más mejora. Respecto a la dimensión de seguridad aumenta de 2.92 a 3.4 y, por último, la de resolución de problemas pasa de 3.14 a 3.69.

Figura 2. Promedio del uso de los recursos tecnológicos antes y después de la intervención

Imagen

[Descargar tamaño completo]

Influencia del programa de intervención en el estudiantado universitario

En este apartado se analiza la efectividad del programa de intervención en los conocimientos de los recursos tecnológicos en el estudiantado universitario. Para ello, se han llevado a cabo análisis MANOVA Intra-Grupos (medidas repetidas) y ANOVA. En este caso, la variable independiente es la estructura de la intervención (pre y post) y las variables dependientes las cinco dimensiones que engloban el conocimiento de los recursos tecnológicos (alfabetización informacional, comunicación y colaboración, creación de contenidos, seguridad y resolución de problemas).

Las diferencias encontradas, a nivel multivariado en el perfil de las cinco dimensiones a través de los dos momentos de la intervención (pre y post), son estadísticamente significativas (lambda de Wilks =.337; F(5.64) =25.215; p=.000), con un tamaño del efecto grande (η2 parcial = .663). Desde el análisis univariado (ANOVA) (tabla 1), todas las dimensiones son estadísticamente significativas, con un tamaño del efecto grande, especialmente en la creación de contenidos y alfabetización informacional.

Tabla 1. Descriptivos en función del pre y post y ANOVA en los apartados de conocimiento de los dispositivos tecnológicos
Conocimiento de los recursos tecnológicos Intervención Media Desv. típica F Sig. η2 parcial
Alfabetización informacional Pre 3.30 0.70 82.495 .000 .548
Post 4.01 0.52
Comunicación-colaboración Pre 3.52 0.78 34.192 .000 .335
Post 4.27 1.15
Creación contenidos Pre 2.76 0.90 116.716 .000 .632
Post 3.98 0.60
Seguridad Pre 2.88 0.86 53.927 .000 .442
Post 3.51 0.84
Resolución de problemas Pre 3.07 0.92 49.718 .000 .422
Post 3.69 1.11

Considerando las pruebas respecto a la tendencia de las variables dependientes a través de los dos momentos de la intervención (pre y post), se puede apreciar que en todos los casos resulta significativa la tendencia lineal (figura 3), con un tamaño del efecto entre un 33.5% en el caso de la dimensión comunicación y colaboración y un máximo de un 63.2% en el caso de creación de contenidos.

Figura 3. Evolución de los conocimientos de los recursos tecnológicos antes y después del programa de intervención

Imagen

[View full size] [Descargar tamaño completo]

En este apartado se analiza la efectividad del programa de intervención en el uso de los recursos tecnológicos en el estudiantado. Para ello, se han llevado a cabo los mismos análisis que hemos explicado en el apartado anterior, siendo las variables dependientes las cinco dimensiones que engloban el uso de los recursos tecnológicos.

Las diferencias encontradas, a nivel multivariado en el perfil de las cinco dimensiones a través de los dos momentos de la intervención (pre y post) son estadísticamente significativas (lambda de Wilks =.397; F (5.98) =19.466; p=.000), con un tamaño del efecto grande (η2 parcial = .603). Desde el análisis univariado (ANOVA) (tabla 2), todas las dimensiones contempladas son estadísticamente significativas, con un tamaño del efecto grande, especialmente en la creación de contenidos y alfabetización informacional.

Tabla 2. Descriptivos en función del pre y post y ANOVA en los apartados de uso de los dispositivos tecnológicos
Conocimiento de los recursos tecnológicos Intervención Media Desv. típica F Sig. η2 parcial
Alfabetización informacional Pre 3.18 0.70 59.245 .000 .466
Post 3.86 0.60
Comunicación-colaboración Pre 3.51 0.84 49.324 .000 .420
Post 3.94 0.69
Creación contenidos Pre 2.71 0.987 64.615 .000 .487
Post 3.66 1.01
Seguridad Pre 2.92 0.84 34.504 .000 .337
Post 3.40 0.88
Resolución de problemas Pre 3.14 0.87 43.522 .000 .390
Post 3.69 0.84

Considerando las pruebas respecto a la tendencia de las variables dependientes a través de los dos momentos de la intervención (pre y post), se puede apreciar que en todos los casos resulta significativa la tendencia lineal (figura 4), con un tamaño del efecto entre un 33.7% en el caso de la dimensión seguridad y un máximo de un 48.7% en la creación de contenidos.

Figura 4. Evolución del uso de los recursos tecnológicos antes y después del programa de intervención

Imagen

[View full size] [Descargar tamaño completo]

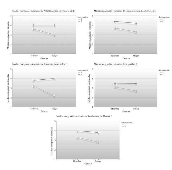
Influencia del género en el conocimiento y uso de los recursos tecnológicos en el programa de intervención en el estudiantado universitario

En este apartado se analiza si existen diferencias entre los alumnos y las alumnas participantes en este estudio en cuanto al conocimiento y el uso de los recursos tecnológicos. Para ello, se han llevado a cabo análisis MANOVA Mixto (medidas repetidas) y ANOVA. En este caso, la variable independiente es la variable sexo (hombres y mujeres), y la estructura de la intervención (pre y post) y las variables dependientes las componen las cinco dimensiones que engloban el conocimiento y uso de los recursos tecnológicos (alfabetización informacional, comunicación y colaboración, creación de contenidos, seguridad y resolución de problemas).

