ADAPTACIÓN DE LA PRUEBA TIMSS PARA LA EVALUACIÓN DE LA COMPETENCIA MATEMÁTICA EN ALUMNOS DE MAGISTERIO
Adapting the test of the Trends in International Mathematics and Science Study (TIMSS) for the assessment of the mathematical competence of students entering the undergraduate degree of Primary Education School Teacher


BLANCA ARTEAGA MARTÍNEZ(1), ENRIQUE NAVARRO ASENCIO(2), ARÁNTZAZU FRAILE REY(1) y PEDRO RAMOS ALONSO(1)
(1) Universidad de Alcalá
(2) Universidad Complutense de Madrid


DOI: 10.13042/Bordon.2018.63042
Fecha de recepción: 30/01/2018 • Fecha de aceptación: 12/03/2018
Autora de contacto / Corresponding author: Blanca Arteaga Martínez. E-mail: blanca.arteaga@uah.es



INTRODUCCIÓN. La base del conocimiento pedagógico que un maestro debe tener respecto a las matemáticas se sustenta de una manera especial en el conocimiento que tiene de los contenidos de la materia. El objetivo de este trabajo es la elaboración de una prueba de diagnóstico de habilidades matemáticas, a partir de la selección y adaptación de algunos de los ítems del Trends in International Mathematics and Science Study (TIMSS) de 2011, así como los aspectos técnicos desde la aplicación del modelo de Rasch. MÉTODO. Los ítems de la prueba elaborada se seleccionaron siguiendo la estructura original de bloques de contenido y dominio cognitivo establecida en el marco de TIMSS 2011 (Mullis, Martin, Ruddock, O’Sullivan y Preuschoff, 2009). El procedimiento de traducción y adaptación se ha desarrollado con el objetivo de garantizar una mayor validez lingüística. El estudio se ha realizado con una muestra de 477 estudiantes del primer curso de universidades de la Comunidad de Madrid (España). Estos estudiantes estaban matriculados en el primer año de los diferentes grados de Magisterio de Educación Primaria. RESULTADOS. Los 30 ítems seleccionados han sido de dos tipologías, ítems de respuesta seleccionada e ítems de respuesta construida. Dadas estas características particulares en el formato ha sido necesario estudiar la fiabilidad de la corrección realizada por los evaluadores para garantizar la concordancia en su corrección. DISCUSIÓN. El modelo de Rasch utilizado para la validación de la prueba nos ha permitido generar evidencias que demuestran un alto grado de confiabilidad, señalando las diferencias de comportamiento de los ítems de respuesta seleccionada y de respuesta construida (elementos que requieren que los estudiantes construyan su propia respuesta escrita). El modelo nos ha permitido una clasificación de los resultados de los ítems por nivel de dificultad, hecho que facilita una interpretación de los resultados de acuerdo a los dominios de contenido y cognitivo.

Palabras clave: TIMSS, Competencia matemática, Modelo de Rasch, Adaptación de pruebas, Formación docente inicial.


Introducción

La evaluación diagnóstica es una herramienta crucial para planificar y diseñar programas de formación efectivos. El objetivo y diseño de este tipo de evaluaciones se centra en la recogida y estudio de información sobre el grado de desarrollo de las aptitudes del alumnado con el fin de conocer, pronosticar y tomar decisiones que favorezcan el pleno desarrollo educativo de los estudiantes. Este tipo de evaluación toma una relevancia especial en un entorno donde el objetivo es alcanzar determinadas competencias (Cano, 2008Cano, M. E. (2011). La evaluación por competencias en la educación superior. Profesorado. Revista de Currículum y Formación del Profesorado, 12(3), 1-16.). Además, en las recomendaciones dadas por la NCTM (1991NCTM. National Council of Teachers of Mathematics (1991). Professional Standards for Teaching Mathematics. Reston, Va.: The NCTM, Inc.) para la evaluación en matemáticas se contempla de manera específica el diagnóstico en términos de lo que comprende el estudiante.

La utilización de evaluaciones diagnósticas nos permite adaptar los procesos de enseñanza-aprendizaje a las características particulares de cada una de las personas y, en consecuencia, potenciar la mejora del elemento evaluado (Pérez y Soto, 2011Pérez, A. y Soto, E. (2011). Luces y sombras de PISA. Sentido educativo de las evaluaciones externas. Culturay Educación, 23(2), 171-182, doi: 10.1174/113564011795944758; Tourón, 2009Tourón, J. (2009). El establecimiento de estándares de rendimiento en los sistemas educativos. Estudios Sobre Educación, 16, 127-146.).

Para establecer el significado de ser matemáticamente competente, vamos a referirnos a las aportaciones de Llinares (2003Llinares, S. (2003). Matemáticas escolares y competencia matemática. En M. C. Chamorro (coord.). Didáctica de las matemáticas para primaria (pp. 3-30). Madrid: Prentice Educación.: 14) cuando dicta las necesidades para un estudiante de primaria y que podemos generalizar, en este caso, a sus maestros al señalar que “debe relacionarse con ser capaz de realizar determinadas tareas matemáticas y comprender por qué pueden ser utilizadas algunas nociones y procesos para resolverlas, así como la posibilidad de argumentar la conveniencia de su uso”. Estas habilidades tienen una elevada complejidad para ser evaluadas en cuanto a los niveles de desarrollo que pueden tener, por lo que resultaría complejo recogerlas en toda su magnitud.

Evaluar cada una de estas habilidades en un solo instrumento se hace difícil, pues cada una de ellas es compleja en sí misma y el nivel de desarrollo alcanzado por un sujeto está ligado al aprendizaje progresivo del individuo.

La evaluación diagnóstica bien planteada debe “evaluar habilidades cognitivas de alto nivel (como son planificación, estructuración de tareas, obtención de información, construcción de respuesta, explicación de procesos, integración de conocimientos e informaciones)” (Castro, 2011Castro, M. (2011). ¿Qué sabemos de la medida de las competencias? Características y problemas psicométricos en la evaluación de competencias. Bordón. Revista de Pedagogía, 63(1), 109-123.: 111), donde la tipología de ítems que se utilicen debe tener distintas características para conseguir evaluar capacidades más complejas.

Para elegir un instrumento adecuado para utilizar en un contexto de maestros en formación acudimos a las referencias especializadas, lo que nos facilitó una cantidad considerable de resultados referidos a la evaluación de creencias y actitudes hacia las matemáticas (White, Way, Perry y Southwell, 2005White, A. L., Way, J., Perry, B. y Southwell, B. (2005). Mathematical attitudes, beliefs and achievement in primary pre-service mathematics teacher education. Mathematics Teacher Education and Development, 7, 33-52.; Hodgen y Askew, 2007Hodgen, J. y Askew, M. (2007). Emotion, identity and teacher learning: Becoming a primary mathematics teacher. Oxford Review of Education, 33(4), 469-487, doi: 10.1080/03054980701451090; entre otros). No obstante, son menos las investigaciones relacionadas con el nivel de logro en estudiantes de magisterio (Tatto et al., 2008Tatto, M. T., Schwille, J., Senk, S., Ingvarson, L., Peck, R. y Rowley, G. (2008). Teacher Education and Development Study in Mathematics (TEDS-M). East Lansing, MI: Teacher Education and Development International Study Center, College of Education, Michigan State University.; Sandoval, Frit, Maldonado y Rodríguez, 2010Sandoval, P., Frit, M., Maldonado, A. y Rodríguez, F. (2010). Evaluación de habilidades en matemática y comprensión lectora en estudiantes que ingresan a pedagogía en educación básica: un estudio comparativo en dos universidades del Consejo de Rectores. Educar em Revista, 2, 73-102.; Nortes y Nortes Checa, 2017Nortes, R. y Nortes Checa, A. (2017). Competencia matemática, actitud y ansiedad hacia las Matemáticas en futuros maestros. Revista Electrónica Interuniversitaria de Formación del Profesorado, 20(3), 145-160, doi: 10.6018/reifop.20.3.290841). Sin embargo, parece importante que el maestro domine los contenidos que enseña, para respaldar explicaciones o diagnóstico de obstáculos de aprendizaje, aportando así la base para el conocimiento pedagógico (Varas, Lacourly, López y Giacono, 2013Varas, L., Lacourly, N., López, A. y Giaconi, V. (2013). Evaluación del conocimiento pedagógico del contenido para enseñar matemáticas elementales. Enseñanza de las Ciencias, 31(1), 171-187.; Ernest, 1989Ernest, P. (1989). The knowledge, beliefs and attitudes of the mathematics teacher: A model. Journal of education for teaching, 15(1), 13-33, doi: 10.1080/0260747890150102).

Así, el objetivo principal de este trabajo es la construcción y validación de un instrumento de medida de la competencia matemática basado en la evaluación TIMSS 2011. Para ello como objetivos específicos se plantean:

El diseño de la prueba de diagnóstico de este estudio se centra en las habilidades de conocimiento y razonamiento matemático que son las que están íntimamente ligadas a la capacidad de resolver problemas matemáticos. El marco teórico de TIMSS 2011 vincula el éxito en la resolución de problemas con la comprensión conceptual y el razonamiento (identificar, inferir y reorganizar la información), y es por ello que los ítems planteados en esta prueba se consideran adecuados para definir una primera evaluación de diagnóstico, cuyo objetivo es medir el desempeño matemático con el que los alumnos acceden al Grado de Magisterio en Educación Primaria. Se opta por este método de construcción de la prueba, ante la ausencia de pruebas específicas para este tipo de población, unido a la buena calidad psicométrica de la prueba TIMSS.

Los ítems son de dos tipologías distintas: ítems de respuesta seleccionada e ítems de respuesta construida. Estas dos tipologías facilitan la recogida de datos no únicamente referida a la demanda cognitiva, sino al rango de cognición que implica la resolución de cada uno de los ítems (Martínez, 1999Martínez, M. (1999). Cognition and the question of test item format. Educational Psychologist, 34, 207- 218.).

Método

El objetivo del instrumento es la medición del desempeño matemático en estudiantes que acaban de acceder al Grado de Magisterio de Educación Primaria. Se trata de una prueba diagnóstica de corte transversal.

Los ítems de la prueba pertenecen a la prueba TIMSS 2011 de rendimiento en matemáticas para 8º grado (en España, 2º de ESO). La estructura de esta prueba internacional responde a dos dimensiones, una de contenido y otra cognitiva (Mullis et al., 2009Mullis, I. V., Martín, M. O., Ruddock, G. J., O’Sullivan, C. Y. y Preuschoff, C. (2009). TIMSS 2011 Assessment Frameworks. Boston, M. A.: TIMMS & PIRLS International Study Center.). La dimensión de contenido especifica cuatro dominios: álgebra, números, datos-azar y geometría. La dimensión cognitiva describe tres procesos a evaluar: conocer, aplicar y razonar.

Se realiza una selección, con un diseño donde todos los estudiantes respondan a los mismos ítems (Fernández-Alonso y Muñiz, 2011Fernández-Alonso, R. y Muñiz, J. (2011). Diseño de cuadernillos para la evaluación de las competencias básicas. Aula Abierta, 39(2), 3-34.) y que tengan elementos con distinta dificultad pertenecientes a todos los dominios cognitivos, respetando la estructura original de la prueba en cuanto al porcentaje de ítems de cada uno de los dominios de contenido. Para la selección se tiene en cuenta la media del número de respuestas correctas a nivel internacional de cada ítem en la prueba original, seleccionando aquellos ítems que corresponden a los tres cuartiles, en el caso de que se seleccionen tres ítems de esa dimensión, o los dos cuartiles superiores, en caso de que se seleccionen dos. Se realiza de esta forma debido a la mayor capacidad informativa que tienen los ítems con una dificultad media (Martínez, Hernández y Hernández, 2006Martínez, M. R., Hernández, M. J. y Hernández, M. V. (2006). Psicometría. Madrid: Alianza Editorial.). El número de ítems de cada contenido, dominio cognitivo y dificultad se muestran en la tabla 1.

Tabla 1. Distribución de ítems por dominios de contenido y cognitivo, por nivel de desempeño
Nivel de desempeño Dominio de contenido Total
Álgebra Números Datos y azar Geometría
Bajo Dominio cognitivo Conocimiento 1 1
Total 1 1
Intermedio Dominio cognitivo Conocimiento 1 1 1 3
Aplicación 1 1
Razonamiento 1 1
Total 2 1 1 1 5
Alto Dominio cognitivo Conocimiento 1 2 1 4
Aplicación 1 3 1 1 6
Razonamiento 1 1 1 1 4
Total 3 6 3 2 14
Avanzado Dominio cognitivo Conocimiento 1 1 2
Aplicación 1 1 2
Razonamiento 1 2 1 1 5
Total 3 2 1 3 9
Sobreavanzado Dominio cognitivo Aplicación 1 1
Total 1 1
Total Dominio cognitivo Conocimiento 3 3 2 2 10
Aplicación 3 3 2 2 10
Razonamiento 3 3 2 2 10
Total 9 9 6 6 30
Nota: la especificación de los dominios en cada uno de los ítems se puede consultar en el anexo 1.