Las diferencias encontradas, a nivel multivariado entre-intra, en el perfil entre las y los estudiantes en cuanto al conocimiento y el uso de los recursos tecnológicos en el conjunto de todos los momentos (pre y post) son estadísticamente significativas (lambda de Wilks =.683; F (10.758) =2.693; p=.000), con un tamaño del efecto grande (η2 parcial = .317). Desde el análisis univariado (ANOVA) (tablas 3 y 4), son estadísticamente significativas, alfabetización informacional y creación de contenidos en ambas dimensiones con un tamaño del efecto mediano y grande. En todas las dimensiones, los alumnos participantes presentan mayor dominio de conocimientos que las alumnas.

Tabla 3. Descriptivos en función del sexo y ANOVA en el conocimiento de los dispositivos tecnológicos
Conocimiento de los recursos tecnológicos Sexo Int Media Desv. típica F Sig. η2 parcial
Alfabetización informacional H Pre
M Pre
3.54
3.10
0.68
0.67
9.546 .000 .125
H Post
M Post
4.02
4.01
0.60
0.44
Comunicación-colaboración H Pre
M Pre
3.69
3.38
0.63
0.86
0.225 .636 .003
H Post
M Post
4.37
4.19
1.57
0.65
Creación contenidos H Pre
M Pre
3.14
2.44
0.74
0.90
18.119 .000 .213
H Post
M Post
3.89
4.06
0.61
0.58
Seguridad H Pre
M Pre
3.07
2.72
0.86
0.84
3.634 .061 .051
H Post
M Post
3.52
3.48
0.86
0.84
Resolución de problemas H Pre
M Pre
3.28
2.90
0.82
0.97
0.387 .536 .006
H Post
M Post
4.05
3.83
1.38
0.85
Tabla 4. Descriptivos en función del sexo y ANOVA en los apartados de uso de los dispositivos tecnológicos
Uso de los recursos tecnológicos Sexo Int Media Desv. típica F Sig. η2 parcial
Alfabetización informacional H Pre
M Pre
3.43
2.98
0.73
0.78
3.681 .050 .052
H Post
M Post
3.93
3.86
0.62
0.60
Comunicación-colaboración H Pre
M Pre
3.58
3.46
0.72
0.95
2.100 .152 .003
H Post
M Post
3.91
3.97
0.64
0.75
Creación contenidos H Pre
M Pre
3.06
2.43
0.81
0.82
9.751 .003 .127
H Post
M Post
3.63
3.70
0.75
1.20
Seguridad H Pre
M Pre
3.04
2.83
0.94
0.77
0.387 .536 .006
H Post
M Post
3.46
3.35
0.98
0.80
Resolución de problemas H Pre
M Pre
3.37
2.97
0.82
0.88
0.298 .587 .004
H Post
M Post
3.87
3.56
0.83
0.86

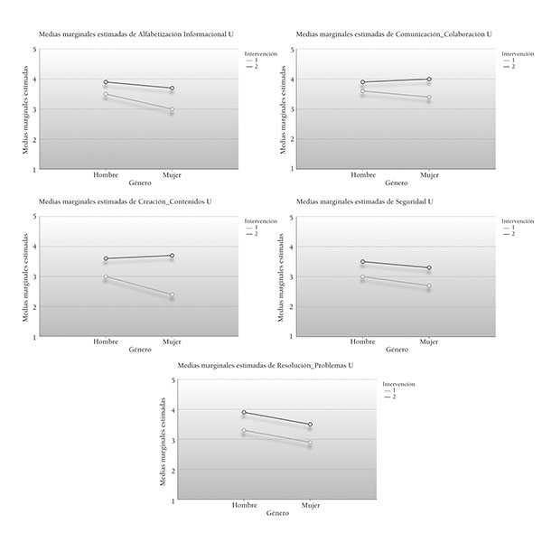
Considerando las pruebas respecto a la tendencia de las variables dependientes a través de los dos momentos de la intervención (pre y post) y en conocimiento de los recursos tecnológicos, se puede apreciar que en todos los casos que existen diferencias significativas, es reveladora la tendencia lineal (figura 5), con un tamaño del efecto entre un 12.5% en el caso de la dimensión alfabetización digital y un máximo de un 21.3% en el caso de creación de contenidos en el conocimiento de los recursos tecnológicos. Sucede lo mismo que en el conocimiento de los recursos tecnológicos, los estudiantes realizan un mayor uso de los recursos tecnológicos que las estudiantes.

Figura 5. Influencia del sexo en el conocimiento de los recursos tecnológicos antes y después del programa de intervención

Imagen

[View full size] [Descargar tamaño completo]

Considerando las pruebas respecto a la tendencia de las variables dependientes a través de los dos momentos de la intervención (pre y post) y en el uso de los recursos tecnológicos, se puede apreciar que en todos los casos en que existen diferencias significativas, es reveladora la tendencia lineal (figura 6), con un tamaño del efecto entre un 5.1% en el caso de la dimensión alfabetización digital y un máximo de un 12.7% en el caso de creación de contenidos en el conocimiento de los recursos tecnológicos.

Figura 6. Influencia del sexo en el uso de los recursos tecnológicos antes y después del programa de intervención

Imagen

[View full size] [Descargar tamaño completo]

Influencia de la titulación cursada en el conocimiento y uso de los recursos tecnológicos en el programa de intervención en el estudiantado universitario

En este apartado se analiza si existen diferencias entre el alumnado que cursa ES y el que cursa CAFD en cuanto al conocimiento y el uso de los recursos tecnológicos, basadas en la implementación de la gamificación. Para ello, se han llevado a cabo los mismos análisis que en el apartado anterior.

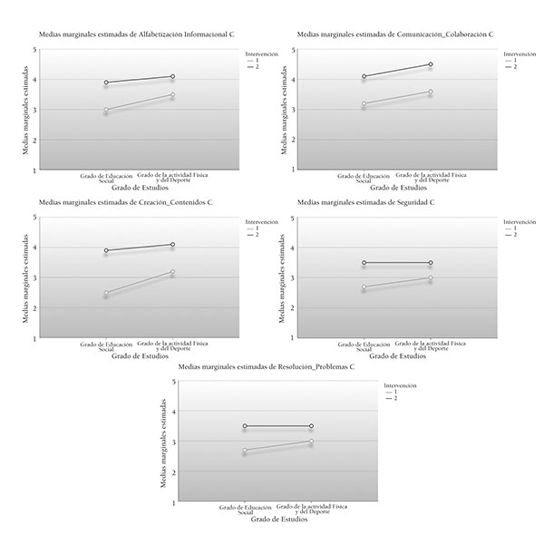
Las diferencias encontradas, a nivel multivariado entre-intra en el perfil del alumnado que cursa ES y el alumnado que cursa CAFD participante en este estudio, en cuanto al conocimiento y el uso de los recursos tecnológicos en el conjunto de todos los momentos (pre y post), son estadísticamente significativas (lambda de Wilks =.714; F (10.58) =2.324; p=.022), con un tamaño del efecto grande (η2 parcial=.286). Desde el análisis univariado (ANOVA) (tabla 5), tres de las dimensiones contempladas en el conocimiento de los recursos tecnológicos son estadísticamente significativas, alfabetización informacional, creación de contenidos y resolución de problemas con un tamaño del efecto mediano. En cuanto al uso de estos, ninguna de las dimensiones es estadísticamente significativa. Por tanto, se plasmarán a continuación solamente las cinco dimensiones que hacen referencia al conocimiento. En todas las dimensiones, el alumnado que cursa CAFD presenta mayor dominio de conocimientos que el alumnado que cursa ES, en la muestra participante.

Tabla 5. Descriptivos en función de la titulación cursada y ANOVA en los apartados de conocimiento de los dispositivos tecnológicos
Conocimiento de los recursos tecnológicos Sexo Int Media Desv. típica F Sig. η2 parcial
Alfabetización informacional GES Pre
GCAFD Pre
3.03
3.75
0.57
0.69
9.692 .000 .126
GES Post
GCAFD Post
3.92
4.17
0.44
0.61
Comunicación-colaboración GES Pre
GCAFD Pre
3.31
3.88
0.68
0.82
0.096 .758 .001
GES Post
GCAFD Post
4.09
4.58
0.59
1.69
Creación contenidos GES Pre
GCAFD Pre
2.50
3.19
0.88
0.78
6.432 .000 .088
GES Post
GCAFD Post
3.94
4.05
0.60
0.61
Seguridad GES Pre
GCAFD Pre
2.75
3.09
0.80
0.96
3.350 .072 .048
GES Post
GCAFD Post
3.50
3.52
0.81
0.92
Resolución de problemas GES Pre
GCAFD Pre
2.84
3.45
0.92
0.82
5.814 .019 .080
GES Post
GCAFD Post
3.94
3.93
1.34
0.63

Considerando las pruebas respecto a la tendencia de las variables dependientes a través de los dos momentos de la intervención (pre y post) en el conocimiento de los recursos tecnológicos, se puede apreciar que en todos los casos que existen diferencias significativas, es reveladora la tendencia lineal (figura 7), con un tamaño del efecto entre un 8% en el caso de la dimensión resolución de problemas y un máximo de un 12.6% en el caso de creación de alfabetización informacional en el conocimiento de los recursos tecnológicos.

Figura 7. Influencia de la titulación cursada en el conocimiento de los recursos tecnológicos antes y después del programa de intervención

Imagen

[View full size] [Descargar tamaño completo]

Estructura dimensional del conocimiento y el uso de los recursos tecnológicos antes y después del programa de intervención

En este apartado se presenta la estructura dimensional de las cinco dimensiones (alfabetización informacional, comunicación y colaboración, creación de contenidos, seguridad y resolución de problemas) del conocimiento y uso de los recursos tecnológicos para establecer una estructura del programa de intervención en dos momentos temporales (pre y post). Además, se ha considerado dentro de la estructura los factores personales y contextuales, como son sexo y titulación cursada.

Dada la métrica de las variables, se ha optado por realizar un análisis de componentes principales para datos categóricos (CATPCA) con el propósito de generar una estructura dimensional mediante la reducción relacional entre las variables e integrar dentro de la misma los factores personales y contextuales.