Se utiliza la versión original en inglés para realizar la traducción, intentando evitar errores como los señalados por Solano, Contreras y Backhoff (2006Solano, G., Contreras, L. A. y Backhoff, E. (2006). Traducción y adaptación de pruebas: Lecciones aprendidas y recomendaciones para países participantes en TIMSS, PISA y otras comparaciones internacionales. Revista Electrónica de Investigación Educativa, 8(2), 1-21. ) al referirse a traducciones anteriores para este tipo de pruebas internacionales.

La validación de contenido sirve para admitir parte de un instrumento que fue construido para una población de segundo curso de Educación Secundaria, y que ahora queremos utilizar para estudiantes que acceden al grado de maestro. Este primer proceso tras la selección de ítems, requiere un proceso de traducción, adaptación y estandarización (Hyrkäs, Appelqvist-Schmidlechner y Oksa, 2003Hyrkäs, K., Appelqvist-Schmidlechner, K. y Oksa, L. (2003). Validating an instrument for clinical supervision using an expert panel. International Journal of Nursing Studies, 40(6), 619-625, doi: 10.1016/S0020-7489(03)00036-1).

El procedimiento de traducción se realiza en dos fases para dar una mayor validez lingüística de partida; primero se realiza la traducción al castellano de la prueba y posteriormente una persona distinta que no conocía la versión original realiza la traducción de manera inversa (Beaton, Bombardier, Guillemin y Bosi, 2000Beaton, D. E., Bombardier, C., Guillemin, F. y Bosi, M. (2000). Guidelines for the process of cross-cultural adaptation of self-report measures. Spine, 25, 3186-3191, doi: 10.1097/00007632-200012150-00014 ). Ambas versiones son revisadas por un equipo de jueces expertos (Escobar-Pérez y Cuervo-Martínez, 2008Escobar-Pérez, J. y Cuervo-Martínez, A. (2008). Validez de contenido y juicio de expertos: una aproximación a su utilización. Avances en Medición, 6(1), 27-36.) en el área de didáctica de la matemática para confirmar la equivalencia de los resultados.

La validación de la traducción se lleva a cabo a través de un juicio de expertos. Para ello, se selecciona una muestra intencional de diez jueces expertos en didáctica de las matemáticas en activo en distintas universidades españolas; para esta selección se tiene en consideración la experiencia docente en los grados de maestro, su conocimiento del sistema educativo y de evaluaciones internacionales de matemáticas. Se pide que evalúen el criterio de claridad de la redacción (se comprende desde el punto de vista sintáctico y semántico) (Quesada, Rodríguez-Gómez e Ibarra, 2013Rodríguez-Gómez, G. e Ibarra, M. S. (2013). ActEval: un instrumento para el análisis y reflexión sobre la actividad evaluadora del profesorado universitario. Revista de Educación, 362, 69-104. doi:10-4438/1988-592X-RE-2011-362-153); además de un aporte cualitativo que indica fundamentalmente aspectos de redacción o términos matemáticos sinónimos a los empleados que puedan aumentar el aspecto comprensivo.

La consistencia interjueces se analiza mediante el análisis de concordancia basado en el coeficiente W de Kendall, un coeficiente de acuerdo para datos ordinales basado en el grado de varianza de la suma de rangos obtenidos de los distintos jueces (Siegel y Castellan, 1995). Los valores a partir de 0.4 se consideran aceptables (Landis y Koch, 1977Landis, J. R. y Koch, G. G. (1977). An application of hierarchical kappa-type statistics in the assessment of majority agreement among multiple observers. Biometrics, 33(2), 363-374.).

Una vez elaborada la prueba y después de su aplicación se selecciona una muestra de diez cuadernillos que habían sido corregidos por los mismos dos correctores y se estudia la fiabilidad de la corrección con el estadístico Kappa de Cohen. Para este estadístico, los valores cercanos a 1 señalan un alto grado de acuerdo (Viera y Garett, 2005Viera, A. J. y Garett, J. M. (2005). Understanding Interobserver Agreement: The Kappa Statistic. Family Medicine, 37(5), 360-363.) entre evaluadores.

Finalmente, para la validación del instrumento de medida y la estimación de puntuaciones de rendimiento se emplea la Teoría Respuesta al Ítem siguiendo los supuestos del modelo de Rasch (1960Rasch, G. (1960). Probabilistic Models for Some Intelligence and Attainment Tests. Copenhague (Dinamarca): Danish Institute for Educational Research.) y la adaptación de Masters (1982Masters, G. N. (1982). A Rasch Model for Partial Credit Scoring. Psychometrika, 47(2), 149-174, doi: 10.1007/BF02296272) para ítems de respuesta construida (Modelo de Crédito Parcial, MCP). Estos modelos asumen que la puntuación del sujeto en el instrumento de medida, entendida como suma total de las respuestas de un sujeto al conjunto de ítems, y la puntuación en el ítem (dificultad), entendida como la suma de las respuestas de los sujetos en un ítem, son estadísticos suficientes para estimar los parámetros del modelo. Al contrario de lo que ocurre en los modelos de Thurstone, que estiman el mismo valor del rasgo para los sujetos que obtienen la misma puntuación en el test.

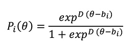
En el modelo de Rasch la función de probabilidad de respuesta de un sujeto a un determinado reactivo depende únicamente de estos estadísticos suficientes (rasgo estimado y dificultad del ítem). En el caso de ítems dicotómicos es:

Pi (θ): Probabilidad de acertar el ítem i para un valor determinado de habilidad. En modelos politómicos, como el MCP, es la probabilidad de superar una categoría del ítem. bi es el parámetro de dificultad, o el nivel de rasgo necesario para responder correctamente al ítem, es decir, el valor de la habilidad en el que la probabilidad de acertar el ítem supera el 0.5. En los modelos politómicos es el nivel de rasgo necesario para superar ese paso o categoría dentro del ítem. θ es el valor del rasgo estimado y D es una constante, igual a 1.7, que aproxima los valores a la distribución normal. La probabilidad de acertar o no un ítem depende de estos dos parámetros y toma la siguiente forma para valores de x igual a 0 y 1.

En los modelos con más de una posibilidad de puntuación, no solo acierto o error, es necesario estimar una curva de probabilidad para cada puntuación en el ítem porque no supone el mismo nivel de dificultad obtener los distintos valores en ese ítem. En el modelo de crédito parcial la probabilidad de que el sujeto complete cada paso o categoría del ítem puede explicitarse mediante un modelo de Rasch. En nuestro caso, un ítem con tres categorías (R es el total de categorías) de respuesta (0, 1, 2) quedaría formulado de la siguiente forma:

Siendo

La calidad de los ítems se analiza a partir de diferentes indicadores:

Un buen ajuste se obtiene cuando sus valores se aproximan a 1, pero los valores son aceptables mientras no excedan los límites del intervalo de confianza. El estadístico también se presenta de forma transformada a distribución normal como prueba de hipótesis T (valores por encima de 2 señalarán malos ajustes) (Navarro, Expósito, López y Thoilliez, 2014Navarro, E., Expósito, E., López, E. y Thoilliez, B. (2014). EPIBI: Escala de Percepción de Indicadores de Bienestar Infantil. Validación del instrumento utilizando modelos politómicos de Rasch. Revista de Educación, 364, 39-65, doi:10.4438/1988-592X-RE-2014-364-254).

Resultados

En primer lugar, el estudio de la claridad de los ítems por parte de los expertos obtiene, como muestra la tabla 2, un índice de concordancia aceptable (W=.414, p=.000). No obstante, se consideran las observaciones cualitativas apor­tadas para mejorar la traducción de los ítems.

Tabla 2. Resultados juicio de expertos
Claridad
N 20
W de Kendall .414
Chi-cuadrado 49.682
Gl 6
Sig. asintót. .000

En segundo lugar, el estudio de fiabilidad de la corrección que se lleva a cabo muestra un acuerdo perfecto entre evaluadores, con valores de Kappa iguales a uno en todos los ítems analizados.

Por último, para la validación el instrumento, en las tablas 3 y 4 se presentan los índices de ajuste para ítems de respuesta seleccionada y construida respectivamente. Como se observa, el ajuste ponderado obtiene valores aceptables en todos los ítems de respuesta seleccionada, con valores de MNSQ cercanos a 1 y valores de T por debajo de 2. Si se observan los parámetros de dificultad (B) se comprueba que hay muchos valores negativos, lo que indica que hay muchos ítems que se podrían considerar fáciles o, en otras palabras, que el nivel de rendimiento en matemáticas que se necesita para contestar correctamente a ese ítem está por debajo de la media. El ítem 1(p66) es el más fácil. De la misma forma los ítems 7 (p72) y 9 (p74) son los más difíciles, es decir, el nivel de rendimiento en matemáticas que necesita un estudiante para responder correctamente está por encima de la media. Conviene recordar que los resultados estimados inicialmente se encuentran en una escala tipificada.

Tabla 3. Índices de ajuste de los ítems de respuesta seleccionada de matemáticas
Ítem B ERROR Ajuste sin ponderar Ajuste ponderado
MNSQ CI T MNSQ CI T
1 -4.102 0.313 0.56 (0.87, 1.13) -8.1 0.97 (0.44, 1.56) 0
2 -2.615 0.176 0.82 (0.87, 1.13) -2.9 0.96 (0.75, 1.25) -0.3
3 -2.673 0.175 0.83 (0.87, 1.13) -2.8 0.95 (0.75, 1.25) -0.3
5 -1.084 0.121 0.96 (0.87, 1.13) -0.6 0.99 (0.90, 1.10) -0.2
6 -1.844 0.14 0.94 (0.87, 1.13) -0.9 1 (0.84, 1.16) 0
7 0.929 0.115 0.88 (0.87, 1.13) -1.9 0.91 (0.91, 1.09) -2
9 0.751 0.114 1.06 (0.87, 1.13) 1 1.07 (0.92, 1.08) 1.5
11 -2.478 0.165 0.91 (0.87, 1.13) -1.4 0.98 (0.77, 1.23) -0.2
13 -2.943 0.194 1.05 (0.87, 1.13) 0.8 0.99 (0.70, 1.30) 0
14 -0.269 0.111 0.93 (0.87, 1.13) -1 0.94 (0.93, 1.07) -1.6
15 -1.053 0.119 1.03 (0.87, 1.13) 0.4 1.02 (0.90, 1.10) 0.4
16 -3.160 0.212 1.04 (0.87, 1.13) 0.7 0.96 (0.66, 1.34) -0.2
17 -0.911 0.117 1 (0.87, 1.13) 0 0.99 (0.91, 1.09) -0.1
18 -2.683 0.183 0.82 (0.87, 1.13) -2.9 0.97 (0.73, 1.27) -0.2
19 -3.246 0.22 1.33 (0.87, 1.13) 4.6 1.01 (0.65, 1.35) 0.1
20 -0.835 0.114 1 (0.87, 1.13) 0 1.01 (0.91, 1.09) 0.3
21 -1.740 0.135 1.11 (0.87, 1.13) 1.6 1.07 (0.85, 1.15) 0.9
22 -0.133 0.109 0.95 (0.87, 1.13) -0.8 0.96 (0.93, 1.07) -1.1
23 -2.002 0.144 1.04 (0.87, 1.13) 0.6 0.98 (0.83, 1.17) -0.2
24 -0.255 0.108 1.15 (0.87, 1.13) 2.2 1.11 (0.93, 1.07) 3
25 -0.738 0.117 0.9 (0.87, 1.13) -1.5 0.94 (0.91, 1.09) -1.4
26 -4.017 0.313 0.8 (0.87, 1.13) -3.3 0.98 (0.44, 1.56) 0
27 -1.164 0.119 0.97 (0.87, 1.13) -0.4 0.98 (0.90, 1.10) -0.4
28 -2.314 0.162 0.87 (0.87, 1.13) -2.1 0.98 (0.79, 1.21) -0.1
29 -1.666 0.132 1.05 (0.87, 1.13) 0.7 1 (0.86, 1.14) 0.1
30 -0.768 0.115 0.92 (0.87, 1.13) -1.3 0.95 (0.91, 1.09) -1.2
Tabla 4. Índices de ajuste de los ítems de respuesta construida de matemáticas
Cat B ERROR Ajuste sin ponderar Ajuste ponderado
MNSQ CI T MNSQ CI T
4 0 1.54 (0.87, 1.13) 6.8 1.28 (0.89, 1.11) 4.5
4 1 1.990 0.225 1.05 (0.87, 1.13) 0.7 1.02 (0.60, 1.40) 0.1
4 2 -1.990* 1.58 (0.87, 1.13) 7.2 1.35 (0.89, 1.11) 5.7
8 0 1.22 (0.87, 1.13) 3 1.14 (0.75, 1.25) 1.1
8 1 0.941 0.193 1.13 (0.87, 1.13) 1.9 1.01 (0.72, 1.28) 0.1
8 2 -0.941* 1.22 (0.87, 1.13) 3.1 1.09 (0.83, 1.17) 1.1
10 0 1.05 (0.85, 1.15) 0.6 0.99 (0.88, 1.12) -0.1
10 1 0.286 0.152 1.03 (0.85, 1.15) 0.4 0.98 (0.83, 1.17) -0.2
10 2 -0.286* 1.12 (0.85, 1.15) 1.6 1.09 (0.81, 1.19) 1
12 0 1.38 (0.87, 1.13) 5.1 0.97 (0.63, 1.37) -0.1
12 1 -0.149 0.167 0.94 (0.87, 1.13) -1 0.99 (0.84, 1.16) -0.1
12 2 0.149* 0.94 (0.87, 1.13) -1 0.97 (0.86, 1.14) -0.4

Sin embargo, no ocurre lo mismo para los de respuesta construida, el ítem 4 (p69) parece presentar problemas de ajuste como indican los valores de T por encima de 2. Tampoco parece que haya una buena estimación de los parámetros de dificultad en los ítems, 4 (p69), 8 (p73) y 10 (p75), donde las categorías de respuesta más bajas necesitan un mayor nivel de rendimiento que las superiores.