En función de los resultados se ha optado por un modelo de dos dimensiones de acuerdo con los valores propios encontrados (tabla 6) que explica el 66.2% de la varianza total del mismo. El coeficiente α de Cronbach global (.973) indica que el modelo sugerido presenta un buen ajuste. La primera dimensión es considerablemente la más relevante (49.0% de la varianza total del modelo y un α de Cronbach de .945), erigiéndose en la dimensión principal. La segunda dimensión contribuye con menor porcentaje de varianza explicada que la primera (17.1% de la varianza total del modelo), si bien su valor de α de Cronbach (.746) sugiere que tiene un rol importante dentro de la estructura.

Tabla 6. Resumen del modelo
Dimensión Alfa de Cronbach Varianza
Total (autovalor) Porcentaje
1 .945 9.813 49.0
2 .746 3.438 17.1
Total .973 13.251 66.6

La primera dimensión es la que más contribuye a la explicación del modelo (73.57% de la varianza total explicada). En ella se sitúan todos los indicadores de conocimiento y uso analizados en la parte positiva de la dimensión (tabla 7 y figura 8), distinguiéndose dos agrupaciones. En la primera se agrupan todos los indicadores relativos al pre (seguridad, creación de contenidos y resolución de problemas) y post que tienen menor dominio en conocimiento y realizan menor uso de los recursos tecnológicos, mientras que la segunda agrupa a todos los indicadores del pre y post que mayor dominio tienen o evolución han tenido en las cinco dimensiones (cuarto cuadrante).

Tabla 7. Saturaciones en componentes
Dimensión
1 2
PRE1C_Area1_Alfabetizacion_informacional .828 -.145
PRE2C_Area2_Comunicacion_colaboracion .750 -.417
PRE3C_Area3_Creacion_contenidos .695 .401
PRE4C_Area4_Seguridad .448 .699
PRE5C_Area5_Resolucion_problemas .725 .486
PRE1U_Area1_Alfabetizacion_informacional .830 -.223
PRE2U_Area2_Comunicacion_colaboracion .713 -.392
PRE3U_Area3_Creacion_contenidos .641 .499
PRE4U_Area4_Seguridad .407 .687
PRE5U_Area5_Resolucion_problemas .784 .375
POST1C_Area1_Alfabetizacion_informacional .814 -.418
POST2C_Area2_Comunicacion_colaboracion .673 .059
POST3C_Area3_Creacion_contenidos .729 -.320
POSTC_Area4_Seguridad .755 -.213
POST5C_Area5_Resolucion_problemas .581 .464
POST1U_Area1_Alfabetizacion_informacional .830 -.414
POST2U_Area2_Comunicacion_colaboracion .654 -.340
POST3U_Area3_Creacion_contenidos .560 .092
POST4U_Area4_Seguridad .786 .413
POST5U_Area5_Creacion_contenidos .603 .536
Normalización principal por variable.
a Variable suplementaria.

Figura 8. Estructura dimensional del conocimiento y del uso de los recursos tecnológicos

Imagen

[View full size] [Descargar tamaño completo]

La segunda dimensión representa una explicación media del modelo (25.6% de la varianza total explicada). Esta dimensión supone la diferenciación entre tres grupos en cuanto al momento de intervención (pre y post) y a las dimensiones de conocimiento y uso de los recursos tecnológicos. De esta forma, en el polo positivo de la segunda dimensión se agrupan todos los indicadores que hacen referencia al pre de seguridad, creación de contenidos y resolución de problemas, y al post de creación de contenidos y resolución de problemas (primer cuadrante), en medio se sitúa el post de uso en creación de contenidos y el post en conocimiento en la dimensión de colaboración y comunicación. En el polo negativo se agrupan los indicadores del pre y post de conocimiento y el uso de los recursos tecnológicos en alfabetización informacional y de comunicación y colaboración. También se sitúa el post de conocimiento en seguridad y de creación de recursos y el post de uso de los recursos tecnológicos en seguridad.

Por lo que respecta a las variables personales y contextuales, se puede apreciar respecto al sexo que los alumnos presentan un mayor conocimiento y uso de los recursos tecnológicos que las alumnas (figura 8). A partir de la segunda dimensión se observa que esta influencia se da especialmente antes de la intervención. En un inicio, tienen mayor competencia digital y, después de la intervención, se siguen observando estas diferencias.

Finalmente, en referencia a la titulación, se puede observar desde la primera dimensión que existen diferencias a favor del estudiantado que cursa CAFD en comparación con el estudiantado que cursa ES, y, al igual que con el sexo, estas diferencias siguen existiendo al finalizar la intervención

Discusión y conclusiones

A la vista de los resultados, el trabajo permite obtener una serie de conclusiones sobre si los estudiantes universitarios han mejorado su competencia digital y el conocimiento y uso de recursos tecnológicos antes y después de un proceso de intervención, basado en la implementación de una metodología innovadora de gamificación.

El conocimiento de la CD que presenta el alumnado de nuestro estudio antes de la intervención en los recursos tecnológico es bajo en todas las dimensiones, resultados que coinciden con autores como Liesa et al. (2016Liesa, M., Vázquez-Toledo, S. y Lloret-Gazo, J. (2016). Identificación de las fortalezas y debilidades de la competencia digital en el uso de aplicaciones de Internet del alumno de primer curso del Grado de Magisterio. Revista Complutense de Educación, 27(2), 845-862. https://doi.org/10.5209/rev_RCED.2016.v27.n2.48409) y Sánchez-Caballé et al. (2017Sánchez-Caballé, A., Gisbert-Cervera, M. y Esteve-Mon, F. (2019). La competencia digital de los estudiantes universitarios de primer curso de grado. Innoeduca. International Journal of technology and educational innovation, 5(2), 104-113. https://doi.org/10.24310/innoeduca.2019.v5i2.5598), quienes consideran que los universitarios tienen un bajo nivel de competencia digital. Destacar que los valores medios más altos se encuentran en comunicación y colaboración, y los más bajos en resolución y creación de contenidos, coincidiendo con los estudios de González et al. (2018González, V., Román, M. y Prendes, M. P. (2018). Formación en competencias digitales para estudiantes universitarios basada en el modelo DIGCOMP. EDUTEC. Revista Electrónica de Tecnología Educativa, 65, 1-15. http://dx.doi.org/10.21556/edutec.2018.65.1119); sin embargo, difieren en el área de seguridad, en la que que obtenemos valores bajos, al contrario que González et al. (2018González, V., Román, M. y Prendes, M. P. (2018). Formación en competencias digitales para estudiantes universitarios basada en el modelo DIGCOMP. EDUTEC. Revista Electrónica de Tecnología Educativa, 65, 1-15. http://dx.doi.org/10.21556/edutec.2018.65.1119).

En relación con las diferencias iniciales entre hombres y mujeres, en todas las dimensiones los alumnos presentan un mayor dominio de conocimiento y de uso de los dispositivos tecnológicos, lo cual está en relación con el estudio de González et al. (2018González, V., Román, M. y Prendes, M. P. (2018). Formación en competencias digitales para estudiantes universitarios basada en el modelo DIGCOMP. EDUTEC. Revista Electrónica de Tecnología Educativa, 65, 1-15. http://dx.doi.org/10.21556/edutec.2018.65.1119). Tras la intervención, el alumnado presenta un nivel medio alto en conjunto, aumentando todos los valores en las cinco dimensiones.

Respecto a la efectividad del programa de intervención en el conocimiento y el uso de los recursos tecnológicos las diferencias encontradas en las cinco dimensiones entre el pretest y postest son estadísticamente significativas, destacando la creación de contenidos, coincidiendo con los resultados de González et al. (2018González, V., Román, M. y Prendes, M. P. (2018). Formación en competencias digitales para estudiantes universitarios basada en el modelo DIGCOMP. EDUTEC. Revista Electrónica de Tecnología Educativa, 65, 1-15. http://dx.doi.org/10.21556/edutec.2018.65.1119) y la alfabetización informacional. Donde los alumnos muestran más carencias en el apartado de conocimiento es en el área de comunicación; y respecto al uso de los dispositivos tecnológicos, el área de seguridad (Gutiérrez y Serrano, 2016Gutiérrez, I. y Serrano, J. L. (2016). Evaluation and development of digital competence in future primary school teachers at the University of Murcia. Journal of New Approaches in Educational Research, 5(1), 51-56. http://10.7821/naer.2016.1.152) y resolución de problemas (González et al., 2018González, V., Román, M. y Prendes, M. P. (2018). Formación en competencias digitales para estudiantes universitarios basada en el modelo DIGCOMP. EDUTEC. Revista Electrónica de Tecnología Educativa, 65, 1-15. http://dx.doi.org/10.21556/edutec.2018.65.1119; Pascual et al., 2019Pascual, M. A., Ortega-Carrillo, J. A., Pérez-Ferra, M. y Fombuena, J. (2019). Competencias digitales en los estudiantes de maestra de Educación Primaria. El caso de tres universidades españolas. Formación Universitaria, 12(6), 141-150. http://dx.doi.org/10.4067/S0718-50062019000600141). Respecto a la tendencia de las cinco áreas, tanto en el conocimiento como en el uso de los dispositivos tecnológicos es significativa la tendencia lineal, obteniendo el máximo tamaño del efecto la creación de contenidos.

Atendiendo a la variable género existen diferencias respecto al conocimiento y uso de los recursos tecnológicos en el programa de intervención, coincidiendo con distintas investigaciones (Cabezas et al., 2017Cabezas, M., Casillas, S., Sanches-Ferreira, M. y Teixeira, F. L. (2017). ¿Condicionan el género y la edad el nivel de competencia digital? Un estudio con estudiantes universitarios. Fonseca, Journal of Communication, 15, 109-125. ; González et al., 2018González, V., Román, M. y Prendes, M. P. (2018). Formación en competencias digitales para estudiantes universitarios basada en el modelo DIGCOMP. EDUTEC. Revista Electrónica de Tecnología Educativa, 65, 1-15. http://dx.doi.org/10.21556/edutec.2018.65.1119). Tanto en el conocimiento como en el uso de los recursos tecnológicos, los alumnos presentan mayor dominio que las alumnas. Respecto a la influencia de la titulación cursada, encontramos diferencias en ambas dimensiones, presentando un mayor dominio los estudiantes de CAFD que el alumnado de ES. Las variables personales y contextuales respecto al sexo muestran que los alumnos tienen una mayor CD de inicio, y que después de la intervención se sigue observando. Y atendiendo a las titulaciones existen diferencias a favor de los estudiantes de CAFD en comparación con los estudiantes de ES, y así mismo estas diferencias siguen existiendo al finalizar la intervención.

Podemos concluir que los universitarios han mejorado su conocimiento y uso de los recursos tecnológicos tras un proceso de intervención, basado en la implementación de una metodología innovadora de gamificación.