En cualquier caso, que un ítem no ajuste completamente en el modelo de Rasch no significa que esté funcionando mal en este caso particular. Este tipo de análisis necesita grandes muestras para aumentar la fiabilidad de las estimaciones y, en los ítems de respuesta construida, tener representadas las distintas categorías de valoración del ítem. Para comprobar el funcionamiento de las puntuaciones estimadas se han calculado los promedios en matemáticas de los estudiantes que estaban en cada uno de los niveles de respuesta de esos ítems (tablas 9 a 11) y se observa que unos mejores resultados se corresponden con una categoría más alta en el reactivo.

Para observar con más detalle los ítems de respuesta construida se presentan en la figura 1 los gráficos CCI (Curva Característica del Ítem) y las proporciones de casos situados en cada categoría en las tablas 5 a 8. Estos gráficos muestran las probabilidades de situarse en cada uno de los niveles de respuesta del ítem (eje y) en función del nivel de resultados de matemáticas (eje X). Por ejemplo, en el gráfico del ítem 4 (p69), se observa que hay mayor probabilidad de obtener un valor 0 si se obtiene una puntuación baja en el resultado, sin embargo, para obtener un valor 2 (valor más alto) necesitas unos mejores resultados. No obstante, en el valor 1 la probabilidad es similar a lo largo de todos los valores del resultado. Este aspecto puede llevar a un mal ajuste del ítem y puede ser debido por la poca variabilidad de respuestas en esa categoría, como demuestra la tabla 4, solo hay 21 casos en la categoría 1.

Figura 1. Gráficos CCI de los ítems de respuesta construida de matemáticas

Imagen

[Descargar tamaño completo]

En el ítem 8 (p73), si ponemos atención el gráfico de CCI, se observa que la probabilidad de obtener un valor 2 aumenta a medida que aumenta la puntuación en matemáticas. Sin embargo, hay un grupo de casos que también obtienen esa puntuación y finalmente no tienen una buena puntuación final. Se debe a que la mayor parte de los casos se sitúan en esa categoría del ítem, lo que indica una baja variabilidad en las respuestas.

En el ítem 10 (p75) ocurre lo opuesto, la mayoría obtienen un valor 0, y la tendencia es que la probabilidad disminuya a medida que se obtienen mejores resultados en matemáticas, pero incluso con puntuaciones por encima de la media puedes obtener un valor 0 en este ítem.

En las tablas 5, 6, 7 y 8 se presentan las proporciones de respuestas en las categorías de los ítems politómicos, para demostrar que los que tienen un ajuste inferior es por la poca representatividad de alguna de las categorías en sus niveles de respuesta. Por ejemplo, la categoría 1 del ítem 4 (p69).

Tabla 5. Distribución de las puntuaciones en el ítem 4
Frecuencia Porcentaje válido Porcentaje acumulado
Válidos 0 155 36,3 36,3
1 21 4,9 41,2
2 251 58,8 100,0
Total 427 100,0
Perdidos Sistema 50
Total 477
Tabla 6. Distribución de las puntuaciones en el ítem 8
Frecuencia Porcentaje válido Porcentaje acumulado
Válidos 0 38 8,7 8,7
1 33 7,6 16,3
2 365 83,7 100,0
Total 436 100,0
Perdidos Sistema 41
Total 477
Tabla 7. Distribución de las puntuaciones en el ítem 10
Frecuencia Porcentaje válido Porcentaje acumulado
Válidos 0 227 67,4 67,4
1 60 17,8 85,2
2 50 14,8 100,0
Total 337 100,0
Perdidos Sistema 140
Total 477
Tabla 8. Distribución de las puntuaciones en el ítem 12
Frecuencia Porcentaje válido Porcentaje acumulado
Válidos 0 20 4,3 4,3
1 71 15,4 19,8
2 369 80,2 100,0
Total 460 100,0
Perdidos Sistema 17
Total 477

Como muestran las tablas (9, 10 y 11), el promedio en el logro en matemáticas aumenta a medida que se incrementa la categoría del ítem, aspecto que indica una buena estimación de la puntuación de rendimiento con el modelo de Rasch.

Tabla 9. Puntuaciones en matemáticas de los casos con distintos niveles de respuesta en el ítem 4
Respuesta N Mínimo Máximo Media Desv. típ.
0 155 -2.677 1.079 -.39153 .650960
1 21 -.884 .844 .18161 .447278
2 251 -1.974 1.868 .34103 .715073
Tabla 10. Puntuaciones en matemáticas de los casos con distintos niveles de respuesta en el ítem 8
Respuesta N Mínimo Máximo Media Desv. típ.
0 38 -2.677 .094 -.78928 .668668
1 33 -1.778 1.320 -.32619 .707490
2 365 -2.187 1.868 .17780 .716980
Tabla 11. Puntuaciones en matemáticas de los casos con distintos niveles de respuesta en el ítem 10
Respuesta N Mínimo Máximo Media Desv. típ.
0 227 -2.677 1.320 -.14241 .662592
1 60 -.643 1.573 .57686 .596638
2 50 -.475 1.868 .81324 .523470

También a modo de ejemplo, se incluyen las CCI de un ítem que puede considerarse fácil y otro difícil para visualizar las diferencias (figura 2). El ítem 1 (p66) es fácil, incluso con valores bajos de resultados en matemáticas hay alta probabilidad de responder correctamente. Y el ítem 7 (p72) puede considerarse más difícil, para tener una probabilidad mayor que 0.5 de responder correctamente al ítem se necesitan unos resultados en matemáticas por encima de la media.

Figura 2. Gráficos CCI de los ítems 1 y 7.

Imagen

[Descargar tamaño completo]

Respecto a la información global de la prueba de matemáticas, la fiabilidad obtenida ha sido de .776. Un valor cercano al .8 que se considera el valor óptimo para pruebas de rendimiento, sobre todo, si se van a tomar decisiones en función de los resultados. La figura 3 muestra la curva característica del test (CCT) que relaciona la suma de respuestas correctas con las puntuaciones estimadas con el modelo de Rasch.

Figura 3. Curva característica de la prueba de matemáticas

Imagen

[Descargar tamaño completo]

Finalmente, en la figura 4 se incluye un mapa para representar las dificultades estimadas para los ítems y las puntuaciones. De esta forma es posible identificar qué ítems son necesarios responder correctamente para situarse en los distintos tramos de la escala. Por ejemplo, el ítem 1 es más fácil y necesita valores del rasgo por debajo de -4; y el que más nivel de rendimiento necesita es el segundo paso del ítem 10.

Figura 4. Mapa de las dificultades de los ítems y los resultados estimados en matemáticas

Imagen

[Descargar tamaño completo]

En la tabla 12, se recoge la distribución de los ítems por dominio de contenido y nivel de de­sem­peño, resultantes de la muestra.

Tabla 12. Distribución de ítems por dominio contenido vs. nivel de desempeño en matemáticas
Bajo Intermedio Alto Avanzado TOTAL
Álgebra 1(90); 2(233); 3(233); 11(252) 5(392) 8(467;518); 4(518;534) 10(558;581); 7(593) 9
Números 16(184); 13(206); 6(316); 18(232) 15(395); 17(409) 12(485;515); 14(473) 9(575) 9
Datos y azar 21(326);19(175); 23(300) 20(417) 22(487); 24(475) 6
Geometría 26(98); 28(269);29(333) 27(384); 25(426); 30(423) 6
Total 14 7 6 3 30

Dado que la prueba de matemáticas se ha construido desde la prueba TIMSS, se ha considerado mantener la estructura de los resultados de la prueba de acuerdo al dominio cognitivo y al nivel de de­sempeño de los resultados obtenidos (tabla 13).

Tabla 13. Dominio cognitivo/Nivel de desempeño
Bajo Intermedio Alto Avanzado Sobre avanzado Total
Conocimiento 1(90); 16(184); 21(326); 26(98); 3(233); 6(316); 23(300); 29(333) 12(485;515); 4(518;534) 10
Razonamiento 18(232); 28(269) 5(392); 20(417); 25(426) 8(467;518); 14(473); 24(475) 9(575); 10(558;581) 10
Aplicación 19(175); 2(233); 13(206); 11(252) 15(395); 17(409); 27(384); 30(423) 22(487) 7(593) 10
Total 14 7 6 3 30

Podemos ver en las tablas 12 y 13 cómo en algunas variables aparecen dos niveles de logro (entre paréntesis), son aquellas de respuesta construida, correspondiendo el primer valor a la respuesta 1 y el segundo a la respuesta 2.

Conclusiones

Hemos construido un instrumento diseñado para medir las habilidades matemáticas de los maestros en formación, que se ha utilizado como elemento de diagnóstico.

La prueba tiene una finalidad diagnóstica, de la misma forma que ocurre con TIMSS o las evaluaciones generales que realiza el MECD (https://www.mecd.gob.es/inee/evaluaciones-nacionales.html). El propósito es conocer el nivel de dominio de las competencias matemáticas de los futuros docentes antes de comenzar el título de grado. Con este diagnóstico, las universidades tendrán la capacidad de reforzar algún aspecto de su programa formativo o implementar actuaciones específicas sobre el alumnado si las consideran necesarias.

Partimos de la consideración de que la prueba TIMSS utilizada como elemento base para la elaboración de la prueba diagnóstica está diseñada para una población distinta; sin embargo podemos considerar el resultado en la misma como dato de logro inicial en el que los estudiantes deben acreditar un dominio suficiente.

El análisis de los ítems de la prueba mediante el modelo de Rasch de la TRI facilita un análisis detallado de cada ítem referido a su calidad técnica y al aporte individual que hace al conjunto de la prueba. Este hecho ha resultado fundamental en este caso, dado que estamos utilizando parte de una prueba previamente diseñada para una población distinta, aportando además un error de medida en caso de existir. Este modelo genera puntuaciones en una escala de intervalo, lo que significa que diferencias entre distintos tramos de la escala suponen los mismos cambios en las probabilidades de responder de manera correcta a los ítems con la misma dificultad (Prieto y Delgado, 2003Prieto, G. y Delgado, A. (2003). Análisis de un test mediante el modelo de Rasch. Psicothema, 15(1), 94-100. ).

Los ítems, en general, tienen un buen funcionamiento y se ajustan al modelo psicométrico de Rasch. No obstante, existe una mayor presencia de ítems que pueden considerarse fáciles que está provocada porque se diseñaron para una población de menor edad.

Se observa un buen funcionamiento de la escala en su conjunto de acuerdo al modelo de Rasch, aunque cabe mencionar el comportamiento diferencial de los ítems de respuesta construida respecto a los de respuesta seleccionada. Este hecho se justifica por la escasa variabilidad de la respuesta como han evidenciado los análisis particulares de este tipo de ítems. Por ejemplo, en el ítem 4, una categoría con escasa elección (1) con el 4,9% de los valores.

La forma de mejorar este tipo de resultados implicaría el uso de una muestra mayor, aunque cabe destacar que en nuestra investigación funciona de manera adecuada la puntuación del rasgo.

La prueba funciona bien observando la curva característica, además la suma entre el nivel del rasgo y la suma de respuestas correctas están vinculadas.

Los índices de ajuste estimados con el modelo de Rasch muestran el correcto funcionamiento de los ítems incluidos en la prueba. La falta de ajuste de los ítems de respuesta construida está justificada por la baja variabilidad de las respuestas, no obstante, su funcionamiento es correcto para diferenciar entre los niveles de rendimiento. De esta forma, es posible concluir que la prueba es válida para comprobar el nivel de la competencia matemática de los estudiantes de grado.

En relación a los resultados del nivel de dificultad por dominio de contenidos, los ítems de mayor dificultad para la muestra coinciden con los que tuvieron un menor porcentaje de respuesta correcta para los estudiantes de octavo grado a nivel internacional (7 y 10), ambos pertenecientes al dominio de contenido de álgebra.

Como conclusión final y recomendación del presente trabajo, planteamos la necesidad de construir unos estándares que definan los conocimientos matemáticos que un estudiante necesita para acceder a los estudios del grado de magisterio.

Agradecimientos

Este trabajo es producto de una investigación financiada por la Comunidad de Madrid, desde la Consejería de Educación e Investigación en el año 2017.