Respecto a las limitaciones, el diseño del estudio es débil en cuanto a su validez, por tanto, no podemos generalizar los resultados obtenidos, la interpretación de los mismos se centra en los y las estudiantes universitarios que forman parte de la muestra. Para mejorar dicho aspecto, se debería replicar el estudio ampliando la muestra a través de un muestreo probabilístico estratificado definiendo los estratos muestrales para alcanzar la representatividad (Del Cid et al., 2007Del Cid, A., Méndez, R. y Sandoval, F. (2007). Investigación: Fundamentos y metodología. Pearson. ). Además, el propio estudio no ha tenido en cuenta otras variables que pudieran afectar al desarrollo de este trabajo, como el conocimiento previo del manejo de dispositivos tecnológicos, y que sería más objetivo para poder determinar con exactitud que el alumnado alcanza una mejor CD; por tanto, sería conveniente realizar algún tipo de prueba de habilidad que permitiera conocer con datos objetivos el antes y después del alumnado.

Referencias bibliográficas

Cabezas, M., Casillas, S., Sanches-Ferreira, M. y Teixeira, F. L. (2017). ¿Condicionan el género y la edad el nivel de competencia digital? Un estudio con estudiantes universitarios. Fonseca, Journal of Communication, 15, 109-125.
Castañeda, L., Esteve, F. y Adell, J. (2018). ¿Por qué es necesario repensar la competencia docente para el mundo digital? RED. Revista de Educación a Distancia, 56, 2-20. http://dx.doi.org/10.6018/red/56/6
Chin-Wen, L., Ching-Huei, C. y Sie-Jhih, S. (2019). The interactivity of video and collaboration for learning achievement, intrinsic motivation, cognitive load, and behavior patterns in a digital game-based learning environment. Computer and Education, 133, 43-55. https://doi.org/10.1016/j.compedu.2019.01.013
Comisión Europea (2018). Comunicación de la Comisión al Parlamento Europeo, al Consejo, al Comité Económico y Social Europeo y al Comité de las Regiones sobre el Plan de Acción de Educación Digital. https://eur-lex.europa.eu/legal-content/ES/TXT/PDF/?uri=CELEX:52018DC0022&from=EN
Cózar, R. y Roblizo, M. (2014). La competencia digital en la formación de los futuros maestros: percepciones de los alumnos de los Grados de Maestro de la Facultad de Educación de Albacete. RELATEC. Revista Latinoamericana de Tecnología Educativa, 13, 139-133. https://relatec.unex.es/article/view/1397
Del Cid, A., Méndez, R. y Sandoval, F. (2007). Investigación: Fundamentos y metodología. Pearson.
Díaz-García, M. I., Cebrián-Cifuentes, S. y Fuster-Palacios, I. (2016). Las competencias en TIC de estudiantes universitarios del ámbito de la educación y su relación con las estrategias de aprendizaje. RELIEVE, 22(1). https://doi.org/10.7203/relieve.22.1.8159
Domingo-Coscollola, M., Bosco-Paniagua, A., Carrasco-Segovia, S. y Sánchez-Valero, J. A. (2019). Fomentando la competencia digital docente en la universidad: Percepción de estudiantes y docentes. Revista de Investigación Educativa, 38(1), 167-182. https://doi.org/10.6018/rie.340551
García-Valcárcel, A. y Tejedor, F. J. (2017). Percepción de los estudiantes sobre el valor de las TIC en sus estrategias de aprendizaje y su relación con el rendimiento. Educación XX1, 20(2), 137-159. https://doi.org/10.5944/educxx1.19035
Gargallo, B., Morera, I. y García, E. (2015). Metodología innovadora en la universidad. Sus efectos sobre los procesos de aprendizaje de los estudiantes universitarios. Anales de la Psicología, 31, 901-915. http://scielo.isciii.es/pdf/ap/v31n3/psicologia_evolutiva9.pdf
González, V., Román, M. y Prendes, M. P. (2018). Formación en competencias digitales para estudiantes universitarios basada en el modelo DIGCOMP. EDUTEC. Revista Electrónica de Tecnología Educativa, 65, 1-15. http://dx.doi.org/10.21556/edutec.2018.65.1119
Gudmundsdottir, G. B. y Hatlevik, O. E. (2018). Newly qualified teachers’ professional digital competence: implications for teacher education. European Journal of Teacher Education, 41(2), 214-231. https://doi.org/10.1080/02619768.2017.1416085
Guerrero, E., Ros C., Cebrián, S. y Fernández, R. (2020). Innovando en el aula universitaria: motivación del alumnado sobre la gamificación de un proyecto interdisciplinar. En R. Roig-Vila (ed.), La docencia en la enseñanza superior. Nuevas aportaciones desde la investigación e innovación educativas (pp. 624-634). https://octaedro.com/wp-content/uploads/2020/11/16230-La-docencia-en-la-Ensen%CC%83anza-Superior.pdf
Gutiérrez, A., Palacios, A. y Torrego, L. (2010). La formación de los futuros maestros y la integración de las TIC en la educación: anatomía de un desencuentro. Revista de Educación, 352, 267-293.