Referencias bibliográficas

Beaton, D. E., Bombardier, C., Guillemin, F. y Bosi, M. (2000). Guidelines for the process of cross-cultural adaptation of self-report measures. Spine, 25, 3186-3191, doi: 10.1097/00007632-200012150-00014
Cano, M. E. (2011). La evaluación por competencias en la educación superior. Profesorado. Revista de Currículum y Formación del Profesorado, 12(3), 1-16.
Castro, M. (2011). ¿Qué sabemos de la medida de las competencias? Características y problemas psicométricos en la evaluación de competencias. Bordón. Revista de Pedagogía, 63(1), 109-123.
Ernest, P. (1989). The knowledge, beliefs and attitudes of the mathematics teacher: A model. Journal of education for teaching, 15(1), 13-33, doi: 10.1080/0260747890150102
Escobar-Pérez, J. y Cuervo-Martínez, A. (2008). Validez de contenido y juicio de expertos: una aproximación a su utilización. Avances en Medición, 6(1), 27-36.
Fernández-Alonso, R. y Muñiz, J. (2011). Diseño de cuadernillos para la evaluación de las competencias básicas. Aula Abierta, 39(2), 3-34.
Hodgen, J. y Askew, M. (2007). Emotion, identity and teacher learning: Becoming a primary mathematics teacher. Oxford Review of Education, 33(4), 469-487, doi: 10.1080/03054980701451090
Hyrkäs, K., Appelqvist-Schmidlechner, K. y Oksa, L. (2003). Validating an instrument for clinical supervision using an expert panel. International Journal of Nursing Studies, 40(6), 619-625, doi: 10.1016/S0020-7489(03)00036-1
Landis, J. R. y Koch, G. G. (1977). An application of hierarchical kappa-type statistics in the assessment of majority agreement among multiple observers. Biometrics, 33(2), 363-374.
Llinares, S. (2003). Matemáticas escolares y competencia matemática. En M. C. Chamorro (coord.). Didáctica de las matemáticas para primaria (pp. 3-30). Madrid: Prentice Educación.
Martínez, M. (1999). Cognition and the question of test item format. Educational Psychologist, 34, 207- 218.
Martínez, M. R., Hernández, M. J. y Hernández, M. V. (2006). Psicometría. Madrid: Alianza Editorial.
Masters, G. N. (1982). A Rasch Model for Partial Credit Scoring. Psychometrika, 47(2), 149-174, doi: 10.1007/BF02296272
Mullis, I. V., Martín, M. O., Ruddock, G. J., O’Sullivan, C. Y. y Preuschoff, C. (2009). TIMSS 2011 Assessment Frameworks. Boston, M. A.: TIMMS & PIRLS International Study Center.
Navarro, E., Expósito, E., López, E. y Thoilliez, B. (2014). EPIBI: Escala de Percepción de Indicadores de Bienestar Infantil. Validación del instrumento utilizando modelos politómicos de Rasch. Revista de Educación, 364, 39-65, doi:10.4438/1988-592X-RE-2014-364-254
NCTM. National Council of Teachers of Mathematics (1991). Professional Standards for Teaching Mathematics. Reston, Va.: The NCTM, Inc.
Nortes, R. y Nortes Checa, A. (2017). Competencia matemática, actitud y ansiedad hacia las Matemáticas en futuros maestros. Revista Electrónica Interuniversitaria de Formación del Profesorado, 20(3), 145-160, doi: 10.6018/reifop.20.3.290841
Osterlind, S. (1998). Constructing test items: multiple-choice, constructed-response, performance, and others formats. Boston: Kluwer Academia Publishers.
Pérez, A. y Soto, E. (2011). Luces y sombras de PISA. Sentido educativo de las evaluaciones externas. Culturay Educación, 23(2), 171-182, doi: 10.1174/113564011795944758
Prieto, G. y Delgado, A. (2003). Análisis de un test mediante el modelo de Rasch. Psicothema, 15(1), 94-100.
Rasch, G. (1960). Probabilistic Models for Some Intelligence and Attainment Tests. Copenhague (Dinamarca): Danish Institute for Educational Research.
Rodríguez-Gómez, G. e Ibarra, M. S. (2013). ActEval: un instrumento para el análisis y reflexión sobre la actividad evaluadora del profesorado universitario. Revista de Educación, 362, 69-104. doi:10-4438/1988-592X-RE-2011-362-153
Sandoval, P., Frit, M., Maldonado, A. y Rodríguez, F. (2010). Evaluación de habilidades en matemática y comprensión lectora en estudiantes que ingresan a pedagogía en educación básica: un estudio comparativo en dos universidades del Consejo de Rectores. Educar em Revista, 2, 73-102.
Solano, G., Contreras, L. A. y Backhoff, E. (2006). Traducción y adaptación de pruebas: Lecciones aprendidas y recomendaciones para países participantes en TIMSS, PISA y otras comparaciones internacionales. Revista Electrónica de Investigación Educativa, 8(2), 1-21.
Tatto, M. T., Schwille, J., Senk, S., Ingvarson, L., Peck, R. y Rowley, G. (2008). Teacher Education and Development Study in Mathematics (TEDS-M). East Lansing, MI: Teacher Education and Development International Study Center, College of Education, Michigan State University.
Tourón, J. (2009). El establecimiento de estándares de rendimiento en los sistemas educativos. Estudios Sobre Educación, 16, 127-146.
Varas, L., Lacourly, N., López, A. y Giaconi, V. (2013). Evaluación del conocimiento pedagógico del contenido para enseñar matemáticas elementales. Enseñanza de las Ciencias, 31(1), 171-187.
Viera, A. J. y Garett, J. M. (2005). Understanding Interobserver Agreement: The Kappa Statistic. Family Medicine, 37(5), 360-363.
White, A. L., Way, J., Perry, B. y Southwell, B. (2005). Mathematical attitudes, beliefs and achievement in primary pre-service mathematics teacher education. Mathematics Teacher Education and Development, 7, 33-52.

Anexo

Anexo 1.
Dominio contenido Variable Dominio cognitivo Tópico principal
1 Álgebra p66 Conocimiento Expresiones algebraicas
2 Álgebra p67 Aplicación Patrones
3 Álgebra p68 Conocimiento Expresiones algebraicas
4 Álgebra p69 Conocimiento Expresiones algebraicas
5 Álgebra p70 Razonamiento Patrones
6 Números p71 Conocimiento Números naturales
7 Álgebra p72 Aplicación Expresiones algebraicas
8 Álgebra p73 Razonamiento Patrones
9 Números p74 Razonamiento Números naturales
10 Álgebra p75 Razonamiento Patrones
11 Álgebra p76 Aplicación Expresiones algebraicas
12 Números p77 Conocimiento Razón, proporción y porcentaje
13 Números p78 Aplicación Razón, proporción y porcentaje
14 Números p79 Razonamiento Fracciones y decimales
15 Números p80 Aplicación Números naturales
16 Números p81 Conocimiento Fracciones y decimales
17 Números p82 Aplicación Fracciones y decimales
18 Números p83 Razonamiento Enteros
19 Datos y azar p84 Aplicación Azar
20 Datos y azar p85 Razonamiento Azar
21 Datos y azar p86 Conocimiento Organización y representación de datos
22 Datos y azar p87 Aplicación Interpretación de los datos
23 Datos y azar p88 Conocimiento Azar
24 Datos y azar p89 Razonamiento Interpretación de los datos
25 Geometría p90 Razonamiento Formas geométricas
26 Geometría p91 Conocimiento Formas geométricas
27 Geometría p92 Aplicación Medida
28 Geometría p93 Razonamiento Formas geométricas
29 Geometría p94 Conocimiento Espacio y movimientos
30 Geometría p95 Aplicación Medida