Gutiérrez, I. y Serrano, J. L. (2016). Evaluation and development of digital competence in future primary school teachers at the University of Murcia. Journal of New Approaches in Educational Research, 5(1), 51-56. http://10.7821/naer.2016.1.152
Guzmán-Simón, F., García-Jiménez, E. y López-Cobo, I. (2017). Undergraduate Students’ Perspectives on Digital Competence and Academic Literacy in a Spanish University. Computers in Human Behavior, 74, 196-204. https://doi.org/10.1016/j.chb.2017.04.040
Gwo-Haur, H., Beyin, C., Ru-Shan, C., Ting-Ting, W. y Yu-Ling, L. (2020). Differences between Students' Learning Behaviors and Performances of Adopting a Competitive Game-Based Item Bank Practice Approach for Learning Procedural and Declarative Knowledge. Ambientes de Aprendizaje Interactivo, 27(5-6), 743-753 http://dx.doi.org/10.1080/10494820.2019.1610458
INTEF (2017). Marco común de competencia digital docente. http://aprende.intef.es/sites/default/files/2018-05/2017_1020_Marco-Com%C3%BAn-de-Competencia-Digital-Docente.pdf
Kampylis, P., Punie, Y. y Devine, J. (2015). Promoting Effective Digital-Age Learning. A European Framework for Digitally-Competent Educational Organisations. EUR 27599 EN. https://doi.org/10.2791/54070
Kenny, R. y McDaniel, R. (2011). The role teachers’ expectations and value assessments of video games play in their adopting and integrating them into their classrooms. British Journal of Educational Technology, 42(2), 197-213. http://10.1111/j.1467-8535.2009.01007.x
Liesa, M., Vázquez-Toledo, S. y Lloret-Gazo, J. (2016). Identificación de las fortalezas y debilidades de la competencia digital en el uso de aplicaciones de Internet del alumno de primer curso del Grado de Magisterio. Revista Complutense de Educación, 27(2), 845-862. https://doi.org/10.5209/rev_RCED.2016.v27.n2.48409
Pareja, J. A., Fernández, M. y Fuentes, J. (2019). Innovación metodológica en posgrado: Aprendizaje Basado en Proyectos. Profesorado. Revista de Currículum y Formación de Profesorado, 23(3), 113-128. https://revistaseug.ugr.es/index.php/profesorado/article/view/9497
Pascual, M. A., Ortega-Carrillo, J. A., Pérez-Ferra, M. y Fombuena, J. (2019). Competencias digitales en los estudiantes de maestra de Educación Primaria. El caso de tres universidades españolas. Formación Universitaria, 12(6), 141-150. http://dx.doi.org/10.4067/S0718-50062019000600141
Posada, F. (2017). Gamifica tu aula. Experiencia de gamificación TIC para el aula. CIVE. Actas del V Congreso Internacional de Videojuegos y Educación. https://riull.ull.es/xmlui/handle/915/6791
Prendes-Espinosa, M. P., García-Tudela, P. A. y Solano-Fernández, I. M. (2020). Igualdad de género y TIC en contextos educativos formales: una revisión sistemática. Comunicar, 28(63), 9-20. https://doi.org/10.3916/C63-2020-01
Putz, L., Hofbauer, F. y Treiblmaier, H. (2020). Can gamification help to improve education? Findings from a longitudinal study. Computers & Education.v.110. https://doi.org/10.1016/j.chb.2020.106392
Redecker, C. y Punie, Y. (2017). Digital Competence of Educators DigCompEdu. Publications Office of the European Union. http://doi.org/10.2760/159770
Salvador-Gómez, A., Escrig-Tena, A. B., Beltrán-Martín, I. y Georgiana-Alexandra, B. (2020). Aplicación y evaluación de la gamificación en la docencia universitaria: una experiencia docente. INNODOCT 2020. http://dx.doi.org/10.4995/INN2020.2020.11847
Sánchez-Caballé, A., Gisbert-Cervera, M. y Esteve-Mon, F. (2019). La competencia digital de los estudiantes universitarios de primer curso de grado. Innoeduca. International Journal of technology and educational innovation, 5(2), 104-113. https://doi.org/10.24310/innoeduca.2019.v5i2.5598
Sancho-Gil, J. M., Ornellas, A. y Arrazola, J. (2018). La situación cambiante de la universidad en la era digital. RIED. Revista Iberoamericana de Educación a Distancia, 21(2), 31-49. https://doi.org/10.5944/ried.21.2.20673
Suárez-Rodríguez, J. M., Almerich, G., Gargallo-López, B. y Aliaga, F. M. (2013). Las competencias del profesorado en TIC: estructura básica. Educación XX1, 16(1), 39-62. https://doi.org/10.5944/educxx1.16.1.716
Tourón, J., Martín, D., Navarro, E., Pradas, S. e Íñigo, V. (2018). Validación de constructo de un instrumento para medir la competencia digital docente de los profesores (CDD). Revista Española de Pedagogía, 76(269), 25-54. https://doi.org/10.22550/REP76-1-2018-02

Abstract

Analysis of the teaching digital skills and the use of ICT resources after a university intervention process, which was based on the implementation of an innovative gamification methodology

INTRODUCTION. The inclusion of the digital competence in the training curriculums of university students is necessary because of the changes experienced in society due to the digitization of all its fields. Students must acquire the necessary skills and abilities to use the technological resources that allow them to function freely within the digital age. To promote its development, universities implement active methodologies where the student becomes the protagonist of the teaching-learning process. Among these methodological proposals is gamification. METHOD. This work presents the results obtained on the development of the digital teaching competence, taking into account its five dimensions, in the student bodies of the Degree of Social Education (ES) and the Degree of Physical Activity and Sport Science (CAFD), using a gamified project as a methodological strategy. A Quantitative research of a quasi-experimental nature has been carried out with repeated pretest-postest measures without a control group. The sample consists of 86 students (48 ES and 38 CAFD). 44.9% are men and 55.1% are women and the participants belong to the age groups that range from 18 to 25 . RESULTS. The results show that, after intervention through the implementation of gamification, all values in the five dimensions of the digital teaching competence (digital literacy, communication, collaboration, content creation, security and problem solving) increase considerably. DISCUSSION. The study concludes that when the development of the digital skills are promoted through active learning strategies such as gamification , the results are favorable in all its items, regardless of the sex or the degree studied.

Keywords: University students, Digital competence, Gamification? Methodology, Innovation.


Résumé

Analyse des compétences numériques et d'utilisation des ressources TICE (Outils numériques et leurs tutoriels) des enseignants à travers un processus d'intervention universitaire basé sur la mise en place d'une méthodologie innovante de gamification

INTRODUCTION. L'introduction du numérique dans les programmes de formation des étudiants à l’université est nécessaire en raison des changements sociaux suite à l’impact de la numérisation dans tous les domaines de la vie. Or les étudiants doivent acquérir les compétences et les capabilités nécessaires pour utiliser les ressources technologiques qui leur permettront d'évoluer avec aisance dans l'ère numérique. Afin de favoriser le développement de leurs étudiants, les universités mettent en œuvre des méthodologies actives où l'étudiant devient le protagoniste du processus d'enseignement-apprentissage. Parmi les propositions méthodologiques proposées figure la Gamification. MÉTHODE. Dans cet article, nous présentons les résultats obtenus grâce au développement de l'enseignement supérieur de la compétence numérique en cinq domaines chez les étudiants de Maîtrise de Science Humaines et Sociale (SHS) et de Maîtrise de Sciences Techniques d’Activités Physiques et Sportives (STAP), en utilisant un Projet Gamifié comme stratégie méthodologique. Une recherche quantitative quasi-expérimentale a été réalisée avec des mesures répétées pré-test-post-test, sans groupe de contrôle. L'échantillon est composé de 86 étudiants (48 étudiants SHS et 38 étudiants STAP), dont 44,9% d’hommes et 55,1% de femmes avec un âge compris entre 18 et 25 ans. RÉSULTATS. Les résultats montrent qu’après l’utilisation de la Gamification, toutes les valeurs des cinq domaines de l'enseignement de la compétence numérique (culture numérique, communication, collaboration, création de contenu, sécurité et résolution de problèmes) augmentent considérablement. DISCUSSION. L'étude nous permet de conclure que lorsque le développement des compétences numériques est encouragé par des stratégies d'apprentissage utilisées, telle que la Gamification, les résultats sont favorables dans tous les secteurs, indépendamment du diplôme et du sexe.

Mots-clés: Étudiants universitaires, Compétence numérique, Méthodologie, Innovation.


Perfil profesional de las autoras

Sara Cebrián-Cifuentes (autora de contacto)

Es profesora ayudante en la Universidad Católica de Valencia. Sus principales líneas de investigación son la integración de las TIC en Educación, competencias en TIC en profesorado y alumnado, aprendizaje, inclusión de tecnologías emergentes y metodología de la investigación educativa. Tiene diversas publicaciones en revistas nacionales e internacionales y ha participado en congresos de la misma índole.

Correo electrónico de contacto: sara.cebrian@ucv.es

Dirección para la correspondencia: C/ Sagrado Corazón, 5, 46110 Godella, Valencia (España).

Concepción Ros Ros

Doctora en Pedagogía, experta en didáctica de la actividad física y deportiva y educación en valores. IP grupo de investigación Educación para una Actividad Física Saludable (GIEPAFS) de la UCV, en la línea de Diseño de Instrumentos de Evaluación y su Aplicación en Educación Física. Miembro del grupo Ambientes Lúdicos Favorecedores de Aprendizajes (ALFAS). Profesora del Máster en Videojuegos y Educación de la UV.

Correo electrónico de contacto: concepcion.ros@ucv.es

Rocío Fernández-Piqueras

Doctora acreditada en la Universidad Católica de Valencia San Vicente Mártir, imparte docencia en grado y máster. Miembro del grupo de investigación Innovación Tecnológica en Educación (INNOVATE) de la UCV, sobre el aprendizaje y la enseñanza a través de las tecnologías educativas emergentes en cualquier etapa educativa, así como la formación permanente del profesorado en nuevas tecnologías.

Correo electrónico de contacto: rocio@ucv.es

Empar Guerrero Valverde

Doctora en Ciencias de la Educación. Doctora contratada en la Universidad Católica de Valencia San Vicente Mártir, imparte docencia en grado y máster. Coordinadora de la especialidad de Técnico en Intervención Sociocomunitaria del Máster Universitario en Formación del Profesorado de ES, Bachillerato, FP y Enseñanza de idioma. Miembro del grupo de investigación CIDEC (Citizenship, Cultural Diversity and Education) de la UCV.

Correo electrónico de contacto: empar.guerrero@ucv.es