Abstract

Adapting the test of theTrends in International Mathematics and Science Study (TIMSS) for the assessment of the mathematical competence of students entering the undergraduate degree of Primary Education School Teacher

INTRODUCTION. The foundation of mathematical pedagogical knowledge that a teacher must have is based in a special way on the knowledge he/she has about the contents of the subject. The objective of this paper is the elaboration of a diagnostic test of mathematical abilities, based on the selection and adaptation of some of the items of the Trends in International Mathematics and Science Study (TIMSS) 2011, as well as the technical aspects from the application of the Rasch model. METHOD. The items of the elaborated test were selected following the original structure of blocks of content and cognitive domain established in the framework of the official TIMSS 2011 test (Mullis, Martin, Ruddock, O’Sullivan, & Preuschoff, 2009). The translation and adaptation procedure has been developed in order to ensure greater linguistic validity. The study was carried out with a sample of 477 students enrolled in the first year of the different Bachelordegrees of Primary Education School Teacher that are offered in universities across the Autonomous Community of Madrid (Spain). RESULTS. We considered two types: multiple-choice items and constructed response items. Given the characteristic of the format it has been necessary to assess the reliability of the correction made by the evaluators to guarantee the agreement in their correction. DISCUSSION. The Rasch model used for the validation of the test has allowed us to generate evidence that shows a high degree of reliability, pointing out the differences in behavior between the multiple-choice items and the constructed response items (elements that require students to construct their own written response). The model allowed us to classify the results of the items by level of difficulty, which facilitates an interpretation of the results according to both the content domain and the cognitive domain.

Keywords: TIMSS, Mathematical competence, Rasch model, Assessment adaptation, Pre-service teacher preparation.


Résumé

Adaptation de l’évaluation TIMSS pour tester les compétences mathématiques des étudiants entrants à l’école du professorat et l’éducation

INTRODUCTION. Le fondement des connaissances pédagogiques pour les mathématiques qu’un enseignant doit avoir est spécialement basé sur les connaissances que lui ou elle a de la matière. L’objectif de cet article est montrer l’élaboration d’un test diagnostique pour les aptitudes mathématiques, à partir de la sélection et de l’adaptation de certains éléments issus de l’étude des tendances mathématiques et scientifiques publiée en 2011 (‘Trends in International Mathematics and Sciences’, TIMSS,), ainsi que les aspects techniques liés à l’application du modèle de Rasch. MÉTHODE. Les éléments du test élaboré ont été sélectionnés en suivant la structure originelle des blocs de contenu et domaines cognitifs établis dans le cadre du test TIMSS officiel de 2011 (Mullis, Martin, Ruddock, O’sullivan & Preuschoff 2009). La procédure de traduction et d’adaptation a été développée dans le but de garantir une plus grande validité linguistique. L’étude a été réalisée auprès d’un échantillon de 477 étudiants inscrits en première année de formation pour enseignants du primaire dans les universités de la Communauté Autonome de Madrid en Espagne. RÉSULTATS. Nous avons considéré deux types d’éléments: les éléments à choix multiple et les éléments de réponse construite. Compte tenu de cette caractéristique de format, il a été nécessaire de tester la fiabilité de la correction faite par les évaluateurs afin de garantir l’armonie dans leurs corrections. DISCUSSION. Le modèle de Rasch utilisé dans la validation du test nous a permis de générer des preuves qui montrent un haut degré de fiabilité, soulignant les différences de comportement entre les éléments à choix multiple et les éléments de réponse construite (éléments qui obligent aux étudiants à construire leur propre réponse écrite). Le modèle nous a permis de classer les résultats des éléments par niveau de difficulté, ce qui facilite l’interprétation des résultats selon le domaine de contenu et le domaine cognitif.

Mots-clés: TIMSS, compétence mathématique, modèle de Rasch, adaptation des tests, formation initiale des enseignants.


Perfil profesional de los autores

Blanca Arteaga Martínez (autora de contacto)

Profesora ayudante doctora. Doctora en Ciencias de la Educación. Licenciada en CC. Matemáticas. En la actualidad imparte docencia en la Facultad de Educación de la Universidad de Alcalá, con un perfil de Didáctica de las Matemáticas. Ha trabajado en distintas universidades, presenciales y on-line, donde además ha desempeñado distintos cargos de coordinación académica. Ponente en cursos de formación de profesores. Miembro del grupo de investigación “Pedagogía Adaptativa” de la Universidad Complutense de Madrid.

Correo electrónico de contacto: blanca.arteaga@uah.es

Dirección para la correspondencia: Facultad de Educación. C/ Madrid, 1, 19001 Guadalajara.

Enrique Navarro Asencio

Profesor ayudante doctor. Doctor en Pedagogía por la Universidad Complutense de Madrid (UCM), obteniendo el premio extraordinario de doctorado. Actualmente es profesor ayudante doctor en la UCM y su línea de trabajo está relacionada con psicometría y evaluación del rendimiento académico y factores asociados.

Correo electrónico de contacto: enriquen@ucm.es

Arántzazu Fraile Rey

Profesora visitante. Doctora en Ciencias de la Educación. Licenciada en CC. Físicas. En la actualidad imparte docencia en matemáticas y educación matemática en la Facultad de Educación de la Universidad de Alcalá en los grados de Educación Primaria y Doble Grado de Humanidades y Educación Primaria. Su línea de investigación está centrada en la resolución de problemas.

Correo electrónico de contacto: arantzazu.fraile@uah.es

Pedro Ramos Alonso

Profesor titular. Doctor en Ciencias Matemáticas por la Universidad Politécnica de Madrid. Su investigación se ha centrado en geometría discreta y computacional. Desde el año 2010 trabaja en el ámbito de la educación matemática. Es profesor titular de Universidad en la Universidad de Alcalá. Imparte cursos de formación de profesorado y colabora con las editoriales Polygon Education y SM en la implantación de la metodología Singapur en matemáticas.

Correo electrónico de contacto: pedro.ramos@uah.es